ΠΠΎΡΠ΅ΠΌΡ ΡΠ°ΠΊ Π²Π°ΠΆΠ½Π° ΠΏΠ»ΠΎΡΠ½ΠΎΡΡΡ Π΄ΠΈΠ·Π΅Π»ΡΠ½ΠΎΠ³ΠΎ ΡΠΎΠΏΠ»ΠΈΠ²Π°
ΠΠ°ΠΊ ΡΠ°ΡΡΡΠΈΡΡΠ²Π°ΡΡ ΠΏΠ»ΠΎΡΠ½ΠΎΡΡΡ Π΄ΠΈΠ·ΡΠΎΠΏΠ»ΠΈΠ²Π°ΠΠΏΡΠ΅Π΄Π΅Π»Π΅Π½ΠΈΠ΅ ΡΡΠΎΠ³ΠΎ ΠΏΠ°ΡΠ°ΠΌΠ΅ΡΡΠ° Π΄Π»Ρ Π΄ΠΈΠ·Π΅Π»ΡΠ½ΠΎΠ³ΠΎ Π³ΠΎΡΡΡΠ΅Π³ΠΎ ΠΏΡΠΎΠΈΠ·Π²ΠΎΠ΄ΠΈΡΡΡ ΠΏΠΎ ΡΠΎΡΠΌΡΠ»Π΅ ΠΈΠ· ΡΠΊΠΎΠ»ΡΠ½ΠΎΠ³ΠΎ ΠΊΡΡΡΠ° ΡΠΈΠ·ΠΈΠΊΠΈ ΠΈΠ»ΠΈ Ρ ΠΏΠΎΠΌΠΎΡΡΡ ΡΠΏΠ΅ΡΠΈΠ°Π»ΡΠ½ΠΎΠ³ΠΎ ΠΏΡΠΈΠ±ΠΎΡΠ° Π°ΡΠ΅ΠΎΠΌΠ΅ΡΡΠ°.
Β Β Β Β Β Β Β Β Β Β Β Β
Π ΠΏΠΎΠ²ΡΠ΅Π΄Π½Π΅Π²Π½ΠΎΠΉ ΠΆΠΈΠ·Π½ΠΈ Π²Π»Π°Π΄Π΅Π»ΡΡΠ° Π°Π²ΡΠΎ Ρ Π΄ΠΈΠ·Π΅Π»ΡΠ½ΡΠΌ Π΄Π²ΠΈΠ³Π°ΡΠ΅Π»Π΅ΠΌ ΠΏΡΠΎΡΠ΅ ΠΈ Π΄ΠΎΡΡΡΠΏΠ½Π΅Π΅ ΠΏΠΎΠ»ΡΠ·ΠΎΠ²Π°ΡΡΡΡ ΠΈΠΌΠ΅Π½Π½ΠΎ Π±ΡΡΠΎΠ²ΡΠΌΠΈ Π°ΡΠ΅ΠΎΠΌΠ΅ΡΡΠ°ΠΌΠΈ β ΡΡΠΎ Π½Π΅Π΄ΠΎΡΠΎΠ³ΠΈΠ΅ ΡΡΡΡΠΎΠΉΡΡΠ²Π°, Π΄ΠΎΡΡΡΠΏΠ½ΡΠ΅ Π΄Π»Ρ ΡΠ²ΠΎΠ±ΠΎΠ΄Π½ΠΎΠΉ ΠΏΡΠΎΠ΄Π°ΠΆΠΈ, Π΄ΠΎΡΡΠ°ΡΠΎΡΠ½ΠΎ ΡΠΎΡΠ½Ρ ΠΏΡΠΈ Π·Π°ΠΌΠ΅ΡΠ°Ρ ΠΏΠ»ΠΎΡΠ½ΠΎΡΡΠΈ ΡΠ°Π·Π»ΠΈΡΠ½ΡΡ ΠΆΠΈΠ΄ΠΊΠΎΡΡΠ΅ΠΉ, Π²ΠΊΠ»ΡΡΠ°Ρ Π΄ΠΈΠ·Π΅Π»ΡΠ½ΠΎΠ΅ ΡΠΎΠΏΠ»ΠΈΠ²ΠΎ. Π’ΠΎΡΠ½ΡΠ΅ ΡΠΎΡΠΌΡΠ»Ρ ΡΠ°ΡΡΡΡΠ° ΠΏΠ»ΠΎΡΠ½ΠΎΡΡΠΈ Π² Π±ΠΎΠ»ΡΡΠ΅ΠΉ ΡΡΠ΅ΠΏΠ΅Π½ΠΈ Π½Π΅ΠΎΠ±Ρ ΠΎΠ΄ΠΈΠΌΡ ΠΎΠΏΡΠΎΠ²ΡΠΌ ΠΊΠΎΠΌΠΏΠ°Π½ΠΈΡΠΌ ΠΈ ΠΏΡΠΎΠΈΠ·Π²ΠΎΠ΄ΠΈΡΠ΅Π»ΡΠΌ ΠΠ‘Π Π΄Π»Ρ ΠΌΠ°ΠΊΡΠΈΠΌΠ°Π»ΡΠ½ΠΎ ΡΡΠ½ΡΡ Π²Π·Π°ΠΈΠΌΠΎΡΠ°ΡΡΡΡΠΎΠ² ΠΈ Π²Π΅Π΄Π΅Π½ΠΈΡ Π±ΡΡ Π³Π°Π»ΡΠ΅ΡΡΠΊΠΎΠΉ ΠΎΡΡΠ΅ΡΠ½ΠΎΡΡΠΈ. Π ΡΡΠΎΠΌ ΡΠ»ΡΡΠ°Π΅ ΡΠ°ΠΊΠΆΠ΅ ΠΎΡΠΈΠ΅Π½ΡΠΈΡΡΡΡΡΡ Π½Π° ΡΠ°Π±Π»ΠΈΡΡ Π·Π½Π°ΡΠ΅Π½ΠΈΠΉ, ΡΡΡΠ°Π½ΠΎΠ²Π»Π΅Π½Π½ΡΡ Π² ΠΠΠ‘Π’, ΡΠ°ΠΊΠΆΠ΅ Π² ΡΠ°ΠΊΠΈΡ ΡΠ°ΡΡΡΡΠ°Ρ ΠΈΠΌΠ΅Π΅Ρ Π·Π½Π°ΡΠ΅Π½ΠΈΠ΅ ΡΠ΅ΠΌΠΏΠ΅ΡΠ°ΡΡΡΠ° ΠΎΠΊΡΡΠΆΠ°ΡΡΠ΅ΠΉ ΡΡΠ΅Π΄Ρ.Β Β
ΠΠ½Π°ΡΠ΅Π½ΠΈΡ ΠΏΠ»ΠΎΡΠ½ΠΎΡΡΠΈ Π΄ΠΈΠ·Π΅Π»ΡΠ½ΠΎΠ³ΠΎ ΡΠΎΠΏΠ»ΠΈΠ²Π° ΠΏΠΎ ΠΠΠ‘Π’ β Π·ΠΈΠΌΠ½Π΅Π΅, Π»Π΅ΡΠ½Π΅Π΅, Π°ΡΠΊΡΠΈΡΠ΅ΡΠΊΠΎΠ΅, ΠΌΠ΅ΠΆΡΠ΅Π·ΠΎΠ½Π½ΠΎΠ΅
Π‘ΡΠ°Π½Π΄Π°ΡΡΡ, ΡΠΊΠ°Π·ΡΠ²Π°ΡΡΠΈΠ΅ Π½Π° Π½ΠΎΡΠΌΡ ΠΏΠ»ΠΎΡΠ½ΠΎΡΡΠΈ Π³ΠΎΡΡΡΠ΅Π³ΠΎ Π΄Π»Ρ Π΄ΠΈΠ·Π΅Π»ΡΠ½ΡΡ
Π΄Π²ΠΈΠ³Π°ΡΠ΅Π»Π΅ΠΉ, ΡΡΡΠ°Π½ΠΎΠ²Π»Π΅Π½Ρ Π΄Π»Ρ ΡΠ°Π·Π½ΡΡ
ΡΠΈΠΏΠΎΠ² ΡΠΎΠΏΠ»ΠΈΠ²Π°, Π½ΠΎ ΠΊΠΎΠ½ΡΡΠΎΠ»ΡΠ½ΡΠΌ Π·Π½Π°ΡΠ΅Π½ΠΈΠ΅ΠΌ Π΄Π»Ρ Π²ΡΠ΅Ρ
ΡΠ²Π»ΡΠ΅ΡΡΡ ΡΠ΅ΠΌΠΏΠ΅ΡΠ°ΡΡΡΠ° ΠΎΠΊΡΡΠΆΠ°ΡΡΠ΅ΠΉ ΡΡΠ΅Π΄Ρ Π² ΠΌΠΎΠΌΠ΅Π½Ρ Π·Π°ΠΌΠ΅ΡΠΎΠ².
Π‘ΠΎΠ³Π»Π°ΡΠ½ΠΎ Π΄Π΅ΠΉΡΡΠ²ΡΡΡΠΈΠΌ ΠΠΎΡΡΡΠ°Π½Π΄Π°ΡΡΠ°ΠΌ ΡΡΠ°Π»ΠΎΠ½ΠΎΠΌ ΡΠ²Π»ΡΠ΅ΡΡΡ ΠΏΠ»ΠΎΡΠ½ΠΎΡΡΡ Π΄ΠΈΠ·Π΅Π»ΡΠ½ΠΎΠ³ΠΎ ΡΠΎΠΏΠ»ΠΈΠ²Π° ΠΏΡΠΈ t +15Π‘.Β Β Β
ΠΠΠ‘Π’ Π 52368-2005 ΠΈ 32511-2011 β ΠΎΠ±ΡΠΈΠ΅ ΡΡΠ΅Π±ΠΎΠ²Π°Π½ΠΈΡ ΠΊ Π»Π΅ΡΠ½Π΅ΠΌΡ, ΠΌΠ΅ΠΆΡΠ΅Π·ΠΎΠ½Π½ΠΎΠΌΡ, Π°ΡΠΊΡΠΈΡΠ΅ΡΠΊΠΎΠΌΡ ΠΈ Π·ΠΈΠΌΠ½Π΅ΠΌΡ Π΄ΠΈΠ·Π΅Π»ΡΠ½ΠΎΠΌΡ ΡΠΎΠΏΠ»ΠΈΠ²Ρ ΠΠΠ Π: Π² Π½ΠΈΡ ΡΡΡΠ°Π½ΠΎΠ²Π»Π΅Π½Π° ΠΏΠ»ΠΎΡΠ½ΠΎΡΡΡ 800,0 — 845,0 ΠΊΠ³/ΠΊΡΠ±.ΠΌ Π΄Π»Ρ ΠΊΠ»Π°ΡΡΠΎΠ² 0 ΠΈ 1, Π° ΡΠ°ΠΊΠΆΠ΅ 800,0 — 840,0 ΠΊΠ³/ΠΊΡΠ±.ΠΌ Π΄Π»Ρ 2 ΠΈ Π²ΡΡΠ΅ ΠΊΠ»Π°ΡΡΠΎΠ².Β
ΠΠΠ‘Π’ Π 55475 β ΠΏΠ»ΠΎΡΠ½ΠΎΡΡΡ Π·ΠΈΠΌΠ½Π΅Π³ΠΎ Π΄ΠΈΠ·Π΅Π»ΡΠ½ΠΎΠ³ΠΎ ΡΠΎΠΏΠ»ΠΈΠ²Π°, Π°ΡΠΊΡΠΈΡΠ΅ΡΠΊΠΎΠ³ΠΎ: Π΄Π»Ρ ΡΠΎΡΡΠΎΠ², ΠΏΡΠΈΠ³ΠΎΠ΄Π½ΡΡ ΠΊ ΡΠΊΡΠΏΠ»ΡΠ°ΡΠ°ΡΠΈΠΈ ΠΏΡΠΈ ΡΠ΅ΠΌΠΏΠ΅ΡΠ°ΡΡΡΠ°Ρ ΠΏΠΎ Π¦Π΅Π»ΡΡΠΈΡ -32 /-38 / -44 / -48 ΠΈ -52 Π³ΡΠ°Π΄ΡΡΠ°: ΠΎΡ 800,0 Π΄ΠΎ 855,0 ΠΊΠ³/ΠΊΡΠ±.ΠΌ.
Π Π΄Π΅ΠΉΡΡΠ²ΡΡΡΠ΅ΠΌ ΠΏΡΠ΅ΠΆΠ΄Π΅ ΠΠΠ‘Π’ 305-82Β ΡΠΊΠ°Π»Π° Π΄ΠΎΠΏΡΡΡΠΈΠΌΡΡ Π·Π½Π°ΡΠ΅Π½ΠΈΠΉ ΠΏΠ»ΠΎΡΠ½ΠΎΡΡΠΈ ΡΠΊΠ°Π·ΡΠ²Π°Π»Π°ΡΡ ΠΎΡ 830 Π΄ΠΎ 860 ΠΊΠ³/ΠΊΡΠ±.ΠΌ, Π° Π·Π°ΠΌΠ΅ΡΡ ΡΠ΅ΠΊΠΎΠΌΠ΅Π½Π΄ΠΎΠ²Π°Π»ΠΎΡΡ ΠΏΡΠΎΠ²ΠΎΠ΄ΠΈΡΡ ΠΎΡΠ½ΠΎΡΠΈΡΠ΅Π»ΡΠ½ΠΎ ΡΡΠ°Π½Π΄Π°ΡΡΠ½ΡΡ Π·Π½Π°ΡΠ΅Π½ΠΈΠΉ ΠΏΡΠΈ ΡΠ΅ΠΌΠΏΠ΅ΡΠ°ΡΡΡΠ΅ +20C.
ΠΠΏΡΠ΅Π΄Π΅Π»Π΅Π½ΠΈΠ΅ ΠΏΠ»ΠΎΡΠ½ΠΎΡΡΠΈ ΠΠ’ ΠΏΠΎ ΡΠΎΡΠΌΡΠ»Π΅
ΠΠ½Π°Ρ, ΠΊΠ°ΠΊΠΎΠΉ Π΄ΠΎΠ»ΠΆΠ½Π° Π±ΡΡΡ Π½ΠΎΡΠΌΠ° ΠΏΠ»ΠΎΡΠ½ΠΎΡΡΠΈ ΠΏΠΎ ΠΠΠ‘Π’, ΠΌΠΎΠΆΠ½ΠΎ ΡΠ°ΠΌΠΎΡΡΠΎΡΡΠ΅Π»ΡΠ½ΠΎ Π²ΡΡΠΈΡΠ»ΡΡΡ Π·Π½Π°ΡΠ΅Π½ΠΈΡ ΡΡΠΎΠ³ΠΎ ΠΏΠ°ΡΠ°ΠΌΠ΅ΡΡΠ° Π΄Π»Ρ Π΄ΠΈΠ·Π΅Π»ΡΠ½ΠΎΠ³ΠΎ ΡΠΎΠΏΠ»ΠΈΠ²Π°, ΠΏΡΠΈΠΎΠ±ΡΠ΅ΡΠ΅Π½Π½ΠΎΠ³ΠΎ Π½Π° ΠΠΠ‘. ΠΠ³ΠΎΠ²ΠΎΡΠΈΠΌΡΡ, ΡΡΠΎ ΡΠ°ΠΊΠΎΠ΅ Π·Π°Π½ΡΡΠΈΠ΅, ΠΎΡΠΎΠ±Π΅Π½Π½ΠΎ Π½Π° ΠΌΠ°Π»ΡΡ
ΠΎΠ±ΡΡΠΌΠ°Ρ
Π³ΠΎΡΡΡΠ΅Π³ΠΎ, ΡΠΊΠΎΡΠ΅Π΅ ΡΠ²Π»ΡΠ΅ΡΡΡ ΡΠΊΡΠΏΠ΅ΡΠΈΠΌΠ΅Π½ΡΠΎΠΌ β Π½Π° ΡΡΠ°Π½ΡΠΈΡΡ
, Π²Ρ
ΠΎΠ΄ΡΡΠΈΡ
Π² ΡΠ΅ΡΡΒ Π½Π°Π΄ΡΠΆΠ½ΡΡ
ΠΏΡΠΎΠ΄Π°Π²ΡΠΎΠ² ΠΠ‘Π, Π½Π΅Π²ΠΎΠ·ΠΌΠΎΠΆΠ½ΠΎ ΠΊΡΠΏΠΈΡΡ Π΄ΠΈΠ·ΡΠΎΠΏΠ»ΠΈΠ²ΠΎ Π½ΠΈΠ·ΠΊΠΎΠ³ΠΎ ΠΊΠ°ΡΠ΅ΡΡΠ²Π°, Π½Π΅ ΡΠΎΠΎΡΠ²Π΅ΡΡΡΠ²ΡΡΡΠ΅Π΅ Π΄Π΅ΠΉΡΡΠ²ΡΡΡΠΈΠΌ ΡΡΠ°Π½Π΄Π°ΡΡΠ°ΠΌ.
ΠΠ»Π°Π΄Π΅Π»ΡΡΠ°ΠΌ ΡΠΎΠΏΠ»ΠΈΠ²Π½ΡΡ
ΠΊΠ°ΡΡ ΠΎΡΠΈΠ΅Π½ΡΠΈΡΠΎΠ²Π°ΡΡΡΡ ΡΡΠ΅Π΄ΠΈ ΠΌΠ½ΠΎΠΆΠ΅ΡΡΠ²Π° Π°Π²ΡΠΎΠ·Π°ΠΏΡΠ°Π²ΠΎΠΊ ΠΎΡΠ½ΠΎΠ²Π°ΡΠ΅Π»ΡΠ½ΠΎ ΠΏΡΠΎΡΠ΅: Π΄Π»Ρ Π²ΡΠ±ΠΎΡΠ° Π±Π»ΠΈΠΆΠ°ΠΉΡΠ΅ΠΉ ΡΠΎΡΠΊΠΈ ΠΌΠΎΠΆΠ½ΠΎ Π²ΠΎΡΠΏΠΎΠ»ΡΠ·ΠΎΠ²Π°ΡΡΡΡ ΠΊΠ°ΡΡΠΎΠΉ ΠΏΡΠΎΠ²Π΅ΡΠ΅Π½Π½ΡΡ
ΠΠΠ‘ [1]Β ΠΏΠΎ Π²ΡΠ΅ΠΉ ΡΠ΅ΡΡΠΈΡΠΎΡΠΈΠΈ Π Π€.
Π‘Π°ΠΌΠΎΡΡΠΎΡΡΠ΅Π»ΡΠ½ΠΎ ΡΠ΄ΠΎΡΡΠΎΠ²Π΅ΡΠΈΡΡΡΡ Π² ΡΠΎΠΌ, ΡΡΠΎ ΠΏΠ»ΠΎΡΠ½ΠΎΡΡΡ Π΄ΠΈΠ·ΡΠΎΠΏΠ»ΠΈΠ²Π° ΠΎΡ ΡΠ΅ΠΌΠΏΠ΅ΡΠ°ΡΡΡΡ ΡΠΎΠΎΡΠ²Π΅ΡΡΡΠ²ΡΠ΅Ρ ΡΠΊΠ°Π·Π°Π½Π½ΡΠΌ Π½ΠΎΡΠΌΠ°ΠΌ ΠΌΠΎΠΆΠ½ΠΎ Ρ ΠΏΠΎΠΌΠΎΡΡΡ ΡΠΎΡΠΌΡΠ»Ρ ΠΈ ΡΠ°Π±Π»ΠΈΡΡ ΡΠ΅ΠΌΠΏΠ΅ΡΠ°ΡΡΡΠ½ΡΡ ΠΏΠΎΠΏΡΠ°Π²ΠΎΠΊ ΠΈΠ· ΡΠΊΠΎΠ»ΡΠ½ΠΎΠ³ΠΎ ΠΊΡΡΡΠ° ΡΠΈΠ·ΠΈΠΊΠΈ. ΠΠ»ΠΎΡΠ½ΠΎΡΡΡ β ΡΡΠΎ ΠΌΠ°ΡΡΠ° Π΄ΠΈΠ·ΡΠΎΠΏΠ»ΠΈΠ²Π° Π² ΠΊΠ³, Π΄Π΅Π»Π΅Π½Π½Π°Ρ Π½Π° Π΅Π³ΠΎ ΠΎΠ±ΡΡΠΌ, Π½ΠΎ Π΅ΡΠ»ΠΈ ΡΡΠ΅Π±ΡΠ΅ΡΡΡ ΡΡΠΈΡΡΠ²Π°ΡΡ ΡΠ΅ΠΌΠΏΠ΅ΡΠ°ΡΡΡΠ½ΡΠ΅ ΠΊΠΎΡΡΡΠΈΡΠΈΠ΅Π½ΡΡ,Β ΠΏΡΠΈΠΌΠ΅Π½ΡΠ΅ΡΡΡ ΡΠΆΠ΅ Π΄ΡΡΠ³Π°Ρ ΡΠΎΡΠΌΡΠ»Π°:
p4tβ ΠΈΡΡ ΠΎΠ΄Π½Π°Ρ ΠΏΠ»ΠΎΡΠ½ΠΎΡΡΡ Π΄ΠΈΠ·Π΅Π»ΡΠ½ΠΎΠ³ΠΎ ΡΠΎΠΏΠ»ΠΈΠ²Π°, ΡΠ°ΡΠ΅ Π²ΡΠ΅Π³ΠΎ Π·Π½Π°ΡΠ΅Π½ΠΈΠ΅ Π±Π΅ΡΡΡΡΡ ΠΈ ΠΏΠ°ΡΠΏΠΎΡΡΠ½ΡΡ Π΄Π°Π½Π½ΡΡ Π½Π° ΠΏΡΠΈΠΎΠ±ΡΠ΅ΡΠ°Π΅ΠΌΡΠΉ Π²ΠΈΠ΄ Π³ΠΎΡΡΡΠ΅Π³ΠΎ;
t β ΡΠ΅ΠΊΡΡΠ°Ρ ΡΠ΅ΠΌΠΏΠ΅ΡΠ°ΡΡΡΠ° ΠΈΡΠΏΡΡΠ°Π½ΠΈΠΉ;
15 β Π³ΡΠ°Π΄ΡΡΠΎΠ² ΠΏΠΎ Π¦Π΅Π»ΡΡΠΈΡ, ΠΎΡΠ½ΠΎΡΠΈΡΠ΅Π»ΡΠ½ΠΎ ΡΡΠΎΠΉ ΡΠ΅ΠΌΠΏΠ΅ΡΠ°ΡΡΡΡ ΠΏΡΠΎΠΈΠ·Π²ΠΎΠ΄ΡΡΡΡ ΡΠ°ΡΡΡΡΡ ΠΏΠ»ΠΎΡΠ½ΠΎΡΡΠΈ Π΄ΠΈΠ·Π΅Π»ΡΠ½ΠΎΠ³ΠΎ ΡΠΎΠΏΠ»ΠΈΠ²Π°;
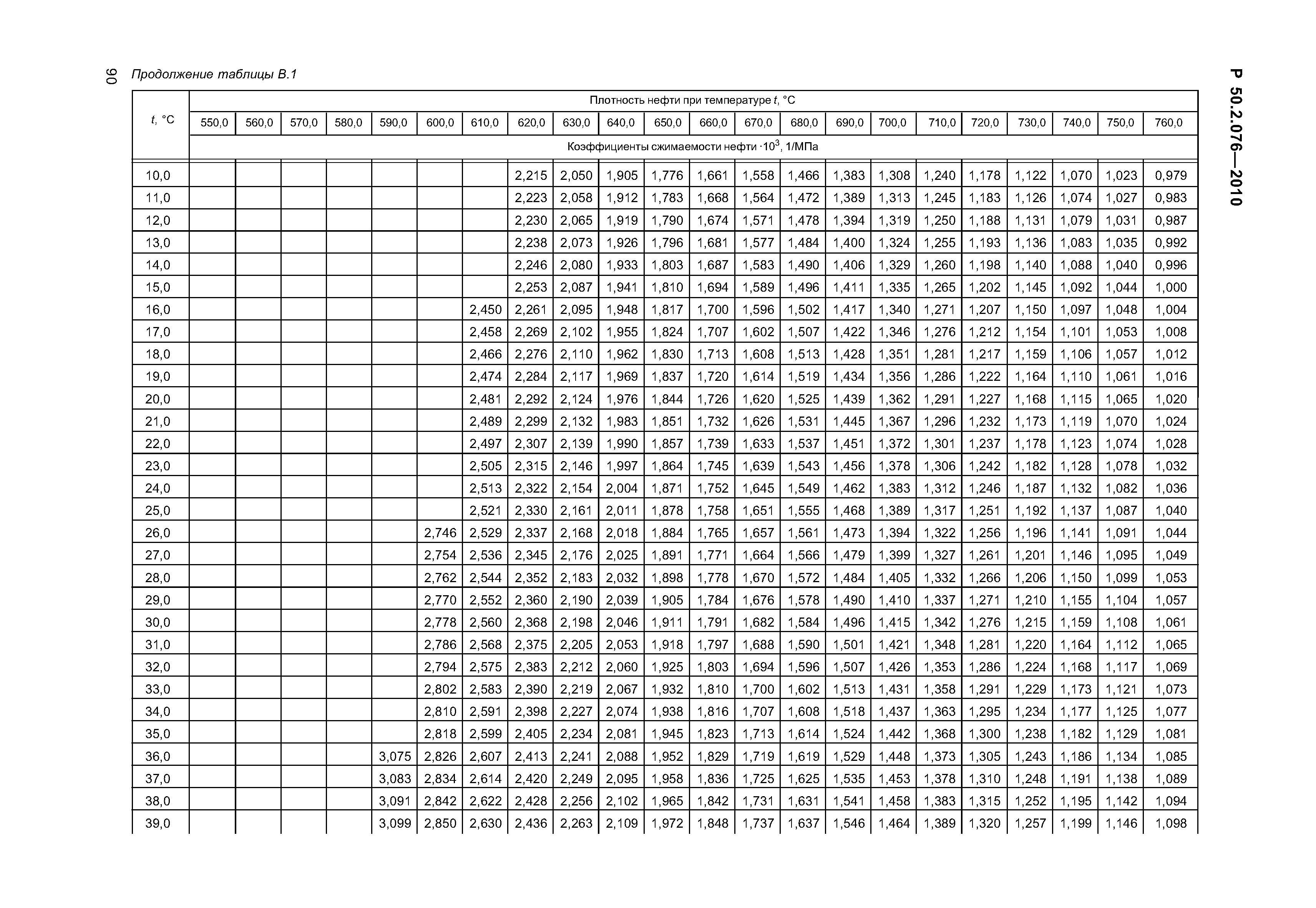
Ξ± β ΡΠ΅ΠΌΠΏΠ΅ΡΠ°ΡΡΡΠ½ΡΠΉ ΠΊΠΎΡΡΡΠΈΡΠΈΠ΅Π½Ρ, ΠΏΠΎΠΏΡΠ°Π²ΠΊΠ° Π½Π° ΠΊΠ°ΠΆΠ΄ΡΠΉ Π³ΡΠ°Π΄ΡΡ, Π·Π½Π°ΡΠ΅Π½ΠΈΠ΅ ΠΌΠΎΠΆΠ½ΠΎ Π²Π·ΡΡΡ ΠΌΠ°ΠΊΡΠΈΠΌΠ°Π»ΡΠ½ΠΎ ΠΏΠΎΠ΄ΡΠΎΠ±Π½ΠΎΠΉ ΡΠ°Π±Π»ΠΈΡΠ΅ Π² ΠΠΠ‘Π’ 8.
599-2010 (ΠΏΡΠΈΠ».Π, Π΄Π°Π½Π½ΡΠ΅ ΠΏΠ΅ΡΠ΅ΡΡΡΡΠ° ΠΏΠ»ΠΎΡΠ½ΠΎΡΡΠΈ Π΄Π»Ρ ΡΠ²Π΅ΡΠ»ΡΡ
Π½Π΅ΡΡΠ΅ΠΏΡΠΎΠ΄ΡΠΊΡΠΎΠ²)
ΠΠ·ΠΌΠ΅ΡΠ΅Π½ΠΈΠ΅ ΠΏΠ»ΠΎΡΠ½ΠΎΡΡΠΈ Π΄ΠΈΠ·Π΅Π»ΡΠ½ΠΎΠ³ΠΎ ΡΠΎΠΏΠ»ΠΈΠ²Π° Π°ΡΠ΅ΠΎΠΌΠ΅ΡΡΠΎΠΌ
ΠΠ΅ Π²ΡΠ΅Π³Π΄Π° Π΅ΡΡΡ Π²ΡΠ΅ΠΌΡ Π΄Π»Ρ ΠΏΠΎΠΈΡΠΊΠ° Π½ΡΠΆΠ½ΡΡ Π·Π½Π°ΡΠ΅Π½ΠΈΠΉ, ΡΡΠΎΠ±Ρ ΡΠ°ΡΡΡΠΈΡΠ°ΡΡ ΠΏΠ»ΠΎΡΠ½ΠΎΡΡΡ Π΄ΠΈΠ·Π΅Π»ΡΠ½ΠΎΠ³ΠΎ ΡΠΎΠΏΠ»ΠΈΠ²Π° ΠΎΡ ΡΠ΅ΠΌΠΏΠ΅ΡΠ°ΡΡΡΡ. ΠΠ° ΡΡΠΎΡ ΡΠ»ΡΡΠ°ΠΉ ΠΈ ΠΏΠΎΠ½Π°Π΄ΠΎΠ±ΠΈΡΡΡ Π°ΡΠ΅ΠΎΠΌΠ΅ΡΡ (ΠΏΠ»ΠΎΡΠ½ΠΎΠΌΠ΅Ρ) β ΠΊΠΎΠΌΠΏΠ°ΠΊΡΠ½ΡΠΉ ΠΏΡΠΈΠ±ΠΎΡ, ΠΊΠΎΡΠΎΡΡΠΉ ΠΌΠΎΠΆΠ½ΠΎ ΠΏΡΠΈΠΎΠ±ΡΠ΅ΡΡΠΈ Π½Π° ΠΠΠ‘ ΠΈΠ»ΠΈ Π² ΠΌΠ°Π³Π°Π·ΠΈΠ½Π΅ Π°Π²ΡΠΎΠ·Π°ΠΏΡΠ°ΡΡΠ΅ΠΉ. ΠΠ΄ΠΎΠ±Π°Π²ΠΎΠΊ, Ρ ΠΏΠΎΠΌΠΎΡΡΡ Π°ΡΠ΅ΠΎΠΌΠ΅ΡΡΠ° ΠΏΡΠΎΠΈΠ·Π²ΠΎΠ΄ΡΡΡΡ ΠΌΠ³Π½ΠΎΠ²Π΅Π½Π½ΡΠ΅ Π·Π°ΠΌΠ΅ΡΡ ΠΏΠ»ΠΎΡΠ½ΠΎΡΡΠΈ Π΄ΠΈΠ·ΡΠΎΠΏΠ»ΠΈΠ²Π°, Π° ΠΈΠ· Π²ΡΠΏΠΎΠΌΠΎΠ³Π°ΡΠ΅Π»ΡΠ½ΡΡ ΠΏΡΠΈΡΠΏΠΎΡΠΎΠ±Π»Π΅Π½ΠΈΠΉ ΠΏΠΎΠ½Π°Π΄ΠΎΠ±ΠΈΡΡΡ ΡΠΎΠ»ΡΠΊΠΎ Π½Π΅Π±ΠΎΠ»ΡΡΠ°Ρ ΡΠΌΠΊΠΎΡΡΡ, ΠΊΡΠ΄Π° ΡΠ»Π΅Π΄ΡΠ΅Ρ ΠΏΠΎΠ³ΡΡΠ·ΠΈΡΡ ΡΡΠΎ ΠΏΡΠΎΡΡΠΎΠ΅ ΡΡΡΡΠΎΠΉΡΡΠ²ΠΎ.
ΠΡΠΎΡΠ΅Π΄ΡΡΠ° ΠΎΠΏΡΠ΅Π΄Π΅Π»Π΅Π½ΠΈΡΒ ΠΏΠ»ΠΎΡΠ½ΠΎΡΡΠΈ Π΄ΠΈΠ·Π΅Π»ΡΠ½ΠΎΠ³ΠΎ ΡΠΎΠΏΠ»ΠΈΠ²Π° ΡΠ΅Π³Π»Π°ΠΌΠ΅Π½ΡΠΈΡΠΎΠ²Π°Π½Π° Π² ΠΠΠ‘Π’ 3900-85 ΠΈ Π² ΠΠΠ‘Π’ Π 51069-97, ΠΎΠ±Π° ΡΡΠ°Π½Π΄Π°ΡΡΠ° ΡΠ°Π²Π½ΠΎΡΠ΅Π½Π½Ρ, ΠΈ ΠΎΠΏΠΈΡΡΠ²Π°ΡΡ ΠΏΠΎΠ΄ΡΠΎΠ±Π½ΡΠ΅ ΠΌΠ΅ΡΠΎΠ΄Ρ ΡΠ°Π±ΠΎΡΡ Ρ Π°ΡΠ΅ΠΎΠΌΠ΅ΡΡΠ°ΠΌΠΈ ΠΏΡΠΈ Π·Π°ΠΌΠ΅ΡΠ°Ρ Π΄Π»Ρ ΠΆΠΈΠ΄ΠΊΠΈΡ Π½Π΅ΡΡΠ΅ΠΏΡΠΎΠ΄ΡΠΊΡΠΎΠ².
ΠΠ»ΠΎΡΠ½ΠΎΡΡΡ ΠΈ ΡΠ°ΡΡ ΠΎΠ΄ Π΄ΠΈΠ·Π΅Π»ΡΠ½ΠΎΠ³ΠΎ ΡΠΎΠΏΠ»ΠΈΠ²Π° Π‘ΡΠ°Π·Ρ ΡΡΠΎΠΈΡ ΠΎΡΠΌΠ΅ΡΠΈΡΡ, ΡΡΠΎ Π½Π°ΠΏΡΡΠΌΡΡ ΡΡΠΈ ΠΏΠ°ΡΠ°ΠΌΠ΅ΡΡΡ Π½Π΅ ΡΠ²ΡΠ·Π°Π½Ρ, Π° Π·Π½Π°ΡΠ΅Π½ΠΈΠ΅ ΠΏΠ»ΠΎΡΠ½ΠΎΡΡΠΈ Π½Π΅ΠΎΠ±Ρ
ΠΎΠ΄ΠΈΠΌΠΎ ΡΠΎΠ»ΡΠΊΠΎ Π΄Π»Ρ ΠΎΠΏΡΠ΅Π΄Π΅Π»Π΅Π½ΠΈΡ ΡΠ΅Π·ΠΎΠ½Π½ΠΎΡΡΠΈ ΡΠΎΡΡΠ° Π΄ΠΈΠ·ΡΠΎΠΏΠ»ΠΈΠ²Π°.
ΠΡΠΎΠΌΠ΅ ΠΏΠ»ΠΎΡΠ½ΠΎΡΡΠΈ ΠΊΠ»ΠΈΠΌΠ°ΡΠΈΡΠ΅ΡΠΊΠΈΠ΅ ΡΡΠ»ΠΎΠ²ΠΈΡ ΡΡΠ΅Π±ΡΡΡ ΡΠΎΠΎΡΠ²Π΅ΡΡΡΠ²ΠΈΡ ΠΌΠ½ΠΎΠ³ΠΈΠΌ Π΄ΡΡΠ³ΠΈΠΌ ΠΏΠ°ΡΠ°ΠΌΠ΅ΡΡΠ°ΠΌ ΠΊΠ°ΡΠ΅ΡΡΠ²Π° Π΄ΠΈΠ·Π΅Π»ΡΠ½ΠΎΠ³ΠΎ Π³ΠΎΡΡΡΠ΅Π³ΠΎ: ΡΠ΅ΠΌΠΏΠ΅ΡΠ°ΡΡΡΠ° Π·Π°ΡΡΡΠ²Π°Π½ΠΈΡ, ΠΏΡΠΈΡΠ°Π΄ΠΊΠΈ ΠΈ Ρ.Π΄. ΠΠΎ Π² ΡΠ΅Π³ΠΈΠΎΠ½Π°Ρ
Ρ Ρ
ΠΎΠ»ΠΎΠ΄Π½ΡΠΌ ΠΊΠ»ΠΈΠΌΠ°ΡΠΎΠΌ ΡΠ°ΡΡ
ΠΎΠ΄ ΡΠΎΠΏΠ»ΠΈΠ²Π° Π΄Π΅ΠΉΡΡΠ²ΠΈΡΠ΅Π»ΡΠ½ΠΎ Π²ΡΡΠ΅.Β
ΠΠΎΡΠ΅ΠΌΡ Π·ΠΈΠΌΠΎΠΉ ΡΠ°ΡΡ ΠΎΠ΄ Π΄ΠΈΠ·ΡΠΎΠΏΠ»ΠΈΠ²Π° Π±ΠΎΠ»ΡΡΠ΅
Π’Π°ΠΊΠΎΠ΅ ΡΠ²Π»Π΅Π½ΠΈΠ΅ Π½Π°ΠΏΡΡΠΌΡΡ ΡΠ²ΡΠ·Π°Π½ΠΎ Ρ Π½Π΅ΠΎΠ±Ρ ΠΎΠ΄ΠΈΠΌΠΎΡΡΡΡ ΠΏΡΠΎΠ³ΡΠ΅Π²Π°ΡΡ Π°Π²ΡΠΎ ΠΏΠ΅ΡΠ΅Π΄ ΠΏΠΎΠ΅Π·Π΄ΠΊΠΎΠΉ β ΠΈ Π΄Π²ΠΈΠ³Π°ΡΠ΅Π»Ρ Ρ Π±Π»ΠΎΠΊΠ°ΠΌΠΈ ΡΠΈΠ»ΠΈΠ½Π΄ΡΠΎΠ², ΠΈ Π°Π½ΡΠΈΡΡΠΈΠ·, ΠΈ ΡΠΈΡΡΠ΅ΠΌΠ° ΠΎΠ±ΠΎΠ³ΡΠ΅Π²Π° ΡΠ°Π»ΠΎΠ½Π° ΡΠ°ΠΊ ΠΈΠ»ΠΈ ΠΈΠ½Π°ΡΠ΅ Π½ΡΠΆΠ΄Π°ΡΡΡΡ Π² Π½Π΅ΠΊΠΎΡΠΎΡΡΡ Π·Π°ΡΡΠ°ΡΠ°Ρ Π΄ΠΈΠ·ΡΠΎΠΏΠ»ΠΈΠ²Π°. Π‘ΠΎΠΎΡΠ²Π΅ΡΡΡΠ²ΠΈΠ΅ ΡΠ²ΠΎΠΉΡΡΠ² Π³ΠΎΡΡΡΠ΅Π³ΠΎ ΡΠ΅ΠΊΡΡΠΈΠΌ ΡΠ΅ΠΌΠΏΠ΅ΡΠ°ΡΡΡΠ½ΡΠΌ ΡΡΠ»ΠΎΠ²ΠΈΡΠΌ ΡΠΊΡΠΏΠ»ΡΠ°ΡΠ°ΡΠΈΠΈ ΡΡΡΠ΅ΡΡΠ²Π΅Π½Π½ΠΎ ΠΎΠ±Π»Π΅Π³ΡΠ°Π΅Ρ Π·Π°ΠΏΡΡΠΊ ΠΈ ΠΏΠΎΡΠ»Π΅Π΄ΡΡΡΡΡ ΡΠ°Π±ΠΎΡΡ Π΄Π²ΠΈΠ³Π°ΡΠ΅Π»Ρ.
ΠΡΠΊΡΠΈΡΠ΅ΡΠΊΠΎΠ΅ ΠΈ Π·ΠΈΠΌΠ½Π΅Π΅ Π΄ΠΈΠ·ΡΠΎΠΏΠ»ΠΈΠ²ΠΎ ΠΎΡΠ»ΠΈΡΠ°Π΅ΡΡΡ ΠΎΡ Π²ΡΠ΅Ρ
ΠΏΡΠΎΡΠΈΡ
ΡΠΎΡΡΠΎΠ² Π½Π΅ ΡΠΎΠ»ΡΠΊΠΎ ΠΏΠ»ΠΎΡΠ½ΠΎΡΡΡΡ, ΡΠ΅ΡΠ°ΡΡΡΡ ΡΠΎΠ»Ρ Π² ΠΎΠΏΡΠ΅Π΄Π΅Π»Π΅Π½ΠΈΠΈ ΡΠ΅Π·ΠΎΠ½Π½ΠΎΡΡΠΈ ΠΈΠ³ΡΠ°Π΅Ρ ΡΠ΅ΡΠ°Π½ΠΎΠ²ΠΎΠ΅ ΡΠΈΡΠ»ΠΎ Π³ΠΎΡΡΡΠ΅Π³ΠΎ, ΡΠΎ Π΅ΡΡΡ ΠΏΠΎΡΠΎΠ³ ΠΌΠ°ΠΊΡΠΈΠΌΠ°Π»ΡΠ½ΠΎΠ³ΠΎ ΡΠΆΠ°ΡΠΈΡ Π΄Π»Ρ ΡΠ°ΠΌΠΎΠ²ΠΎΡΠΏΠ»Π°ΠΌΠ΅Π½Π΅Π½ΠΈΡ ΡΠΌΠ΅ΡΠΈ. ΠΠΎ Π² ΡΠ΅Π»ΠΎΠΌ Ρ
ΠΈΠΌΠΈΡΠ΅ΡΠΊΠΈΠΉ ΡΠΎΡΡΠ°Π², Π²ΠΊΠ»ΡΡΠ°Ρ ΠΏΡΠΈΡΠ°Π΄ΠΊΠΈ, Π²Π΅Π»ΠΈΡΠΈΠ½Ρ ΡΠ΅ΡΠ°Π½ΠΎΠ²ΠΎΠ³ΠΎ ΡΠΈΡΠ»Π° ΠΈ ΠΏΠ»ΠΎΡΠ½ΠΎΡΡΡ Π΄ΠΈΠ·Π΅Π»ΡΠ½ΠΎΠ³ΠΎ ΡΠΎΠΏΠ»ΠΈΠ²Π°, ΡΠΊΠ°Π·ΡΠ²Π°ΡΡ Π½Π° ΡΠΎ, Π±ΡΠ΄Π΅Ρ Π»ΠΈ ΡΠ°ΠΊΠΎΠ΅ Π³ΠΎΡΡΡΠ΅Π΅ ΡΡΡΠ΅ΠΊΡΠΈΠ²Π½ΡΠΌ ΠΏΡΠΈ ΡΠΈΠ»ΡΠ½ΡΡ
ΠΌΠΎΡΠΎΠ·Π°Ρ
ΠΈ Π½Π΅ Π½Π°Π²ΡΠ΅Π΄ΠΈΡ Π»ΠΈ Π΄Π²ΠΈΠ³Π°ΡΠ΅Π»Ρ, ΠΏΡΠΎΠ²ΠΎΡΠΈΡΡΡ Π½Π°Π³ΡΡΠ·ΠΊΡ Π½Π° ΡΠΎΡΡΡΠ½ΠΊΠΈ ΠΈ ΠΏΡΠ΅ΠΆΠ΄Π΅Π²ΡΠ΅ΠΌΠ΅Π½Π½ΡΠΉ ΠΈΠ·Π½ΠΎΡ ΡΠ»Π΅ΠΌΠ΅Π½ΡΠΎΠ² ΠΌΠΎΡΠΎΡΠ°.
ΠΠΎΡΠ΅ΠΌΡ Π·Π°ΠΌΠ΅ΡΠ·Π°Π΅Ρ Π΄ΠΈΠ·Π΅Π»ΡΠ½ΠΎΠ΅ ΡΠΎΠΏΠ»ΠΈΠ²ΠΎ
ΠΠ½Π΅ΡΡΠΌ ΡΡΠ½ΠΎΡΡΡ: Π·Π°ΠΌΠ΅ΡΠ·Π°Π΅Ρ Π΄ΠΈΠ·ΡΠΎΠΏΠ»ΠΈΠ²ΠΎ, Π½Π΅ ΠΏΠΎΠ΄Ρ ΠΎΠ΄ΡΡΠ΅Π΅ Π΄Π»Ρ ΡΠ΅ΠΊΡΡΠΈΡ ΠΊΠ»ΠΈΠΌΠ°ΡΠΈΡΠ΅ΡΠΊΠΈΡ ΡΡΠ»ΠΎΠ²ΠΈΠΉ. Π Π»Π΅ΡΠ½Π΅ΠΌ ΠΈ ΠΌΠ΅ΠΆΡΠ΅Π·ΠΎΠ½Π½ΠΎΠΌ Π΄ΠΈΠ·Π΅Π»ΡΠ½ΠΎΠΌ Π³ΠΎΡΡΡΠ΅ΠΌ Π΄ΠΎΠΏΡΡΠΊΠ°Π΅ΡΡΡ Π½Π°Π»ΠΈΡΠΈΠ΅ ΠΏΠ°ΡΠ°ΡΠΈΠ½ΠΎΠ². ΠΠΎΠΏΡΠ΅ΠΊΠΈ ΠΌΠ½Π΅Π½ΠΈΡ ΠΎ ΡΠΎΠΌ, ΡΡΠΎ ΠΏΠ°ΡΠ°ΡΠΈΠ½Ρ ΡΠΌΡΡΠ»Π΅Π½Π½ΠΎ Π΄ΠΎΠ±Π°Π²Π»ΡΡΡ Π² Π΄ΠΈΠ·Π΅Π»ΡΠ½ΠΎΠ΅ ΡΠΎΠΏΠ»ΠΈΠ²ΠΎ, Π²Π΅ΡΠ΅ΡΡΠ²Π° ΠΈΠ·Π½Π°ΡΠ°Π»ΡΠ½ΠΎ Π²Ρ ΠΎΠ΄ΡΡ Π² ΡΠΎΡΡΠ°Π² Π½Π΅ΡΡΠΈ, ΠΈΠ· ΠΊΠΎΡΠΎΡΠΎΠΉ ΠΏΡΠΎΠΈΠ·Π²ΠΎΠ΄ΠΈΡΡΡ ΡΡΠΎΡ Π²ΠΈΠ΄ Π³ΠΎΡΡΡΠ΅Π³ΠΎ.
ΠΠΎΠ»Π½ΠΎΡΡΡΡ, Π½Π° 100% ΠΎΡΠΈΡΡΠΈΡΡ Π½Π΅ΡΡΡ ΠΎΡ ΠΏΠ°ΡΠ°ΡΠΈΠ½ΠΎΠ² Π½Π΅ ΠΏΡΠ΅Π΄ΡΡΠ°Π²Π»ΡΠ΅ΡΡΡ Π²ΠΎΠ·ΠΌΠΎΠΆΠ½ΡΠΌ, Π²Π΄ΠΎΠ±Π°Π²ΠΎΠΊ ΡΠ΅Ρ
Π½ΠΈΡΠ΅ΡΠΊΠΈ ΡΠ°ΠΊΠΎΠΉ Π½Π΅ΠΎΠ±Ρ
ΠΎΠ΄ΠΈΠΌΠΎΡΡΠΈ Π½Π΅Ρ. ΠΠΎΠ»Π½Π°Ρ Π΄Π΅ΠΏΠ°ΡΠ°ΡΠΈΠ½ΠΈΠ·Π°ΡΠΈΡ β ΠΌΠ½ΠΎΠ³ΠΎΡΡΡΠΏΠ΅Π½ΡΠ°ΡΠ°Ρ ΠΎΡΠΈΡΡΠΊΠ° ΡΡΠ°ΠΊΡΠΈΠΉ ΠΎΡ ΠΏΠ°ΡΠ°ΡΠΈΠ½ΠΎΠ² ΠΏΡΠΈ ΠΏΡΠΎΠΈΠ·Π²ΠΎΠ΄ΡΡΠ²Π΅ β ΠΎΠ±ΠΎΡΠ½ΠΎΠ²Π°Π½Π° ΡΠΎΠ»ΡΠΊΠΎ Π΄Π»Ρ Π°ΡΠΊΡΠΈΡΠ΅ΡΠΊΠΎΠ³ΠΎ ΠΈ Π·ΠΈΠΌΠ½Π΅Π³ΠΎ Π΄ΠΈΠ·Π΅Π»ΡΠ½ΠΎΠ³ΠΎ ΡΠΎΠΏΠ»ΠΈΠ²Π°. ΠΠ΅Π±ΠΎΠ»ΡΡΠ°Ρ Π΄ΠΎΠ»Ρ ΠΏΠ°ΡΠ°ΡΠΈΠ½ΠΎΠ²ΡΡ
ΡΠ³Π»Π΅Π²ΠΎΠ΄ΠΎΡΠΎΠ΄ΠΎΠ² Π½Π΅ Π½Π΅ΡΡΡ ΡΠ³ΡΠΎΠ·Ρ Π΄Π²ΠΈΠ³Π°ΡΠ΅Π»Ρ, Π΅ΡΠ»ΠΈ Π΄ΠΈΠ·ΡΠΎΠΏΠ»ΠΈΠ²ΠΎ Ρ ΠΏΠ°ΡΠ°ΡΠΈΠ½Π°ΠΌΠΈ ΠΏΡΠΈΠΌΠ΅Π½ΡΠ΅ΡΡΡ Π² Π»Π΅ΡΠ½ΠΈΠΉ ΡΠ΅Π·ΠΎΠ½, ΠΏΠΎΡΠΊΠΎΠ»ΡΠΊΡ ΠΏΡΠΈ ΠΏΠ»ΡΡΠΎΠ²ΡΡ
ΡΠ΅ΠΌΠΏΠ΅ΡΠ°ΡΡΡΠ°Ρ
ΠΏΠ°ΡΠ°ΡΠΈΠ½Ρ Π½Π΅ Π·Π°Π³ΡΡΡΠ΅Π²Π°ΡΡ ΠΈ Π½Π΅ Π²ΡΠΏΠ°Π΄Π°ΡΡ Π² ΠΎΡΠ°Π΄ΠΎΠΊ. ΠΠ»Ρ Π·Π°ΡΠΈΡΡ ΡΠΎΠΏΠ»ΠΈΠ²Π½ΠΎΠ³ΠΎ ΡΠΈΠ»ΡΡΡΠ° ΠΈ Π΄Π²ΠΈΠ³Π°ΡΠ΅Π»ΡΠ½ΠΎΠΉ ΡΠΈΡΡΠ΅ΠΌΡ ΠΎΡ ΠΏΠ°ΡΠ°ΡΠΈΠ½ΠΎΠ²ΡΡ
Π²ΡΠΏΠ°Π΄Π΅Π½ΠΈΠΉ ΡΡΠ΅Π±ΡΠ΅ΡΡΡ ΠΏΡΠΈΠΌΠ΅Π½ΡΡΡ ΠΏΠΎΠ΄Ρ
ΠΎΠ΄ΡΡΠ΅Π΅ ΡΠ΅Π·ΠΎΠ½Π½ΡΠΌ ΡΠ΅ΠΌΠΏΠ΅ΡΠ°ΡΡΡΠ½ΡΠΌ ΡΡΠ»ΠΎΠ²ΠΈΡΠΌ Π΄ΠΈΠ·Π΅Π»ΡΠ½ΠΎΠ΅ Π³ΠΎΡΡΡΠ΅Π΅.
ΠΠ»Ρ ΠΏΠΎΠ»Π½ΠΎΠΉ ΡΠ²Π΅ΡΠ΅Π½Π½ΠΎΡΡΠΈ Π² ΡΠ΅Π·ΡΠ»ΡΡΠ°ΡΠ΅ Π½Π΅ Π²ΠΎΠ·Π±ΡΠ°Π½ΡΠ΅ΡΡΡ ΠΏΡΠΈΠΌΠ΅Π½Π΅Π½ΠΈΠ΅ ΡΠΏΠ΅ΡΠΈΠ°Π»ΡΠ½ΡΡ
Π΄Π΅ΠΏΡΠ΅ΡΡΠΎΡΠ½ΡΡ
ΠΏΡΠΈΡΠ°Π΄ΠΎΠΊ ΠΊΠ°ΡΠ΅Π³ΠΎΡΠΈΠΈ Β«Π°Π½ΡΠΈΠ³Π΅Π»ΡΒ» β ΠΎΠ½ΠΈ Π½Π΅ Π΄ΠΎΠΏΡΡΠΊΠ°ΡΡ ΠΎΠ±ΡΠ°Π·ΠΎΠ²Π°Π½ΠΈΡ ΠΏΠ°ΡΠ°ΡΠΈΠ½ΠΎΠ²ΠΎΠ³ΠΎ ΠΎΡΠ°Π΄ΠΊΠ°.
Β Β Β Β Β Β Β Β
ΠΠ°ΠΊ ΡΠ·Π½Π°ΡΡ, ΡΡΠΎ Π²Π°ΠΌ Π·Π°ΠΏΡΠ°Π²ΠΈΠ»ΠΈ Π·ΠΈΠΌΠ½Π΅Π΅ ΠΠ’
ΠΠΎΠ½Π΅ΡΠ½ΠΎ, Π² ΠΏΠ΅ΡΠ²ΡΡ ΠΎΡΠ΅ΡΠ΅Π΄Ρ ΡΡΠΎΠΈΡ ΠΈΠ·Π±Π΅Π³Π°ΡΡ ΡΠΎΠΌΠ½ΠΈΡΠ΅Π»ΡΠ½ΡΡ ΠΌΠ΅ΡΡ Π΄Π»Ρ Π·Π°ΠΏΡΠ°Π²ΠΊΠΈ Π°Π²ΡΠΎΠΌΠΎΠ±ΠΈΠ»Ρ Π΄ΠΈΠ·ΡΠΎΠΏΠ»ΠΈΠ²ΠΎΠΌ ΠΈ Π»ΡΠ±ΡΠΌ Π΄ΡΡΠ³ΠΈΠΌ Π²ΠΈΠ΄ΠΎΠΌ Π³ΠΎΡΡΡΠ΅Π³ΠΎ. Π‘ΡΠ°Π½ΡΠΈΠΈ, Π²ΡΡΡΡΠΏΠ°ΡΡΠΈΠ΅, ΠΊΠ°ΠΊ ΡΡΠ°ΡΡΠ½ΠΈΠΊΠΈ ΡΠ΅ΡΠΈ ΠΊΡΡΠΏΠ½ΡΡ ΠΏΠΎΡΡΠ°Π²ΡΠΈΠΊΠΎΠ² Π½Π΅ΡΡΠ΅ΠΏΡΠΎΠ΄ΡΠΊΡΠΎΠ² ΠΈ ΡΡΠ»ΡΠ³, Π½Π΅ΡΡΡ Π±ΠΎΠ»ΡΡΠ΅ ΠΎΡΠ²Π΅ΡΡΡΠ²Π΅Π½Π½ΠΎΡΡΠΈ Π·Π° ΠΊΠ°ΡΠ΅ΡΡΠ²ΠΎ ΠΠ‘Π: ΠΈ ΠΏΠ΅ΡΠ΅Π΄ Π΄ΡΡΠ³ΠΈΠΌΠΈ ΠΠΠ‘ Π±ΡΠ΅Π½Π΄Π°, ΠΈ ΠΏΠ΅ΡΠ΅Π΄ Π·Π°ΠΊΠΎΠ½ΠΎΠΌ ΠΎ Π·Π°ΡΠΈΡΠ΅ ΠΏΡΠ°Π² ΠΏΠΎΡΡΠ΅Π±ΠΈΡΠ΅Π»Π΅ΠΉ. Π Π΅Π°Π»ΠΈΠ·ΠΎΠ²Π°ΡΡ Π½Π΅ΠΊΠ°ΡΠ΅ΡΡΠ²Π΅Π½Π½ΠΎΠ΅ ΠΈΠ»ΠΈ Π½Π΅ ΡΠΎΠΎΡΠ²Π΅ΡΡΡΠ²ΡΡΡΠ΅Π΅ ΡΠ΅Π·ΠΎΠ½Ρ Π³ΠΎΡΡΡΠ΅Π΅ ΡΠ°ΠΊΠΈΠΌ ΡΡΠ°Π½ΡΠΈΡΠΌ Π½Π΅ Π²ΡΠ³ΠΎΠ΄Π½ΠΎ.Β
ΠΠΎΠΌΠΎΡΡ Π²ΠΎΠ΄ΠΈΡΠ΅Π»Ρ ΠΏΡΠΈ ΠΏΠΎΠΈΡΠΊΠ΅ ΠΏΠΎΠ΄Ρ ΠΎΠ΄ΡΡΠ΅ΠΉ Π°Π²ΡΠΎΠ·Π°ΠΏΡΠ°Π²ΠΊΠΈ β ΠΠΠ‘-Π»ΠΎΠΊΠ°ΡΠΎΡ, Π³Π΄Π΅ ΠΎΡΠΌΠ΅ΡΠ΅Π½ΡΒ Π²ΡΠ΅ ΠΊΠΎΠΌΠΏΠ»Π΅ΠΊΡΡ, ΠΏΡΠ΅Π΄ΠΎΡΡΠ°Π²Π»ΡΡΡΠΈΠ΅ ΡΡΠ»ΡΠ³ΠΈ ΠΈ Π³ΠΎΡΡΡΠ΅Π΅ Π²ΡΡΠΎΠΊΠΎΠ³ΠΎ ΠΊΠ°ΡΠ΅ΡΡΠ²Π°.
Π‘Π²ΠΎΠΈΠΌΠΈ ΠΆΠ΅ ΡΠΈΠ»Π°ΠΌΠΈ ΠΎΡΠ»ΠΈΡΠΈΡΡ Π»Π΅ΡΠ½Π΅Π΅ ΠΈΠ»ΠΈ ΠΌΠ΅ΠΆΡΠ΅Π·ΠΎΠ½Π½ΠΎΠ΅ ΠΎΡ Π·ΠΈΠΌΠ½Π΅Π³ΠΎ Π΄ΠΈΠ·Π΅Π»ΡΠ½ΠΎΠ³ΠΎ ΡΠΎΠΏΠ»ΠΈΠ²Π° Π½Π΅ΠΏΠΎΡΡΠ΅Π΄ΡΡΠ²Π΅Π½Π½ΠΎ ΠΏΠ΅ΡΠ΅Π΄ Π·Π°ΠΏΡΠ°Π²ΠΊΠΎΠΉ Π΅Π³ΠΎ Π² Π±Π°ΠΊ ΠΌΠΎΠΆΠ½ΠΎ Ρ ΠΏΠΎΠΌΠΎΡΡΡ ΠΏΡΠΎΡΡΠΎΠ³ΠΎ, Π½ΠΎ ΡΡΡΠ΅ΠΊΡΠΈΠ²Π½ΠΎΠ³ΠΎ ΡΠΏΠΎΡΠΎΠ±Π°.
ΠΡΠ΅ΠΆΠ΄Π΅ ΡΠ΅ΠΌ Π·Π°ΠΏΡΠ°Π²ΠΈΡΡΡΡ Π΄ΠΈΠ·ΡΠΎΠΏΠ»ΠΈΠ²ΠΎΠΌ, ΡΠ»Π΅Π΄ΡΠ΅Ρ Π²Π·ΡΡΡ ΠΏΡΠΎΠ±Ρ Π²Β Π½Π΅Π±ΠΎΠ»ΡΡΠΎΠΌ ΠΎΠ±ΡΡΠΌΠ΅, Π±ΡΠΊΠ²Π°Π»ΡΠ½ΠΎ 50-100 ΠΌΠ», Π° Π·Π°ΡΠ΅ΠΌ Π²ΡΡΡΠ°Π²ΠΈΡΡ ΡΠΌΠΊΠΎΡΡΡ Π² ΡΠ½Π΅Π³. ΠΠ° ΡΠΎ Π²ΡΠ΅ΠΌΡ, ΠΊΠΎΠ³Π΄Π° Π·Π°ΠΊΠΎΠ½ΡΠΈΡΡΡ ΠΎΡΠ΅ΡΠ΅Π΄Ρ Π½Π° Π±Π΅Π½Π·ΠΎΠ·Π°ΠΏΡΠ°Π²ΠΊΠ΅, ΠΏΡΠΎΠ±Π° ΠΏΠΎΠΊΠ°ΠΆΠ΅Ρ ΠΏΡΠ΅Π²ΡΡΠ΅Π½ΠΈΠ΅ ΠΏΠ°ΡΠ°ΡΠΈΠ½ΠΎΠ², Π΅ΡΠ»ΠΈ ΠΏΠΎΠ΄ Π²ΠΈΠ΄ΠΎΠΌ Π·ΠΈΠΌΠ½Π΅Π³ΠΎ Π΄ΠΈΠ·Π΅Π»ΡΠ½ΠΎΠ³ΠΎ ΡΠΎΠΏΠ»ΠΈΠ²Π° ΠΏΡΠΎΠ΄Π°ΡΡΡΡ ΡΠΌΠ΅ΡΡ, Π½Π΅ ΡΠΎΠΎΡΠ²Π΅ΡΡΡΠ²ΡΡΡΠ°Ρ ΡΠ΅ΠΌΠΏΠ΅ΡΠ°ΡΡΡΠ½ΡΠΌ ΡΡΠ»ΠΎΠ²ΠΈΡΠΌ.Β
ΠΠ»ΠΎΡΠ½ΠΎΡΡΡ Π΄ΠΈΠ·Π΅Π»ΡΠ½ΠΎΠ³ΠΎ ΡΠΎΠΏΠ»ΠΈΠ²Π° Π² Π·Π°Π²ΠΈΡΠΈΠΌΠΎΡΡΠΈ ΠΎΡ ΡΠ΅ΠΌΠΏΠ΅ΡΠ°ΡΡΡΡ
ΠΠ°ΡΠ°ΡΡ ΡΠ»Π΅Π΄ΡΠ΅Ρ Ρ ΡΠΎΠ³ΠΎ, ΡΡΠΎ ΠΏΠ»ΠΎΡΠ½ΠΎΡΡΡ Π΄ΠΈΠ·Π΅Π»ΡΠ½ΠΎΠ³ΠΎ ΡΠΎΠΏΠ»ΠΈΠ²Π°, ΠΊΠ°ΠΊ ΠΈ Π»ΡΠ±ΠΎΠΉ Π΄ΡΡΠ³ΠΎΠΉ ΠΆΠΈΠ΄ΠΊΠΎΡΡΠΈ, ΡΠΈΠ»ΡΠ½ΠΎ Π·Π°Π²ΠΈΡΠΈΡ ΠΎΡ Π΅Π³ΠΎ ΡΠ΅ΠΌΠΏΠ΅ΡΠ°ΡΡΡΡ. ΠΠΎΡΡΠΎΠΌΡ Π΄Π»Ρ ΠΏΠΎΠ»ΡΡΠ΅Π½ΠΈΡ ΡΡΠ°Π²Π½ΠΈΠΌΡΡ
ΡΠ΅Π·ΡΠ»ΡΡΠ°ΡΠΎΠ² ΠΏΠ»ΠΎΡΠ½ΠΎΡΡΡ Π΄ΠΈΠ·Π΅Π»ΡΠ½ΠΎΠ³ΠΎ ΡΠΎΠΏΠ»ΠΈΠ²Π° ΠΈΠ·ΠΌΠ΅ΡΡΠ΅ΡΡΡ ΠΏΡΠΈ 20 Π³ΡΠ°Π΄ΡΡΠ°Ρ
ΠΏΠΎ Π¦Π΅Π»ΡΡΠΈΡ. ΠΠΈΠ·Π΅Π»ΡΠ½ΠΎΠ΅ ΡΠΎΠΏΠ»ΠΈΠ²ΠΎ (ΠΠ’) β ΡΡΠΎ ΠΆΠΈΠ΄ΠΊΠΈΠ΅ ΡΠ³Π»Π΅Π²ΠΎΠ΄ΠΎΡΠΎΠ΄Ρ, ΠΈΡΠΏΠΎΠ»ΡΠ·ΡΡΡΠΈΠ΅ΡΡ Π² ΠΊΠ°ΡΠ΅ΡΡΠ²Π΅ Π³ΠΎΡΡΡΠ΅Π³ΠΎ Π΄Π»Ρ Π΄ΠΈΠ·Π΅Π»ΡΠ½ΡΡ
Π΄Π²ΠΈΠ³Π°ΡΠ΅Π»Π΅ΠΉ Π²Π½ΡΡΡΠ΅Π½Π½Π΅Π³ΠΎ ΡΠ³ΠΎΡΠ°Π½ΠΈΡ. ΠΠ±ΡΡΠ½ΠΎ ΠΏΠΎΠ΄ ΡΡΠΈΠΌ ΡΠ΅ΡΠΌΠΈΠ½ΠΎΠΌ ΠΏΠΎΠ½ΠΈΠΌΠ°ΡΡ Π³ΠΎΡΡΡΠ΅Π΅, ΠΏΠΎΠ»ΡΡΠ°ΡΡΠ΅Π΅ΡΡ ΠΈΠ· ΠΊΠ΅ΡΠΎΡΠΈΠ½ΠΎΠ²ΠΎ-Π³Π°Π·ΠΎΠΉΠ»ΠΈΠ²ΡΡ
ΡΡΠ°ΠΊΡΠΈΠΉ ΠΏΡΠΈ ΠΏΠΎΠΌΠΎΡΠΈ ΠΏΡΡΠΌΠΎΠΉ ΠΏΠ΅ΡΠ΅Π³ΠΎΠ½ΠΊΠΈ Π½Π΅ΡΡΠΈ.
ΠΠ»ΠΎΡΠ½ΠΎΡΡΡ ΡΠΎΠΏΠ»ΠΈΠ²Π° β ΡΡΠΎ ΡΠ°ΠΊΡΠΈΡΠ΅ΡΠΊΠΈ Π΅Π³ΠΎ ΡΠ΄Π΅Π»ΡΠ½ΡΠΉ Π²Π΅Ρ. ΠΠ·ΠΌΠ΅ΡΡΠ΅ΡΡΡ ΡΡΠ° Π²Π΅Π»ΠΈΡΠΈΠ½Π° Π² ΠΊΠΈΠ»ΠΎΠ³ΡΠ°ΠΌΠΌΠ°Ρ
Π½Π° ΠΊΡΠ±ΠΈΡΠ΅ΡΠΊΠΈΠΉ ΠΌΠ΅ΡΡ ΠΈΠ»ΠΈ Π² Π³ΡΠ°ΠΌΠΌΠ°Ρ
Π½Π° ΡΠ°Π½ΡΠΈΠΌΠ΅ΡΡ Π² ΠΊΡΠ±Π΅.
ΠΠ°Π·Π²Π°Π½ΠΈΠ΅ Β«ΡΠΎΠ»ΡΡΠΊΠ°Β» ΠΏΡΠΎΠΈΡΡ ΠΎΠ΄ΠΈΡ ΠΎΡ Π½Π΅ΠΌΠ΅ΡΠΊΠΎΠ³ΠΎ SolarΓΆl (ΡΠΎΠ»Π½Π΅ΡΠ½ΠΎΠ΅ ΠΌΠ°ΡΠ»ΠΎ) β ΡΠ°ΠΊ Π·Π° ΠΆΠ΅Π»ΡΡΠΉ ΡΠ²Π΅Ρ Π΅ΡΡ Π² ΡΠ΅ΡΠ΅Π΄ΠΈΠ½Π΅ XIX Π²Π΅ΠΊΠ° Π½Π°Π·ΡΠ²Π°Π»ΠΈ Π±ΠΎΠ»Π΅Π΅ ΡΡΠΆΡΠ»ΡΡ ΡΡΠ°ΠΊΡΠΈΡ, ΠΎΠ±ΡΠ°Π·ΡΡΡΡΡΡΡ ΠΏΡΠΈ ΠΏΠ΅ΡΠ΅Π³ΠΎΠ½ΠΊΠ΅ Π½Π΅ΡΡΠΈ.
Π‘ΠΎΠ²Π΅ΡΡΠΊΠ°Ρ Π½Π΅ΡΡΠ΅ΠΏΠ΅ΡΠ΅ΡΠ°Π±Π°ΡΡΠ²Π°ΡΡΠ°Ρ ΠΏΡΠΎΠΌΡΡΠ»Π΅Π½Π½ΠΎΡΡΡ Π²ΡΠΏΡΡΠΊΠ°Π»Π° Π³ΠΎΡΡΡΠ΅Π΅ Β«Π‘ΠΎΠ»ΡΡΠΎΠ²ΠΎΠ΅ ΠΌΠ°ΡΠ»ΠΎ ΠΠΠ‘Π’ 1666-42 ΠΈ ΠΠΠ‘Π’ 1666-51Β». ΠΠ½ΠΎ Π±ΡΠ»ΠΎ ΠΏΡΠ΅Π΄Π½Π°Π·Π½Π°ΡΠ΅Π½ΠΎ Π΄Π»Ρ ΠΏΡΠΈΠΌΠ΅Π½Π΅Π½ΠΈΡ Π² ΠΊΠ°ΡΠ΅ΡΡΠ²Π΅ Π΄ΠΈΠ·ΡΠΎΠΏΠ»ΠΈΠ²Π° ΡΡΠ΅Π΄Π½Π΅ΠΎΠ±ΠΎΡΠΎΡΠ½ΡΡ (ΡΠΎ ΡΠΊΠΎΡΠΎΡΡΡΡ Π²ΡΠ°ΡΠ΅Π½ΠΈΡ ΠΊΠΎΠ»Π΅Π½Π²Π°Π»Π° Π½Π΅ Π²ΡΡΠ΅ 1000 ΠΎΠ±/ΠΌΠΈΠ½.) Π΄ΠΈΠ·Π΅Π»Π΅ΠΉ. ΠΡΠΏΠΎΠ»ΡΠ·ΠΎΠ²Π°Π»ΠΎΡΡ, ΠΊΠ°ΠΊ ΠΏΡΠ°Π²ΠΈΠ»ΠΎ, Π΄Π»Ρ ΡΠ΅Π»ΡΡΠΊΠΎΡ ΠΎΠ·ΡΠΉΡΡΠ²Π΅Π½Π½ΠΎΠΉ ΠΈ Π΄ΡΡΠ³ΠΎΠΉ ΡΠΏΠ΅ΡΠΈΠ°Π»ΡΠ½ΠΎΠΉ ΡΠ΅Ρ Π½ΠΈΠΊΠΈ, ΠΈ Π²ΡΠ΅ Π·Π½Π°Π»ΠΈ Π΅Π΅ ΠΏΠΎΠ΄ Π½Π°Π·Π²Π°Π½ΠΈΠ΅ΠΌ Β«ΡΠΎΠ»ΡΡΠΊΠ°Β» ΠΈΠ»ΠΈ Β«ΡΠΎΠ»ΡΡΠ°Β». Π‘ΠΎΠ»ΡΡΠΎΠ²ΠΎΠ΅ ΠΌΠ°ΡΠ»ΠΎ Π½Π΅ΠΏΡΠΈΠ³ΠΎΠ΄Π½ΠΎ Π΄Π»Ρ Π·Π°ΠΏΡΠ°Π²ΠΊΠΈ ΡΠΎΠ²ΡΠ΅ΠΌΠ΅Π½Π½ΡΡ Π°Π²ΡΠΎ Ρ Π²ΡΡΠΎΠΊΠΎ ΠΎΠ±ΠΎΡΠΎΡΠΈΡΡΡΠΌΠΈ ΠΠΠ‘.
Π Π°Π·Π΄Π΅Π»Π΅Π½ΠΈΠ΅ Π΄ΠΈΠ·Π΅Π»ΡΠ½ΠΎΠ³ΠΎ ΡΠΎΠΏΠ»ΠΈΠ²Π° ΠΏΠΎ ΠΠΠ‘Π’
Π‘ΠΎΠ³Π»Π°ΡΠ½ΠΎ ΠΠΠ‘Π’Β 305-82 Π΄ΠΈΠ·Π΅Π»ΡΠ½ΠΎΠ΅ Π³ΠΎΡΡΡΠ΅Π΅ Π΄Π΅Π»ΠΈΡΡΡ Π² Π·Π°Π²ΠΈΡΠΈΠΌΠΎΡΡΠΈ ΠΎΡ ΡΠ΅Π·ΠΎΠ½Π° ΠΈΡΠΏΠΎΠ»ΡΠ·ΠΎΠ²Π°Π½ΠΈΡ Π½Π° ΡΠ»Π΅Π΄ΡΡΡΠΈΠ΅ Π²ΠΈΠ΄Ρ:
- ΠΠ΅ΡΠ½Π΅Π΅ β ΠΎΡΡΠ°Π΅ΡΡΡ ΠΆΠΈΠ΄ΠΊΠΈΠΌ Π²ΡΠ΅Π³ΠΎ Π΄ΠΎ -5 β¦C.
ΠΠ³ΠΎ ΡΠ΅ΠΊΠΎΠΌΠ΅Π½Π΄ΡΠ΅ΡΡΡ ΠΈΡΠΏΠΎΠ»ΡΠ·ΠΎΠ²Π°ΡΡ ΠΏΡΠΈ ΡΠ΅ΠΌΠΏΠ΅ΡΠ°ΡΡΡΠ΅ Π²ΠΎΠ·Π΄ΡΡ
Π° Π²ΡΡΠ΅ Π½ΡΠ»Ρ ΠΏΠΎ Π¦Π΅Π»ΡΡΠΈΡ. - ΠΠΈΠΌΠ½Π΅Π΅ β Π½Π΅ Π΄ΠΎΠ»ΠΆΠ½ΠΎ Π³ΡΡΡΠ΅ΡΡ Π΄ΠΎ -35 β¦C. ΠΡΠΏΠΎΠ»ΡΠ·ΡΠ΅ΡΡΡ ΠΏΡΠΈ ΠΌΠΎΡΠΎΠ·Π°Ρ Π½ΠΈΠΆΠ΅ -20 β¦Π‘.
- ΠΡΠΊΡΠΈΡΠ΅ΡΠΊΠΎΠ΅ β Π·Π°ΡΡΡΠ²Π°Π΅Ρ Π½Π΅ Π²ΡΡΠ΅ -50 β¦C. ΡΠ΅ΠΊΠΎΠΌΠ΅Π½Π΄ΠΎΠ²Π°Π½ΠΎ ΠΊ ΠΈΡΠΏΠΎΠ»ΡΠ·ΠΎΠ²Π°Π½ΠΈΡ ΠΏΡΠΈ ΠΌΠΎΡΠΎΠ·Π°Ρ Π½ΠΈΠΆΠ΅ -45 β¦Π‘.
ΠΠ΅Ρ ΠΎΠ΄Π½ΠΎΠ³ΠΎ ΠΊΡΠ±ΠΎΠΌΠ΅ΡΡΠ° Π»Π΅ΡΠ½Π΅Π³ΠΎ Π΄ΠΈΠ·Π΅Π»ΡΠ½ΠΎΠ³ΠΎ Π³ΠΎΡΡΡΠ΅Π³ΠΎ Π΄ΠΎΠ»ΠΆΠ΅Π½ Π±ΡΡΡ Π½Π΅ Π±ΠΎΠ»Π΅Π΅ 860 ΠΊΠ³. ΠΠ΅Ρ ΠΊΡΠ±ΠΎΠΌΠ΅ΡΡΠ° Π·ΠΈΠΌΠ½Π΅ΠΉ ΡΠΎΠ»ΡΡΠΊΠΈ Π΄ΠΎΠ»ΠΆΠ΅Π½ Π±ΡΡΡ Π½Π΅ Π±ΠΎΠ»Π΅Π΅ 840 ΠΊΠ³. ΠΠ΅Ρ ΠΊΡΠ±Π° Π°ΡΠΊΡΠΈΡΠ΅ΡΠΊΠΎΠ³ΠΎ Π΄ΠΈΠ·Π΅Π»ΡΠ½ΠΎΠ³ΠΎ ΡΠΎΠΏΠ»ΠΈΠ²Π° Π½Π΅ Π΄ΠΎΠ»ΠΆΠ΅Π½ ΠΏΡΠ΅Π²ΡΡΠ°ΡΡ 830 ΠΊΠ³. ΠΠ·ΠΌΠ΅ΡΡΡΡ Π²Π΅Ρ ΡΠΎΠ»ΡΡΠΊΠΈ ΠΠΠ‘Π’ ΠΏΡΠ΅Π΄ΠΏΠΈΡΡΠ²Π°Π΅Ρ ΠΏΡΠΈ 20 Π³ΡΠ°Π΄ΡΡΠ°Ρ ΠΏΠΎ Π¦Π΅Π»ΡΡΠΈΡ.
ΠΠ·ΠΌΠ΅ΡΠ΅Π½ΠΈΠ΅ ΡΠ΄Π΅Π»ΡΠ½ΠΎΠ³ΠΎ Π²Π΅ΡΠ°
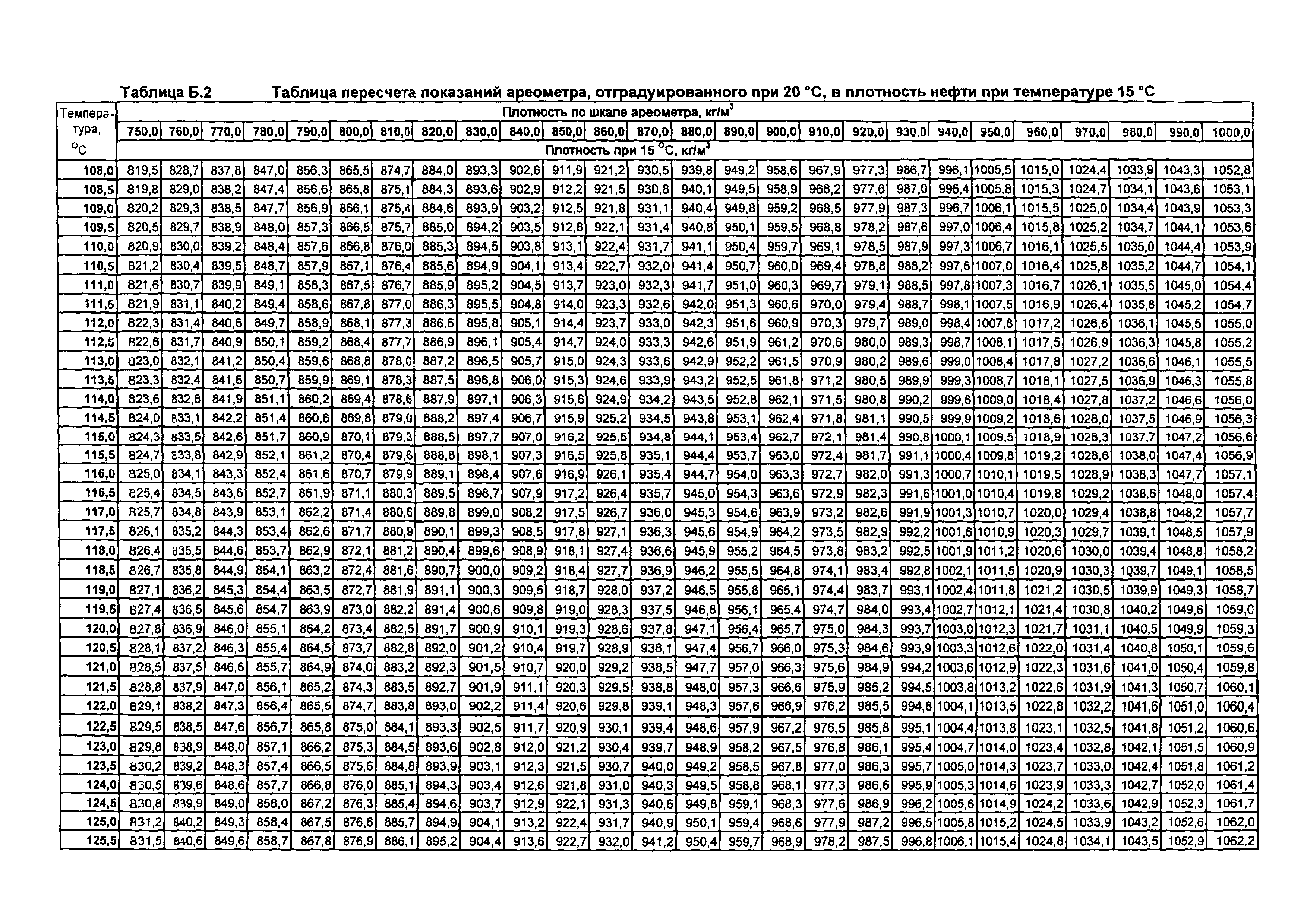
ΠΠ»ΠΎΡΠ½ΠΎΡΡΡ ΡΠΎΠΏΠ»ΠΈΠ²Π° ΠΈΠ·ΠΌΠ΅ΡΡΠ΅ΡΡΡ ΠΏΡΠΈ ΠΏΠΎΠΌΠΎΡΠΈ Π°ΡΠ΅ΠΎΠΌΠ΅ΡΡΠΎΠ². ΠΠ»ΠΎΡΠ½ΠΎΡΡΡ Π΄ΠΈΠ·ΡΠΎΠΏΠ»ΠΈΠ²Π° ΠΈΠ·ΠΌΠ΅ΡΡΠ΅ΡΡΡ Π°ΡΠ΅ΠΎΠΌΠ΅ΡΡΠ°ΠΌΠΈ Π΄Π»Ρ Π½Π΅ΡΡΠ΅ΠΏΡΠΎΠ΄ΡΠΊΡΠΎΠ², Π½Π°Π·Π²Π°Π½ΠΈΡ ΠΊΠΎΡΠΎΡΡΡ
Π½Π°ΡΠΈΠ½Π°ΡΡΡΡ Ρ Π±ΡΠΊΠ² ΠΠ, ΠΊ ΠΏΡΠΈΠΌΠ΅ΡΡ, ΡΠ°ΠΊΠΈΡ
ΠΊΠ°ΠΊ ΠΠΠ’-1 ΠΈΠ»ΠΈ ΠΠΠ’-2. Π§Π΅ΠΌ Π±ΠΎΠ»ΡΡΠΈΠΉ ΠΏΡΠΎΡΠ΅Π½Ρ Π΄ΠΈΠ·ΡΠΎΠΏΠ»ΠΈΠ²Π° ΠΏΡΠΈΡ
ΠΎΠ΄ΠΈΡΡΡ Π½Π° ΡΠ³Π»Π΅Π²ΠΎΠ΄ΠΎΡΠΎΠ΄Ρ, ΠΈΠΌΠ΅ΡΡΠΈΠ΅ Π²ΡΡΠΎΠΊΠΈΠΉ ΡΠ΄Π΅Π»ΡΠ½ΡΠΉ Π²Π΅Ρ, ΡΠ΅ΠΌ Π±ΠΎΠ»ΡΡΠ΅ ΠΏΠ»ΠΎΡΠ½ΠΎΡΡΡ ΡΡΠΎΠΉ ΡΠΎΠ»ΡΡΠΊΠΈ. Π‘ ΠΎΠ΄Π½ΠΎΠΉ ΡΡΠΎΡΠΎΠ½Ρ, ΠΏΡΠΈ ΡΠ³ΠΎΡΠ°Π½ΠΈΠΈ ΡΠ°ΠΊΠΎΠ³ΠΎ Π΄ΠΈΠ·ΡΠΎΠΏΠ»ΠΈΠ²Π° Π²ΡΠ΄Π΅Π»ΡΠ΅ΡΡΡ Π±ΠΎΠ»ΡΡΠ΅ ΡΠ½Π΅ΡΠ³ΠΈΠΈ, Ρ Π΄ΡΡΠ³ΠΎΠΉ, ΠΎΠ½ΠΎ Ρ
ΡΠΆΠ΅ ΠΈΡΠΏΠ°ΡΡΠ΅ΡΡΡ, ΡΡΠΆΠ΅Π»Π΅Π΅ ΠΏΠΎΠ΄ΠΆΠΈΠ³Π°Π΅ΡΡΡ ΠΈ Π½Π΅ ΡΠ³ΠΎΡΠ°Π΅Ρ Π² ΡΠΈΠ»ΠΈΠ½Π΄ΡΠ°Ρ
Π±Π΅Π· ΠΎΡΡΠ°ΡΠΊΠ°.
Π’Π°ΠΊ ΠΊΠ°ΠΊ Π»Π΅ΡΠΎΠΌ ΠΈΡΠΏΠ°ΡΠ΅Π½ΠΈΠ΅ ΠΈ Π²ΠΎΡΠΏΠ»Π°ΠΌΠ΅Π½Π΅Π½ΠΈΠ΅ ΠΏΡΠΎΠΈΡΡ
ΠΎΠ΄ΠΈΡ ΠΏΡΠΎΡΠ΅ Ρ Π»Π΅ΡΠ½Π΅ΠΉ ΡΠΎΠ»ΡΡΠΊΠΈ, ΡΠ΄Π΅Π»ΡΠ½ΡΠΉ Π²Π΅Ρ Π²ΡΡΠ΅, ΡΠ΅ΠΌ Ρ Π·ΠΈΠΌΠ½Π΅Π³ΠΎ Π΄ΠΈΠ·Π΅Π»ΡΠ½ΠΎΠ³ΠΎ ΡΠΎΠΏΠ»ΠΈΠ²Π°.
ΠΠΎΡΠΊΠΎΠ»ΡΠΊΡ ΠΠΠ‘Π’ ΠΏΡΠ΅Π΄ΠΏΠΈΡΡΠ²Π°Π΅Ρ ΠΈΠ·ΠΌΠ΅ΡΡΡΡ ΠΏΠ»ΠΎΡΠ½ΠΎΡΡΡ ΠΠ’ ΠΏΡΠΈ ΡΠ΅ΠΌΠΏΠ΅ΡΠ°ΡΡΡΠ΅ 20Β β¦C, Π΄Π»Ρ ΠΏΡΠ°Π²ΠΈΠ»ΡΠ½ΠΎΠ³ΠΎ ΠΎΠΏΡΠ΅Π΄Π΅Π»Π΅Π½ΠΈΡ ΠΏΠ»ΠΎΡΠ½ΠΎΡΡΠΈ Π½ΡΠΆΠ½ΠΎ ΠΏΡΠΈΠ½Π΅ΡΡΠΈ Π΅ΠΌΠΊΠΎΡΡΡ Ρ ΡΠΎΠ»ΡΡΠΊΠΎΠΉ Π΄ΠΎΠΌΠΎΠΉ ΠΈ Π΄ΠΎΠΆΠ΄Π°ΡΡΡΡ, ΡΡΠΎΠ±Ρ Π·ΠΈΠΌΠΎΠΉ ΠΎΠ½Π° ΠΏΡΠΎΠ³ΡΠ΅Π»Π°ΡΡ, Π° Π»Π΅ΡΠΎΠΌ ΠΎΡΡΡΠ»Π° Π΄ΠΎ +20 β¦C. ΠΡΠ»ΠΈ ΠΆΠ΅ Π²Π°ΠΌ Π½Π΅ΠΊΠΎΠ³Π΄Π° ΠΆΠ΄Π°ΡΡ, ΠΌΠΎΠΆΠ½ΠΎ ΠΈΠ·ΠΌΠ΅ΡΠΈΡΡ ΠΈΠ½ΡΠ΅ΡΠ΅ΡΡΡΡΠΈΠΉ Π²Π°Ρ ΠΏΠ°ΡΠ°ΠΌΠ΅ΡΡ ΠΈ ΡΠ΅ΠΌΠΏΠ΅ΡΠ°ΡΡΡΡ ΠΠ’, Π° ΠΏΠΎΡΠ»Π΅ ΠΏΠ΅ΡΠ΅ΡΡΠΈΡΠ°ΡΡ ΠΊΠ°ΠΊΠΎΠ² Π±ΡΠ΄Π΅Ρ ΡΠ΅Π·ΡΠ»ΡΡΠ°Ρ ΠΏΡΠΈ 20Β β¦Π‘. ΠΠ»Ρ ΡΡΠΎΠ³ΠΎ Π½ΡΠΆΠ½ΠΎ Π·Π½Π°ΡΡ, ΡΡΠΎ ΡΠΌΠ΅Π½ΡΡΠ΅Π½ΠΈΠ΅ ΡΠ΅ΠΌΠΏΠ΅ΡΠ°ΡΡΡΡ ΡΠΎΠ»ΡΡΠΊΠΈ Π½Π° 1Β β¦C ΡΠ²Π΅Π»ΠΈΡΠΈΠ²Π°Π΅Ρ Π΅Π΅ ΡΠ΄Π΅Π»ΡΠ½ΡΠΉ Π²Π΅Ρ Π² ΡΡΠ΅Π΄Π½Π΅ΠΌ Π½Π° 0,0007 Π³/ΡΠΌ3. Π ΡΠ²Π΅Π»ΠΈΡΠ΅Π½ΠΈΠ΅ ΡΠ΅ΠΌΠΏΠ΅ΡΠ°ΡΡΡΡ ΡΠΎΠΎΡΠ²Π΅ΡΡΡΠ²Π΅Π½Π½ΠΎ ΡΠΌΠ΅Π½ΡΡΠ°Π΅Ρ ΠΏΠ»ΠΎΡΠ½ΠΎΡΡΡ Π½Π° ΡΡΠΆΠ΅ Π²Π΅Π»ΠΈΡΠΈΠ½Ρ.
ΠΡΡΠΈΡΠ»Π΅Π½ΠΈΠ΅ ΡΠ΄Π΅Π»ΡΠ½ΠΎΠ³ΠΎ Π²Π΅ΡΠ° Π΄Π»Ρ 20
β¦C- ΠΠ·ΠΌΠ΅ΡΠΈΡΡ ΠΏΠ»ΠΎΡΠ½ΠΎΡΡΡ ΠΈ ΡΡΠ΅Π΄Π½ΡΡ ΡΠ΅ΠΌΠΏΠ΅ΡΠ°ΡΡΡΡ ΡΠΎΠ»ΡΡΠΊΠΈ.
- ΠΡΡΠΈΡΠ»ΠΈΡΡ ΡΠ°Π·Π½ΠΎΡΡΡ ΡΠ°ΠΊΡΠΈΡΠ΅ΡΠΊΠΎΠΉ ΡΠ΅ΠΌΠΏΠ΅ΡΠ°ΡΡΡΡ ΠΈ 20 β¦Π‘.
- Π£ΠΌΠ½ΠΎΠΆΠΈΡΡ ΡΠ°Π·Π½ΠΎΡΡΡ ΡΠ΅ΠΌΠΏΠ΅ΡΠ°ΡΡΡ Π½Π° ΠΏΠΎΠΏΡΠ°Π²ΠΎΡΠ½ΡΠΉ ΠΊΠΎΡΡΡΠΈΡΠΈΠ΅Π½Ρ.
- ΠΡΠ»ΠΈ ΡΠ°ΠΊΡΠΈΡΠ΅ΡΠΊΠ°Ρ ΡΠ΅ΠΌΠΏΠ΅ΡΠ°ΡΡΡΠ° ΠΌΠ΅Π½ΡΡΠ΅ 20 β¦C, ΡΠΎ ΠΎΡΠ½ΡΡΡ ΠΎΡ Π·Π½Π°ΡΠ΅Π½ΠΈΡ ΠΏΠ»ΠΎΡΠ½ΠΎΡΡΠΈ ΠΏΡΠΈ Π΄Π°Π½Π½ΠΎΠΉ ΡΠ΅ΠΌΠΏΠ΅ΡΠ°ΡΡΡΠ΅ ΡΠ΅Π·ΡΠ»ΡΡΠ°Ρ Π²ΡΡΠΈΡΠ»Π΅Π½ΠΈΡ ΡΡΠ΅ΡΡΠ΅Π³ΠΎ ΠΏΡΠ½ΠΊΡΠ°.
ΠΡΠ»ΠΈ ΠΆΠ΅ ΠΆΠΈΠ΄ΠΊΠΎΡΡΡ ΡΠ΅ΠΏΠ»Π΅Π΅ +20 β¦C, ΡΠΎ ΡΡΠΈ Π·Π½Π°ΡΠ΅Π½ΠΈΡ Π½ΡΠΆΠ½ΠΎ ΡΠ»ΠΎΠΆΠΈΡΡ.
ΠΠ°ΠΏΡΠΈΠΌΠ΅Ρ, ΠΏΠ»ΠΎΡΠ½ΠΎΡΡΡ Π³ΠΎΡΡΡΠ΅Π³ΠΎ ΠΏΡΠΈ ΡΠ΅ΠΌΠΏΠ΅ΡΠ°ΡΡΡΠ΅ 0 β¦C ΡΠ°Π²Π½Π° 0,997 Π³/ΡΠΌ3. Π Π°Π·Π½ΠΈΡΠ° ΠΌΠ΅ΠΆΠ΄Ρ ΡΠ°ΠΊΡΠΈΡΠ΅ΡΠΊΠΎΠΉ ΡΠ΅ΠΌΠΏΠ΅ΡΠ°ΡΡΡΠΎΠΉ ΠΈ 20 β¦C ΡΠ°Π²Π½Π° 20. Π’ΠΎΠ³Π΄Π° 20 Γ 0,0007 = 0,014 Π³/ΡΠΌ. Π’Π°ΠΊ ΠΊΠ°ΠΊ ΠΏΡΠΈ 20 β¦C ΠΏΠ»ΠΎΡΠ½ΠΎΡΡΡ Π³ΠΎΡΡΡΠ΅Π³ΠΎ Π±ΡΠ΄Π΅Ρ ΠΌΠ΅Π½ΡΡΠ΅, ΡΠ΅ΠΌ ΠΏΡΠΈ 0 β¦C, Π½ΡΠΆΠ½ΠΎ ΠΎΡ ΠΏΠ»ΠΎΡΠ½ΠΎΡΡΠΈ ΠΏΡΠΈ 0 β¦C ΠΎΡΠ½ΡΡΡ Π²Π΅Π»ΠΈΡΠΈΠ½Ρ ΠΏΠΎΠΏΡΠ°Π²ΠΊΠΈ β 0,997-0,14=0,857 Π³/ΡΠΌ3. Π§ΡΠΎΠ±Ρ ΠΏΠ΅ΡΠ΅Π²Π΅ΡΡΠΈ ΡΠ΅Π·ΡΠ»ΡΡΠ°Ρ ΠΈΠ· Π³ΡΠ°ΠΌΠΌ Π½Π° ΠΊΡΠ±ΠΈΡΠ΅ΡΠΊΠΈΠΉ ΡΠ°Π½ΡΠΈΠΌΠ΅ΡΡ Π² ΠΊΠΈΠ»ΠΎΠ³ΡΠ°ΠΌΠΌ Π½Π° ΠΊΡΠ±ΠΎΠΌΠ΅ΡΡ, Π½ΡΠΆΠ½ΠΎ Π²Π΅Π»ΠΈΡΠΈΠ½Ρ, Π²ΡΡΠ°ΠΆΠ΅Π½Π½ΡΡ Π² Π³ΡΠ°ΠΌΠΌΠ°Ρ
Π½Π° ΠΊΡΠ±ΠΈΡΠ΅ΡΠΊΠΈΠΉ ΡΠ°Π½ΡΠΈΠΌΠ΅ΡΡ, ΡΠΌΠ½ΠΎΠΆΠΈΡΡ Π½Π° 1000. Π’ΠΎ Π΅ΡΡΡ ΡΠ΄Π΅Π»ΡΠ½ΡΠΉ Π²Π΅Ρ Π½Π°ΡΠ΅ΠΉ ΡΠΎΠ»ΡΡΠΊΠΈ ΠΏΡΠΈ 20 β¦C Π±ΡΠ΄Π΅Ρ ΡΠ°Π²Π΅Π½ 857 ΠΊΠ³/ΠΌ3. ΠΡΠΎ ΠΏΠΎΠ·Π²ΠΎΠ»ΡΠ΅Ρ Π½Π°ΠΌ ΡΠ΄Π΅Π»Π°ΡΡ ΠΏΡΠ΅Π΄ΠΏΠΎΠ»ΠΎΠΆΠ΅Π½ΠΈΠ΅ ΠΎ ΡΠΎΠΌ, ΡΡΠΎ ΠΎΠ½Π°, ΡΡΠ΄Ρ ΠΏΠΎ ΡΠ΅Π·ΡΠ»ΡΡΠ°ΡΠ°ΠΌ Π²ΡΡΠΈΡΠ»Π΅Π½ΠΈΡ, ΡΠΊΠΎΡΠ΅Π΅ Π»Π΅ΡΠ½ΡΡ, ΡΠ΅ΠΌ Π·ΠΈΠΌΠ½ΡΡ. Π’ΠΎΡΠ½ΠΎΠ΅ ΠΆΠ΅ Π·Π°ΠΊΠ»ΡΡΠ΅Π½ΠΈΠ΅ ΠΎ ΡΠΎΠΌ, Π΄Π»Ρ ΠΊΠ°ΠΊΠΎΠ³ΠΎ ΡΠ΅Π·ΠΎΠ½Π° ΠΏΡΠ΅Π΄Π½Π°Π·Π½Π°ΡΠ΅Π½ΠΎ Π³ΠΎΡΡΡΠ΅Π΅, ΡΠ΄Π΅Π»Π°ΡΡ Π½Π° ΠΎΡΠ½ΠΎΠ²Π°Π½ΠΈΠΈ Π²Π΅Π»ΠΈΡΠΈΠ½Ρ Π΅Π³ΠΎ ΠΏΠ»ΠΎΡΠ½ΠΎΡΡΠΈ Π½Π΅Π²ΠΎΠ·ΠΌΠΎΠΆΠ½ΠΎ.
Π‘Π²ΡΠ·Ρ ΠΏΠ»ΠΎΡΠ½ΠΎΡΡΠΈ Π³ΠΎΡΡΡΠ΅Π³ΠΎ ΠΈ ΡΠΊΠΎΠ½ΠΎΠΌΠΈΡΠ½ΠΎΡΡΠΈ Π΄ΠΈΠ·Π΅Π»Ρ
Π’Π°ΠΊ ΠΊΠ°ΠΊ ΡΠ³ΠΎΡΠ°Π½ΠΈΠ΅ ΡΠΎΠ»ΡΡΠΊΠΈ, ΠΈΠΌΠ΅ΡΡΠ΅ΠΉ Π²ΡΡΠΎΠΊΠΈΠΉ ΡΠ΄Π΅Π»ΡΠ½ΡΠΉ Π²Π΅Ρ, ΡΠΎΠΏΡΠΎΠ²ΠΎΠΆΠ΄Π°Π΅ΡΡΡ Π²ΡΠ΄Π΅Π»Π΅Π½ΠΈΠ΅ΠΌ Π±ΠΎΠ»ΡΡΠ΅Π³ΠΎ ΠΊΠΎΠ»ΠΈΡΠ΅ΡΡΠ²Π° ΡΠ½Π΅ΡΠ³ΠΈΠΈ, ΡΠ΅ΠΌ ΡΠ³ΠΎΡΠ°Π½ΠΈΠ΅ ΠΌΠ΅Π½Π΅Π΅ ΠΏΠ»ΠΎΡΠ½ΠΎΠ³ΠΎ Π³ΠΎΡΡΡΠ΅Π³ΠΎ, ΠΎΡΠ΅Π²ΠΈΠ΄Π½ΠΎ, ΡΡΠΎ ΠΈΡΠΏΠΎΠ»ΡΠ·ΠΎΠ²Π°Π½ΠΈΠ΅ Π»Π΅ΡΠ½Π΅Π³ΠΎ ΡΠΎΠΏΠ»ΠΈΠ²Π° ΡΠΊΠΎΠ½ΠΎΠΌΠΈΡΠ½Π΅Π΅.
ΠΠ΄Π½Π°ΠΊΠΎ Π΅Π³ΠΎ ΠΈΡΠΏΠΎΠ»ΡΠ·ΠΎΠ²Π°Π½ΠΈΠ΅ Π΄Π»Ρ ΠΏΠΎΠ²ΡΡΠ΅Π½ΠΈΡ ΡΠΊΠΎΠ½ΠΎΠΌΠΈΡΠ½ΠΎΡΡΠΈ Π΄ΠΈΠ·Π΅Π»Ρ Π² Ρ
ΠΎΠ»ΠΎΠ΄Π½ΠΎΠ΅ Π²ΡΠ΅ΠΌΡ Π³ΠΎΠ΄Π° Π½Π΅ ΠΏΡΠ΅Π΄ΡΡΠ°Π²Π»ΡΠ΅ΡΡΡ Π²ΠΎΠ·ΠΌΠΎΠΆΠ½ΡΠΌ. ΠΡΠΎ ΠΎΠ±ΡΡΡΠ½ΡΠ΅ΡΡΡ ΡΠ΅ΠΌ, ΡΡΠΎ Π² Π΅Π³ΠΎ ΡΠΎΡΡΠ°Π² ΠΏΠΎΠΌΠΈΠΌΠΎ ΠΊΠ΅ΡΠΎΡΠΈΠ½ΠΎΠ²ΠΎ-Π³Π°Π·ΠΎΠΉΠ»ΠΈΠ²ΡΡ
ΡΠ³Π»Π΅Π²ΠΎΠ΄ΠΎΡΠΎΠ΄ΠΎΠ², ΡΠΎΠ΄Π΅ΡΠΆΠ°ΡΠΈΡ
ΠΎΡΠ½ΠΎΠ²Π½ΠΎΠΉ Π·Π°ΠΏΠ°Ρ ΡΠ½Π΅ΡΠ³ΠΈΠΈ ΡΠΎΠΏΠ»ΠΈΠ²Π°, Π²Ρ
ΠΎΠ΄ΡΡ ΠΈ ΡΠ°ΡΡΠ²ΠΎΡΠ΅Π½Π½ΡΠ΅ Π² Π½ΠΈΡ
ΠΏΠ°ΡΠ°ΡΠΈΠ½Ρ. ΠΠΎΡΠ»Π΅Π΄Π½ΠΈΠ΅ Π΄Π°ΠΆΠ΅ ΠΏΡΠΈ Π½Π΅Π·Π½Π°ΡΠΈΡΠ΅Π»ΡΠ½ΠΎΠΌ ΠΏΠΎΠ½ΠΈΠΆΠ΅Π½ΠΈΠΈ ΡΠ΅ΠΌΠΏΠ΅ΡΠ°ΡΡΡΡ Π³ΠΎΡΡΡΠ΅Π³ΠΎ, Π·Π°ΡΠ²Π΅ΡΠ΄Π΅Π²Π°ΡΡ, ΡΠ³ΡΡΠ°Ρ Π³ΠΎΡΡΡΠ΅Π΅ ΠΈ ΡΡ
ΡΠ΄ΡΠ°Ρ ΠΏΡΠΎΡ
ΠΎΠ΄ΠΈΠΌΠΎΡΡΡ ΡΠΈΠ»ΡΡΡΠ° ΡΠΎΠ½ΠΊΠΎΠΉ ΠΎΡΠΈΡΡΠΊΠΈ ΡΠΎΠΏΠ»ΠΈΠ²Π°. Π ΡΠ΅Π·ΡΠ»ΡΡΠ°ΡΠ΅ ΡΡΠΎΠ³ΠΎ ΡΡ
ΡΠ΄ΡΠ°Π΅ΡΡΡ ΡΠΏΠΎΡΠΎΠ±Π½ΠΎΡΡΡ ΡΠΎΠΏΠ»ΠΈΠ²Π° ΠΏΡΠΎΠΊΠ°ΡΠΈΠ²Π°ΡΡΡΡ ΠΏΠΎ ΡΠΈΡΡΠ΅ΠΌΠ΅ ΠΏΠΈΡΠ°Π½ΠΈΡ ΠΈ ΡΠ°ΡΠΏΡΠ»ΡΡΡΡΡ Π² ΡΠΈΠ»ΠΈΠ½Π΄ΡΠ°Ρ
Π΄Π²ΠΈΠ³Π°ΡΠ΅Π»Ρ. ΠΠΎΡΡΠΎΠΌΡ Π² ΡΠΎΡΡΠ°Π² Π·ΠΈΠΌΠ½ΠΈΡ
Π²ΠΈΠ΄ΠΎΠ² Π΄ΠΈΠ·Π΅Π»ΡΠ½ΠΎΠ³ΠΎ ΡΠΎΠΏΠ»ΠΈΠ²Π° Π²Π²ΠΎΠ΄ΡΡ ΠΏΡΠΈΡΠ°Π΄ΠΊΠΈ, Π·Π°ΠΌΠ΅Π΄Π»ΡΡΡΠΈΠ΅ Π·Π°ΡΡΡΠ²Π°Π½ΠΈΠ΅ ΠΏΠ°ΡΠ°ΡΠΈΠ½ΠΎΠ² ΠΈ ΡΠ³ΡΡΠ΅Π½ΠΈΠ΅ ΡΠΎΠ»ΡΡΠΊΠΈ Π΄ΠΎ ΡΠΎΡΡΠΎΡΠ½ΠΈΡ Π³Π΅Π»Ρ.
ΠΡΠΈ Π΄ΠΎΠ±Π°Π²ΠΊΠΈ, ΡΠ½ΠΈΠΆΠ°Ρ ΡΠ΅ΠΌΠΏΠ΅ΡΠ°ΡΡΡΡ ΡΠ³ΡΡΠ΅Π½ΠΈΡ Π³ΠΎΡΡΡΠ΅Π³ΠΎ, ΡΠΎΠ²Π΅ΡΡΠ΅Π½Π½ΠΎ Π½Π΅ ΠΎΠΊΠ°Π·ΡΠ²Π°ΡΡ Π²Π»ΠΈΡΠ½ΠΈΡ Π½Π° Π΅Π³ΠΎ ΠΏΠ»ΠΎΡΠ½ΠΎΡΡΡ. ΠΠΎΠ³ΠΈΡΠ½ΠΎ ΠΏΡΠ΅Π΄ΠΏΠΎΠ»ΠΎΠΆΠΈΡΡ, ΡΡΠΎ Π΅ΡΠ»ΠΈ Π΄ΠΎΠ±Π°Π²ΠΈΡΡ ΠΏΡΠΈΡΠ°Π΄ΠΊΡ-Π°Π½ΡΠΈΠ³Π΅Π»Ρ Π² Π»Π΅ΡΠ½ΡΡ ΡΠΎΠ»ΡΡΠΊΡ, ΡΠΎ Π² ΡΠ΅Π·ΡΠ»ΡΡΠ°ΡΠ΅ ΠΏΠΎΠ»ΡΡΠΈΡΡΡ ΡΠΊΠΎΠ½ΠΎΠΌΠΈΡΠ½ΠΎΠ΅ Π·ΠΈΠΌΠ½Π΅Π΅ ΡΠΎΠΏΠ»ΠΈΠ²ΠΎ. ΠΠΎ ΡΡΠΎ Π΄Π°Π»Π΅ΠΊΠΎ Π½Π΅ ΡΠ°ΠΊ. ΠΠΎΡΠΎΠΌΡ ΡΡΠΎ Π΄ΠΎΠ±Π°Π²ΠΊΠ° ΡΠΎΠ»ΡΠΊΠΎ ΡΠ½ΠΈΠ·ΠΈΡ ΡΠ΅ΠΌΠΏΠ΅ΡΠ°ΡΡΡΡ Π·Π°ΠΌΠ΅ΡΠ·Π°Π½ΠΈΡ ΠΏΠ°ΡΠ°ΡΠΈΠ½ΠΎΠ², ΡΠ°ΡΡΠ²ΠΎΡΠ΅Π½Π½ΡΡ
Π² ΡΠΎΠΏΠ»ΠΈΠ²Π΅.
Π‘Π°ΠΌΠ° ΠΆΠ΅ ΡΠΎΠ»ΡΡΠΊΠ° Π½Π΅ ΡΡΠ°Π½Π΅Ρ ΠΌΠ΅Π½Π΅Π΅ ΠΏΠ»ΠΎΡΠ½ΠΎΠΉ, Π° Π·Π½Π°ΡΠΈΡ Ρ ΠΏΠΎΠ½ΠΈΠΆΠ΅Π½ΠΈΠ΅ΠΌ ΡΠ΅ΠΌΠΏΠ΅ΡΠ°ΡΡΡΡ, Π±ΡΠ΄Π΅Ρ Π·Π½Π°ΡΠΈΡΠ΅Π»ΡΠ½ΠΎ Π³ΡΡΡΠ΅ΡΡ, ΡΡΠΎ Π·Π°ΡΡΡΠ΄Π½ΠΈΡ Π΅Π΅ ΡΠ°ΡΠΏΡΠ»Π΅Π½ΠΈΠ΅ Π² ΠΊΠ°ΠΌΠ΅ΡΠ°Ρ ΡΠ³ΠΎΡΠ°Π½ΠΈΡ ΠΈ ΠΏΡΠΎΠ΄Π²ΠΈΠΆΠ΅Π½ΠΈΠ΅ ΠΏΠΎ ΡΠΎΠΏΠ»ΠΈΠ²ΠΎΠΏΡΠΎΠ²ΠΎΠ΄Ρ. Π ΡΠΎΠΌΡ ΠΆΠ΅, ΠΎΡΠΈΠ±ΠΎΡΠ½ΠΎ ΠΏΠΎΠ»Π°Π³Π°ΡΡ, ΡΡΠΎ Π·Π°Π»ΠΈΠ² ΠΏΡΠΈΡΠ°Π΄ΠΊΡ Π² Π·Π°ΠΌΠ΅ΡΠ·ΡΡΡ ΡΠΎΠ»ΡΡΠΊΡ, ΠΌΡ Π΄ΠΎΠ±ΡΠ΅ΠΌΡΡ ΡΠΎΠ³ΠΎ, ΡΡΠΎ ΠΏΠ°ΡΠ°ΡΠΈΠ½Ρ Π² Π½Π΅ΠΉ ΡΠ°ΡΡΠ°ΡΡ, ΠΈ ΠΎΠ½Π° Π²Π½ΠΎΠ²Ρ ΠΎΠ±ΡΠ΅ΡΠ΅Ρ ΡΠ΅ΠΊΡΡΠ΅ΡΡΡ.
ΠΠΎΠ΄Π²ΠΎΠ΄Ρ ΠΈΡΠΎΠ³ Π²ΡΡΠ΅ΡΠΊΠ°Π·Π°Π½Π½ΠΎΠΌΡ, Π½ΡΠΆΠ½ΠΎ ΠΎΡΠΌΠ΅ΡΠΈΡΡ, ΡΡΠΎ ΠΏΠ»ΠΎΡΠ½ΠΎΡΡΡ ΠΎΡΠ΅Π½Ρ Π²Π°ΠΆΠ½Π° Π΄Π»Ρ Π·ΠΈΠΌΠ½Π΅Π³ΠΎ ΡΠΎΠΏΠ»ΠΈΠ²Π°. ΠΠ»Ρ Π»Π΅ΡΠ½Π΅Π³ΠΎ ΠΆΠ΅ Π²Π°ΠΆΠ½Π΅Π΅ ΡΠ°ΠΊΠΈΠ΅ ΠΏΠ°ΡΠ°ΠΌΠ΅ΡΡΡ, ΠΊΠ°ΠΊ ΡΠΎΠ΄Π΅ΡΠΆΠ°Π½ΠΈΠ΅ ΡΠ΅ΡΡ ΠΈ ΡΠ΅ΡΠ°Π½ΠΎΠ²ΠΎΠ΅ ΡΠΈΡΠ»ΠΎ. Π ΡΠΎΠΌ, ΡΡΠΎ Π΄ΠΈΠ·Π΅Π»Ρ Π·ΠΈΠΌΠΎΠΉ ΠΌΠ΅Π½Π΅Π΅ ΡΠΊΠΎΠ½ΠΎΠΌΠΈΡΠ΅Π½, Π½Π΅ΠΆΠ΅Π»ΠΈ Π»Π΅ΡΠΎΠΌ, ΠΊΠΎΠ½Π΅ΡΠ½ΠΎ, Π²ΠΎ ΠΌΠ½ΠΎΠ³ΠΎΠΌ Β«Π·Π°ΡΠ»ΡΠ³Π°Β» ΠΌΠ΅Π½Π΅Π΅ ΠΏΠ»ΠΎΡΠ½ΠΎΠΉ, ΡΠ΅ΠΌ Π»Π΅ΡΠΎΠΌ ΡΠΎΠ»ΡΡΠΊΠΈ, Π½ΠΎ Π½Π΅ ΡΠΎΠ»ΡΠΊΠΎ Π΅Π΅. Π‘Π½Π΅Π³ Π½Π° Π΄ΠΎΡΠΎΠ³Π°Ρ ΡΠΎΠΆΠ΅ Π½Π΅ ΡΠΏΠΎΡΠΎΠ±ΡΡΠ²ΡΠ΅Ρ ΡΠΊΠΎΠ½ΠΎΠΌΠΈΡΠ½ΠΎΡΡΠΈ.
ΠΠ΅ΡΠΎΠ΄ ΡΠΊΡΠΏΡΠ΅ΡΡ-ΠΏΡΠΎΠ²Π΅ΡΠΊΠΈ Π΄ΠΈΠ·Π΅Π»ΡΠ½ΠΎΠ³ΠΎ ΡΠΎΠΏΠ»ΠΈΠ²Π°
ΠΠ»Π°Π΄Π΅Π»ΡΡΡ Π΄ΠΈΠ·Π΅Π»Ρ Π² ΠΏΠΎΠ²ΡΠ΅Π΄Π½Π΅Π²Π½ΠΎΠΉ ΠΆΠΈΠ·Π½ΠΈ ΡΠ΅Π΄ΠΊΠΎ Π±ΡΠ²Π°Π΅Ρ Π½ΡΠΆΠ½ΠΎ ΠΏΡΠΎΠ²Π΅ΡΡΡΡ ΠΊΠ°ΡΠ΅ΡΡΠ²ΠΎ Π³ΠΎΡΡΡΠ΅Π³ΠΎ. Π’Π°ΠΊ ΠΊΠ°ΠΊ ΠΎΠ±ΡΡΠ½ΠΎ ΠΎΠ½ Π·Π°ΠΏΡΠ°Π²Π»ΡΠ΅Ρ ΡΠ²ΠΎΠΉ Π°Π²ΡΠΎΠΌΠΎΠ±ΠΈΠ»Ρ Π½Π° ΠΎΠ΄Π½ΠΈΡ
ΠΈ ΡΠ΅Ρ
ΠΆΠ΅ Π·Π°ΠΏΡΠ°Π²ΠΊΠ°Ρ
, ΠΊΠ°ΡΠ΅ΡΡΠ²ΠΎ Π³ΠΎΡΡΡΠ΅Π³ΠΎ Π½Π° ΠΊΠΎΡΠΎΡΡΡ
ΠΏΡΠΎΠ²Π΅ΡΠ΅Π½Π½ΠΎ Π² ΠΏΡΠΎΡΠ΅ΡΡΠ΅ ΡΠΊΡΠΏΠ»ΡΠ°ΡΠ°ΡΠΈΠΈ Π°Π²ΡΠΎ, ΠΈ ΡΠΊΠΎΡΠ΅Π΅ Π²ΡΠ΅Π³ΠΎ ΡΡΡΡΠ°ΠΈΠ²Π°Π΅Ρ Π°Π²ΡΠΎΠ²Π»Π°Π΄Π΅Π»ΡΡΠ°.
ΠΠ°Ρ
ΠΎΠ΄ΡΡΡ ΠΆΠ΅ Π·ΠΈΠΌΠΎΠΉ Π² Π½Π΅Π·Π½Π°ΠΊΠΎΠΌΠΎΠΌ ΠΌΠ΅ΡΡΠ΅, ΡΠΊΡΠΏΡΠ΅ΡΡ-Π°Π½Π°Π»ΠΈΠ· Π·ΠΈΠΌΠ½Π΅ΠΉ ΡΠΎΠ»ΡΡΠΊΠΈ Π² ΠΌΠΎΡΠΎΠ·Π½ΡΡ ΠΏΠΎΠ³ΠΎΠ΄Ρ ΠΌΠΎΠΆΠ½ΠΎ ΠΏΡΠΎΠ²Π΅ΡΡΠΈ ΠΎΠΏΠΈΡΠ°Π½Π½ΡΠΌ Π½ΠΈΠΆΠ΅ Π½Π΅Ρ
ΠΈΡΡΡΠΌ ΡΠΏΠΎΡΠΎΠ±ΠΎΠΌ.
ΠΡΠΆΠ½ΠΎ ΠΏΠ»Π΅ΡΠ½ΡΡΡ Π½Π΅ΠΌΠ½ΠΎΠ³ΠΎ Π³ΠΎΡΡΡΠ΅Π³ΠΎ Π½Π° ΠΏΡΠΎΠΌΠΎΡΠΎΠΆΠ΅Π½Π½ΡΠΉ ΠΊΡΡΠΎΠΊ ΠΌΠ΅ΡΠ°Π»Π»Π°. Π’ΠΎΠΏΠ»ΠΈΠ²ΠΎ Π½Π΅ Π΄ΠΎΠ»ΠΆΠ½ΠΎ Π±Π΅Π»Π΅ΡΡ, ΠΌΡΡΠ½Π΅ΡΡ ΠΈ ΡΠ΅ΡΡΡΡ ΡΠ΅ΠΊΡΡΠ΅ΡΡΡ. ΠΡΠ»ΠΈ Π³ΠΎΡΡΡΠ΅Π΅ Π½Π° Π³Π»Π°Π·Π°Ρ
Π³ΡΡΡΠ΅Π΅Ρ ΠΈ ΠΏΠ»ΠΎΡ
ΠΎ ΡΡΠ΅ΠΊΠ°Π΅Ρ Ρ ΠΌΠ΅ΡΠ°Π»Π»Π° β Π΅Π³ΠΎ ΠΊΠ°ΡΠ΅ΡΡΠ²ΠΎ Π² ΠΊΠΎΠΌΠΌΠ΅Π½ΡΠ°ΡΠΈΡΡ
Π½Π΅ Π½ΡΠΆΠ΄Π°Π΅ΡΡΡ. Π Π²ΠΎΡ Π΅ΡΠ»ΠΈ Π±Π΅Π»Π΅Π΅Ρ ΠΈ ΠΌΡΡΠ½Π΅Π΅Ρ β Π²Π°ΠΌ ΠΏΠΎΠΌΠΎΠΆΠ΅Ρ Π·Π½Π°Π½ΠΈΠ΅ ΡΠΎΠ³ΠΎ, ΡΡΠΎ ΡΠ΅ΠΌΠΏΠ΅ΡΠ°ΡΡΡΠ° ΠΏΠΎΠΌΡΡΠ½Π΅Π½ΠΈΡ ΡΠΎΠ»ΡΡΠΊΠΈ Π΄ΠΎΠ»ΠΆΠ½Π° Π±ΡΡΡ Π²ΡΠ΅Π³ΠΎ Π½Π° 5β10 Π³ΡΠ°Π΄ΡΡΠΎΠ² Π¦Π΅Π»ΡΡΠΈΡ Π²ΡΡΠ΅ ΡΠ΅ΠΌΠΏΠ΅ΡΠ°ΡΡΡΡ Π΅Π΅ Π·Π°ΠΌΠ΅ΡΠ·Π°Π½ΠΈΡ. Π‘ΠΌΠΎΡΡΠΈΡΠ΅ Π½Π° Π³ΡΠ°Π΄ΡΡΠ½ΠΈΠΊ ΠΈ Π΄Π΅Π»Π°ΠΉΡΠ΅ Π²ΡΠ²ΠΎΠ΄. Π£ΡΡΡΠΎΠΈΡ Π»ΠΈ Π²Π°Ρ, Π΅ΡΠ»ΠΈ Π²Π°ΡΠ° ΡΠΎΠ»ΡΡΠΊΠ° Π·Π°ΠΌΠ΅ΡΠ·Π½Π΅Ρ, ΠΊΠΎΠ³Π΄Π° ΡΡΠ°Π½Π΅Ρ Ρ
ΠΎΠ»ΠΎΠ΄Π½Π΅Π΅, ΡΠ΅ΠΌ ΡΠ΅ΠΉΡΠ°Ρ Π²ΡΠ΅Π³ΠΎ Π½Π° 10 β¦Π‘.
ΠΠ°ΠΊΠ°Ρ ΠΏΠ»ΠΎΡΠ½ΠΎΡΡΡ Π΄ΠΈΠ·Π΅Π»ΡΠ½ΠΎΠ³ΠΎ ΡΠΎΠΏΠ»ΠΈΠ²Π° ΠΊΠ³ ΠΌ3 ΠΏΠΎ ΠΠΠ‘Π’Ρ
Π‘Π΅Π³ΠΎΠ΄Π½Ρ ΠΏΡΠ°ΠΊΡΠΈΡΠ΅ΡΠΊΠΈ ΠΊΠ°ΠΆΠ΄ΡΠΉ Π²ΠΎΠ΄ΠΈΡΠ΅Π»Ρ Π·Π½Π°Π΅Ρ, ΠΊΠ°ΠΊΠ°Ρ ΠΏΠ»ΠΎΡΠ½ΠΎΡΡΡ Π΄ΠΈΠ·Π΅Π»ΡΠ½ΠΎΠ³ΠΎ ΡΠΎΠΏΠ»ΠΈΠ²Π° Π΄ΠΎΠ»ΠΆΠ½Π° Π±ΡΡΡ Π² ΠΈΠ΄Π΅Π°Π»Π΅. ΠΠ»Ρ Π·ΠΈΠΌΠ½Π΅Π³ΠΎ Π²Π°ΡΠΈΠ°Π½ΡΠ° β ΡΡΠΎ 840 ΠΊΠ³/ΠΌ3, Π° Π΄Π»Ρ Π»Π΅ΡΠ½Π΅Π³ΠΎ Π°Π½Π°Π»ΠΎΠ³Π° 860 ΠΊΠ³/ΠΌ3, ΠΏΡΠΈΡΠ΅ΠΌ Π΄Π°Π½Π½ΡΠ΅ ΠΏΠ°ΡΠ°ΠΌΠ΅ΡΡΡ Π±ΡΠ΄ΡΡ ΡΠΎΠΎΡΠ²Π΅ΡΡΡΠ²ΠΎΠ²Π°ΡΡ Π΄Π΅ΠΉΡΡΠ²ΠΈΡΠ΅Π»ΡΠ½ΠΎΡΡΠΈ ΠΏΡΠΈ ΡΠ΅ΠΌΠΏΠ΅ΡΠ°ΡΡΡΠ΅ ΠΎΠΊΡΡΠΆΠ°ΡΡΠ΅ΠΉ ΡΡΠ΅Π΄Ρ Π²ΡΠ΅Π³ΠΎ Π² 20Π‘.
ΠΡΠΈ ΡΠ²Π΅Π»ΠΈΡΠ΅Π½ΠΈΠΈ ΡΠ΅ΠΌΠΏΠ΅ΡΠ°ΡΡΡΡ Β ΠΏΠ»ΠΎΡΠ½ΠΎΡΡΡ Π·Π½Π°ΡΠΈΡΠ΅Π»ΡΠ½ΠΎ ΡΠ½ΠΈΠΆΠ°Π΅ΡΡΡ, ΡΠΎΠ³Π΄Π° ΠΊΠ°ΠΊ ΠΏΡΠΈ ΠΏΠΎΠ½ΠΈΠΆΠ΅Π½ΠΈΠΈ ΡΠ²Π΅Π»ΠΈΡΠΈΠ²Π°Π΅ΡΡΡ.
ΠΠ΄Π΅Ρ ΠΈ Ρ ΠΎΡΠΎΡΠΎ
ΠΠΎΠ»Π³ΠΎΠ΅ Π²ΡΠ΅ΠΌΡ Π²ΠΎΠ΄ΠΈΡΠ΅Π»ΠΈ Π½Π΅ ΠΎΠ±ΡΠ°ΡΠ°Π»ΠΈ Π²Π½ΠΈΠΌΠ°Π½ΠΈΡ Π½Π° ΠΏΠ»ΠΎΡΠ½ΠΎΡΡΡ Π΄ΠΈΠ·ΡΠΎΠΏΠ»ΠΈΠ²Π° Π² ΠΊΠ³/ΠΌ3, Ρ.ΠΊ. Π²ΡΠ΅ ΡΡΠΊΠΎΠ²ΠΎΠ΄ΡΡΠ²ΠΎΠ²Π°Π»ΠΈΡΡ ΠΎΠ΄Π½ΠΈΠΌ ΠΏΡΠ°Π²ΠΈΠ»ΠΎΠΌ β Π΅ΡΠ»ΠΈ Π°Π²ΡΠΎΠΌΠΎΠ±ΠΈΠ»Ρ Π΅Π΄Π΅Ρ, ΡΠΎ ΠΈ ΡΠΎΠΏΠ»ΠΈΠ²ΠΎ Π² Π½Π΅ΠΌ Ρ ΠΎΡΠΎΡΠ΅Π΅. ΠΠ° ΠΏΡΠ°ΠΊΡΠΈΠΊΠ΅ Π²ΡΠ΅ ΡΠΎΠ²Π΅ΡΡΠ΅Π½Π½ΠΎ ΠΈΠ½Π°ΡΠ΅, Π° ΠΎΠ±ΠΎΡΠ½ΠΎΠ²Π°Π½ΠΈΠ΅ ΡΡΠΎΠΌΡ Π΄ΠΎΡΡΠ°ΡΠΎΡΠ½ΠΎ ΠΏΡΠΎΡΡΠΎΠ΅: Π»Π΅ΡΠ½Π΅Π΅ Π΄ΠΈΠ·ΡΠΎΠΏΠ»ΠΈΠ²ΠΎ ΠΏΡΠΈ Π½ΠΈΠ·ΠΊΠΈΡ ΡΠ΅ΠΌΠΏΠ΅ΡΠ°ΡΡΡΠ°Ρ Π½Π°ΡΠΈΠ½Π°Π΅Ρ Π²ΡΠ΄Π΅Π»ΡΡΡ ΠΏΠ°ΡΠ°ΡΠΈΠ½Ρ, Π·Π°Π±ΠΈΠ²Π°ΡΡΠΈΠ΅ Π²ΡΡ ΡΠΎΠΏΠ»ΠΈΠ²Π½ΡΡ ΡΠΈΡΡΠ΅ΠΌΡ.
Π‘Π΅Π³ΠΎΠ΄Π½Ρ Π² Π±ΠΎΠ»ΡΡΠΈΠ½ΡΡΠ²Π΅ ΡΡΡΠ°Π½ ΠΌΠΈΡΠ° ΠΈΡΠΏΠΎΠ»ΡΠ·ΡΠ΅ΡΡΡ ΡΠΎΠΏΠ»ΠΈΠ²ΠΎ ΠΠ²ΡΠΎ-5, ΠΊΠΎΡΠΎΡΠΎΠ΅ Π½Π° ΠΏΡΠ°ΠΊΡΠΈΠΊΠ΅ ΡΠ²Π»ΡΠ΅ΡΡΡ Π°Π½Π°Π»ΠΎΠ³ΠΎΠΌ Π·ΠΈΠΌΠ½Π΅ΠΉ ΡΠΎΠ»ΡΡΠΊΠΈ, ΡΠΎΠ»ΡΠΊΠΎ Ρ ΠΏΡΠ΅ΠΊΡΠ°ΡΠ½ΡΠΌΠΈ ΠΏΠΎΠΊΠ°Π·Π°ΡΠ΅Π»ΡΠΌΠΈ ΡΠΊΠΎΠ»ΠΎΠ³ΠΈΡΠ½ΠΎΡΡΠΈ ΠΈ ΠΎΠ±Π»Π°Π΄Π°ΡΡΠ΅Π΅ Ρ ΠΎΡΠΎΡΠ΅ΠΉ ΡΠΌΠ°Π·ΡΠ²Π°ΡΡΠ΅ΠΉ ΡΠΏΠΎΡΠΎΠ±Π½ΠΎΡΡΡΡ. ΠΠΎΠ½Π΅ΡΠ½ΠΎ, ΡΡΠΎΠΈΠΌΠΎΡΡΡ ΡΠ°ΠΊΠΎΠ³ΠΎ ΡΠΎΠΏΠ»ΠΈΠ²Π° Π½Π΅ΠΌΠ½ΠΎΠ³ΠΎ Π²ΡΡΠ΅ Π»Π΅ΡΠ½Π΅Π³ΠΎ Π²Π°ΡΠΈΠ°Π½ΡΠ°, Π·Π°ΡΠΎ Π°Π²ΡΠΎΠ²Π»Π°Π΄Π΅Π»ΡΡΡ ΡΠ΅ΠΏΠ΅ΡΡ ΠΌΠΎΠ³ΡΡ Π½Π΅ ΠΎΠΏΠ°ΡΠ°ΡΡΡΡ Π»ΡΠ±ΡΡ Π½Π΅ΠΎΠΆΠΈΠ΄Π°Π½Π½ΠΎΡΡΠ΅ΠΉ ΠΈ ΠΏΡΠΈ ΡΡΠΎΠΌ ΠΏΡΠ°ΠΊΡΠΈΡΠ΅ΡΠΊΠΈ Π½Π΅ Π²ΡΠ΅Π΄ΡΡ ΠΎΠΊΡΡΠΆΠ°ΡΡΠ΅ΠΉ ΠΏΡΠΈΡΠΎΠ΄Π΅.
ΠΠ»ΠΎΡΠ½ΠΎΡΡΡ Π»Π΅ΡΠ½Π΅Π³ΠΎ Π΄ΠΈΠ·Π΅Π»ΡΠ½ΠΎΠ³ΠΎ ΡΠΎΠΏΠ»ΠΈΠ²Π°
ΠΠ»ΠΎΡΠ½ΠΎΡΡΡ Π·ΠΈΠΌΠ½Π΅Π³ΠΎ Π΄ΠΈΠ·Π΅Π»ΡΠ½ΠΎΠ³ΠΎ ΡΠΎΠΏΠ»ΠΈΠ²Π°
ΠΠΎΠΊΠ°Π·Π°ΡΠ΅Π»ΠΈ ΠΏΠ»ΠΎΡΠ½ΠΎΡΡΠΈ Π·ΠΈΠΌΠ½Π΅Π³ΠΎ Π΄ΠΈΠ·Π΅Π»ΡΠ½ΠΎΠ³ΠΎ ΡΠΎΠΏΠ»ΠΈΠ²Π°
Β
Π‘Π°ΠΌΠΎΡΡΠΎΡΡΠ΅Π»ΡΠ½ΠΎΠ΅ ΠΈΡΡΠ»Π΅Π΄ΠΎΠ²Π°Π½ΠΈΠ΅
ΠΠΎΠ»ΡΡΠΈΠ½ΡΡΠ²ΠΎ Π»ΡΠ΄Π΅ΠΉ ΡΠΌΠΎΠΆΠ΅Ρ ΡΠ°ΠΌΠΎΡΡΠΎΡΡΠ΅Π»ΡΠ½ΠΎ ΠΏΡΠΎΠ²Π΅ΡΡΠΈ ΡΠΊΡΠΏΠ΅ΡΠΈΠΌΠ΅Π½Ρ, ΡΡΠΎΠ±Ρ ΡΠ·Π½Π°ΡΡ ΠΏΠ»ΠΎΡΠ½ΠΎΡΡΡ ΠΏΡΠΈΠΎΠ±ΡΠ΅ΡΠ°Π΅ΠΌΠΎΠ³ΠΎ ΡΠΎΠΏΠ»ΠΈΠ²Π°.
ΠΠ»Ρ ΡΡΠΎΠ³ΠΎ Π΄ΠΎΡΡΠ°ΡΠΎΡΠ½ΠΎ Π² Π΄ΠΎΠΌΠ°ΡΠ½ΠΈΡ
ΡΡΠ»ΠΎΠ²ΠΈΡΡ
Π½Π°Π±ΡΠ°ΡΡ Π² Π΅ΠΌΠΊΠΎΡΡΡ 1 Π»ΠΈΡΡ ΡΠΎΠΏΠ»ΠΈΠ²Π° ΠΈ Π²Π·Π²Π΅ΡΠΈΡΡ Π½Π° ΡΠΎΡΠ½ΡΡ
Π²Π΅ΡΠ°Ρ
(ΠΆΠ΅Π»Π°ΡΠ΅Π»ΡΠ½ΠΎ ΡΠ»Π΅ΠΊΡΡΠΎΠ½Π½ΡΡ
). Π ΡΠ΅Π·ΡΠ»ΡΡΠ°ΡΠ΅ Π΄ΠΎΠ»ΠΆΠ½ΠΎ ΠΎΠΊΠ°Π·Π°ΡΡΡΡ 840 Π»ΠΈΠ±ΠΎ Π³ΡΠ°ΠΌΠΌ, Π² Π·Π°Π²ΠΈΡΠΈΠΌΠΎΡΡΠΈ ΠΎΡ ΠΌΠ°ΡΠΊΠΈ. ΠΠΎΠΏΡΡΠ½ΠΎ Π½Π΅Π»ΡΠ·Ρ Π·Π°Π±ΡΠ²Π°ΡΡ, ΡΡΠΎ ΠΏΡΠΈ ΠΏΠΎΠ²ΡΡΠ΅Π½ΠΈΠΈ ΡΠ΅ΠΌΠΏΠ΅ΡΠ°ΡΡΡΡ ΠΌΠ°ΡΡΠ° Π±ΡΠ΄Π΅Ρ Π½Π΅Π·Π½Π°ΡΠΈΡΠ΅Π»ΡΠ½ΠΎ ΡΠ½ΠΈΠΆΠ°ΡΡΡΡ, Π° ΠΏΡΠΈ ΠΏΠΎΠ²ΡΡΠ΅Π½ΠΈΠΈ ΡΠ²Π΅Π»ΠΈΡΠΈΠ²Π°ΡΡΡΡ. ΠΠΎ Π½Π΅ ΡΡΠΎΠΈΡ ΠΎΡΠ³Π°Π½ΠΈΠ·ΠΎΠ²ΡΠ²Π°ΡΡ ΡΠΊΡΠΏΠ΅ΡΠΈΠΌΠ΅Π½ΡΡ ΠΏΡΠΈ ΠΎΡΡΠΈΡΠ°ΡΠ΅Π»ΡΠ½ΡΡ
ΡΠ΅ΠΌΠΏΠ΅ΡΠ°ΡΡΡΠ°Ρ
, Ρ.ΠΊ. Π² ΡΡΠΎΠΌ ΡΠ»ΡΡΠ°Π΅ Π΅ΡΡΡ Π±ΠΎΠ»ΡΡΠΎΠΉ ΡΠΈΡΠΊ Π½Π΅ΡΠΎΡΠ½ΠΎΡΡΠΈ ΡΠ΅Π·ΡΠ»ΡΡΠ°ΡΠΎΠ² ΡΠΊΡΠΏΠ΅ΡΠΈΠΌΠ΅Π½ΡΠ°. ΠΠ΅ΡΠ΅Π΄ΠΊΠΎ ΡΠΎΠ·Π΄Π°ΡΡ ΠΈΠ΄Π΅Π°Π»ΡΠ½ΡΠ΅ ΡΡΠ»ΠΎΠ²ΠΈΡ Π½Π΅Π²ΠΎΠ·ΠΌΠΎΠΆΠ½ΠΎ, ΠΏΠΎΡΡΠΎΠΌΡ ΠΌΠΎΠΆΠ½ΠΎ Π²ΠΎΡΠΏΠΎΠ»ΡΠ·ΠΎΠ²Π°ΡΡΡΡ Π²ΡΠΌΠ΅ΡΠ΅Π½Π½ΡΠΌ ΡΠ°Π³ΠΎΠΌ Π² 0,00075 ΠΊΠ³/ΠΌ3 Π½Π° 1 Π³ΡΠ°Π΄ΡΡ (ΠΏΡΠΈ ΠΈΠ·ΠΌΠ΅Π½Π΅Π½ΠΈΠΈ ΡΠ΅ΠΌΠΏΠ΅ΡΠ°ΡΡΡΡ Π½Π° 30 Π³ΡΠ°Π΄ΡΡΠΎΠ² ΠΏΠ»ΠΎΡΠ½ΠΎΡΡΡ ΠΈΠ·ΠΌΠ΅Π½ΠΈΡΡΡ Π½Π° 0,0225 ΠΊΠ³/ΠΌ3).
ΠΡΠ»ΠΈ Π²Ρ Π·Π°ΠΏΡΠ°Π²Π»ΡΠ΅ΡΠ΅ΡΡ Π½Π° Π½ΠΎΠ²ΠΎΠΌ Π½Π΅ΠΈΠ·Π²Π΅ΡΡΠ½ΠΎΠΌ ΡΠ°Π½Π΅Π΅ ΠΌΠ΅ΡΡΠ΅, ΡΠΎ ΠΏΠΎΠ΄ΠΎΠ±Π½ΠΎΠ΅ ΠΈΡΡΠ»Π΅Π΄ΠΎΠ²Π°Π½ΠΈΠ΅ ΡΠ²Π»ΡΠ΅ΡΡΡ ΠΊΡΠΈΡΠΈΡΠ΅ΡΠΊΠΈ Π½Π΅ΠΎΠ±Ρ ΠΎΠ΄ΠΈΠΌΡΠΌ. ΠΠ½ΠΎ ΠΏΠΎΠΌΠΎΠΆΠ΅Ρ ΡΠ·Π½Π°ΡΡ, ΠΊΠ°ΠΊΠΎΠ΅ ΠΈΠΌΠ΅Π½Π½ΠΎ ΡΠΎΠΏΠ»ΠΈΠ²ΠΎ Π²Ρ Π·Π°Π»ΠΈΠ²Π°Π΅ΡΠ΅ Π² ΡΠ²ΠΎΠΉ ΡΡΠ°Π½ΡΠΏΠΎΡΡ, Π½ΠΎ ΠΏΡΠΈ ΡΡΠΎΠΌ ΡΠ·Π½Π°ΡΡ ΠΊΠ°ΡΠ΅ΡΡΠ²ΠΎ Π±ΡΠ΄Π΅Ρ Π΄ΠΎΡΡΠ°ΡΠΎΡΠ½ΠΎ ΡΠ»ΠΎΠΆΠ½ΠΎ β Π΄Π»Ρ ΡΡΠΎΠ³ΠΎ ΡΡΡΠ΅ΡΡΠ²ΡΡΡ ΠΈΠ½ΡΠ΅ ΠΌΠ΅ΡΠΎΠ΄ΠΈΠΊΠΈ.
ΠΡΠ»ΠΈ ΠΏΠ»ΠΎΡΠ½ΠΎΡΡΡ Π΄ΠΈΠ·Π΅Π»ΡΠ½ΠΎΠ³ΠΎ ΡΠΎΠΏΠ»ΠΈΠ²Π° ΡΠΎΠΎΡΠ²Π΅ΡΡΡΠ²ΡΠ΅Ρ Π³ΠΎΡΡ, ΡΠΎ Π΅Π³ΠΎ ΠΌΠΎΠΆΠ½ΠΎ ΠΈΡΠΏΠΎΠ»ΡΠ·ΠΎΠ²Π°ΡΡ Π±Π΅Π· ΠΌΠ°Π»Π΅ΠΉΡΠΈΡ
ΠΎΠΏΠ°ΡΠ΅Π½ΠΈΠΉ.
ΠΠ°ΡΠ° ΡΠ»ΡΠΆΠ±Π° Π΄ΠΎΡΡΠ°Π²ΠΊΠΈ ΠΏΡΠΈΠ²Π΅Π·Π΅Ρ ΠΈ ΠΎΡΠ³ΡΡΠ·ΠΈΡ ΠΆΠ΅Π»Π°Π΅ΠΌΡΡ ΠΏΡΠΎΠ΄ΡΠΊΡΠΈΡ Π² ΠΏΠΎΠ»Π½ΠΎΠΌ ΠΎΠ±ΡΠ΅ΠΌΠ΅ Π² Π»ΡΠ±ΠΎΠ΅ ΡΠ΄ΠΎΠ±Π½ΠΎΠ΅ Π΄Π»Ρ Π²Π°Ρ ΠΌΠ΅ΡΡΠΎ Π² Π‘ΠΠ± ΠΈ ΠΠ΅Π½ΠΈΠ½Π³ΡΠ°Π΄ΡΠΊΠΎΠΉ ΠΎΠ±Π»Π°ΡΡΠΈ.
ΠΠ»ΠΎΡΠ½ΠΎΡΡΡ Π΄ΠΈΠ·ΡΠΎΠΏΠ»ΠΈΠ²Π° Π»Π΅ΡΠΎΠΌ | ΠΠΈΠ·Π΅Π»ΡΠ½ΠΎΠ΅ ΡΠΎΠΏΠ»ΠΈΠ²ΠΎ, ΠΠ’ Π²Π°ΠΆΠ½ΠΎΠ΅ ΡΠ²ΠΎΠΉΡΡΠ²ΠΎ
ΠΡΠ°ΠΊΡΠΈΡΠ΅ΡΠΊΠΈ ΠΊΠ°ΠΆΠ΄ΡΠΉ Π°Π²ΡΠΎΠ²Π»Π°Π΄Π΅Π»Π΅Ρ Π·Π½Π°Π΅Ρ, ΡΡΠΎ ΠΏΠ»ΠΎΡΠ½ΠΎΡΡΡ Π»Π΅ΡΠ½Π΅Π³ΠΎ Π΄ΠΈΠ·Π΅Π»ΡΠ½ΠΎΠ³ΠΎ ΡΠΎΠΏΠ»ΠΈΠ²Π° ΡΠΎΠ²Π½ΡΠ΅ΡΡΡ 860 ΠΊΠ³/ΠΌ3, ΠΏΡΠΈΡΠ΅ΠΌ ΠΎΠ½Π° ΠΌΠΎΠΆΠ΅Ρ Π·Π½Π°ΡΠΈΡΠ΅Π»ΡΠ½ΠΎ ΠΈΠ·ΠΌΠ΅Π½ΡΡΡΡΡ. ΠΡΠ΅Π³Π΄Π° Π²Π°ΠΆΠ½ΠΎ ΠΏΡΠΈΠΎΠ±ΡΠ΅ΡΠ°ΡΡ Π΄Π΅ΠΉΡΡΠ²ΠΈΡΠ΅Π»ΡΠ½ΠΎ ΠΊΠ°ΡΠ΅ΡΡΠ²Π΅Π½Π½ΡΠΉ ΠΏΡΠΎΠ΄ΡΠΊΡ, ΠΊΠΎΡΠΎΡΡΠΉ Π½Π΅ Π±ΡΠ΄Π΅Ρ Π²ΡΠ΅Π΄ΠΈΡΡ ΠΎΠΊΡΡΠΆΠ°ΡΡΠ΅ΠΉ ΡΡΠ΅Π΄Π΅ ΠΈ Π°Π²ΡΠΎΠΌΠΎΠ±ΠΈΠ»Ρ, Π²Π΅Π΄Ρ Π΄Π°ΠΆΠ΅ Π½Π΅Π±ΠΎΠ»ΡΡΠ°Ρ ΡΠΊΠΎΠ½ΠΎΠΌΠΈΡ Π½Π° ΠΊΠ°ΡΠ΅ΡΡΠ²Π΅ ΠΌΠΎΠΆΠ΅Ρ Π²ΡΡΠ°Π·ΠΈΡΡΡΡ Π² ΠΊΡΡΠΏΠ½ΡΡ ΠΏΠΎΡΠ΅ΡΡΡ Π΄Π΅Π½Π΅Π³ ΠΈ Π²ΡΠ΅ΠΌΠ΅Π½ΠΈ.
Π Π°ΡΡΠ΅Π½ΠΊΠΈ Π½Π° ΠΊΠ°ΡΠ΅ΡΡΠ²Π΅Π½Π½ΡΠΉ ΠΏΡΠΎΠ΄ΡΠΊΡ Π΄Π°Π»Π΅ΠΊΠΎ Π½Π΅ Π²ΡΠ΅Π³Π΄Π° ΠΎΡΠ»ΠΈΡΠ°ΡΡΡΡ ΠΎΡ ΠΌΠ΅Π½Π΅Π΅ ΠΊΠ°ΡΠ΅ΡΡΠ²Π΅Π½Π½ΡΡ Π°Π½Π°Π»ΠΎΠ³ΠΎΠ², ΠΏΠΎΡΡΠΎΠΌΡ ΠΏΡΠΈΠΎΠ±ΡΠ΅ΡΠ°ΡΡ Π½ΡΠΆΠ½ΠΎ ΡΠΎΠ»ΡΠΊΠΎ Ρ ΠΏΡΠΎΠ΄Π°Π²ΡΠΎΠ², ΠΊΠΎΡΠΎΡΡΠ΅ ΡΠΆΠ΅ ΡΡΠΏΠ΅Π»ΠΈ Π·Π°ΡΠ΅ΠΊΠΎΠΌΠ΅Π½Π΄ΠΎΠ²Π°ΡΡ ΡΠ΅Π±Ρ. Π ΡΠΎΠΌΡ ΠΆΠ΅ ΠΎΠΏΡΠΎΠ²ΡΠ΅ Π·Π°ΠΊΡΠΏΠΊΠΈ Ρ Π½Π°Ρ ΠΏΠΎΠ·Π²ΠΎΠ»ΡΡΡ ΡΡΡΠ΅ΡΡΠ²Π΅Π½Π½ΠΎ ΡΡΠΊΠΎΠ½ΠΎΠΌΠΈΡΡ, ΠΎΡΡΠ°Π²Π°ΡΡΡ Π°Π±ΡΠΎΠ»ΡΡΠ½ΠΎ ΡΠ²Π΅ΡΠ΅Π½Π½ΡΠΌ Π² ΡΠΎΠΌ, ΡΡΠΎ ΠΏΠΎΠΊΡΠΏΠΊΠ° ΠΏΠΎΠ»Π½ΠΎΡΡΡΡ ΡΠΎΠΎΡΠ²Π΅ΡΡΡΠ²ΡΠ΅Ρ Π΄Π΅ΠΉΡΡΠ²ΡΡΡΠ΅ΠΌΡ ΠΠΠ‘Π’.
ΠΠ°ΠΊΠΎΠ΅ Π·Π°ΠΏΡΠ°Π²Π»ΡΡΡ
ΠΠ»ΠΎΡΠ½ΠΎΡΡΡ Π΄ΠΈΠ·ΡΠΎΠΏΠ»ΠΈΠ²Π° Π»Π΅ΡΠΎΠΌ Π±ΡΠ΄Π΅Ρ ΡΠΎΠΎΡΠ²Π΅ΡΡΡΠ²ΠΎΠ²Π°ΡΡ ΡΡΠ°Π½Π΄Π°ΡΡΠ°ΠΌ ΡΠΎΠ»ΡΠΊΠΎ ΠΏΡΠΈ ΡΠ΅ΠΌΠΏΠ΅ΡΠ°ΡΡΡΠ΅ 20 Π‘, ΡΠΎΠ³Π΄Π° ΠΊΠ°ΠΊ Π΄Π°ΠΆΠ΅ Π½Π΅Π·Π½Π°ΡΠΈΡΠ΅Π»ΡΠ½ΡΠ΅ ΠΏΠ΅ΡΠ΅ΠΌΠ΅Π½Ρ ΠΎΠΊΠ°ΠΆΡΡ ΡΠ²ΠΎΠ΅ Π½Π΅ΠΏΠΎΡΡΠ΅Π΄ΡΡΠ²Π΅Π½Π½ΠΎΠ΅ Π²Π»ΠΈΡΠ½ΠΈΠ΅.
ΠΡΠ»ΠΈ Π²Ρ ΠΆΠ΅Π»Π°Π΅ΡΠ΅ Π²ΡΡΡΠΈΡΠ°ΡΡ ΠΏΠ»ΠΎΡΠ½ΠΎΡΡΡ ΡΠ°ΠΌΠΎΡΡΠΎΡΡΠ΅Π»ΡΠ½ΠΎ, ΡΠΎ Π½ΡΠΆΠ½ΠΎ Π½Π° ΠΊΠ°ΠΆΠ΄ΡΠΉ Π³ΡΠ°Π΄ΡΡ Π΄Π΅Π»Π°ΡΡ ΠΏΠΎΠ³ΡΠ΅ΡΠ½ΠΎΡΡΡ Π² 0,00075 ΠΊΠ³/ΠΌ3 β ΡΡΠΎ ΠΏΠΎΠ·Π²ΠΎΠ»ΠΈΡ ΠΏΠΎΠ»ΡΡΠΈΡΡ Π°Π±ΡΠΎΠ»ΡΡΠ½ΠΎ ΡΠΎΡΠ½ΡΠ΅ ΡΠ΅Π·ΡΠ»ΡΡΠ°ΡΡ. ΠΡΠΈ ΡΡΠΎΠΌ ΠΊΠ°ΡΠ΅ΡΡΠ²ΠΎ ΠΎΡΡΠ°Π΅ΡΡΡ Π½Π΅ΠΈΠ·ΠΌΠ΅Π½Π½ΡΠΌ, Π±Π»Π°Π³ΠΎΠ΄Π°ΡΡ ΡΠ΅ΠΌΡ Π²Ρ ΡΠΌΠΎΠΆΠ΅ΡΠ΅ ΠΎΡΡΠ°Π²Π°ΡΡΡΡ Π°Π±ΡΠΎΠ»ΡΡΠ½ΠΎ ΡΠ²Π΅ΡΠ΅Π½Π½ΡΠΌΠΈ Π² Π½Π°Π΄Π΅ΠΆΠ½ΠΎΡΡΠΈ ΡΠ°Π±ΠΎΡΡ ΠΌΠ°ΡΠΈΠ½Ρ.Β
ΠΠ»ΠΎΡΠ½ΠΎΡΡΡ Π΄ΠΈΠ·Π΅Π»ΡΠ½ΠΎΠ³ΠΎ ΡΠΎΠΏΠ»ΠΈΠ²Π° Π»Π΅ΡΠΎΠΌ Π·Π½Π°ΡΠΈΡΠ΅Π»ΡΠ½ΠΎ ΡΠΌΠ΅Π½ΡΡΠ°Π΅ΡΡΡ, Π½ΠΎ ΠΏΡΠΈ ΡΡΠΎΠΌ Π²Π°ΠΆΠ½ΠΎ ΠΏΠΎΠΌΠ½ΠΈΡΡ, ΡΡΠΎ ΠΏΡΠΈ ΠΏΠΎΠ½ΠΈΠΆΠ΅Π½ΠΈΠΈ ΡΠ΅ΠΌΠΏΠ΅ΡΠ°ΡΡΡΡ Π½Π°ΡΠΈΠ½Π°ΡΡ Π²ΡΠ΄Π΅Π»ΡΡΡΡΡ ΠΊΡΠΈΡΡΠ°Π»Π»Ρ ΠΏΠ°ΡΠ°ΡΠΈΠ½Π°, Π° ΡΡΠΎ Π½Π΅Π³Π°ΡΠΈΠ²Π½ΠΎ ΡΠΊΠ°Π·ΡΠ²Π°Π΅ΡΡΡ Π½Π° Π²ΡΠ΅ΠΉ Π΄Π²ΠΈΠ³Π°ΡΠ΅Π»ΡΠ½ΠΎΠΉ ΡΠΈΡΡΠ΅ΠΌΠ΅. ΠΠΎΠ»ΡΡΠΈΠ½ΡΡΠ²ΠΎ Π»ΡΠ΄Π΅ΠΉ ΠΎΡΠ΄Π°ΡΡ ΠΏΡΠ΅Π΄ΠΏΠΎΡΡΠ΅Π½ΠΈΠ΅ ΠΏΡΠΈΠΎΠ±ΡΠ΅ΡΠ°ΡΡ Π² ΡΠ΅ΠΏΠ»ΠΎΠ΅ Π²ΡΠ΅ΠΌΡ Π³ΠΎΠ΄Π° ΠΈΠΌΠ΅Π½Π½ΠΎ ΡΠ°ΠΊΠΎΠ΅ ΡΠΎΠΏΠ»ΠΈΠ²ΠΎ, ΠΏΠΎΡΠΎΠΌΡ ΡΡΠΎ ΠΎΠ½ΠΎ ΠΏΠΎΠ·Π²ΠΎΠ»ΡΠ΅Ρ Π΄ΠΎΠ±ΠΈΠ²Π°ΡΡΡΡ ΡΠ»Π΅Π΄ΡΡΡΠΈΡ ΠΏΡΠ΅ΠΈΠΌΡΡΠ΅ΡΡΠ²:
- ΠΌΠΈΠ½ΠΈΠΌΠΈΠ·Π°ΡΠΈΡ Π·Π°ΡΡΠ°Ρ;
- ΡΠΊΠΎΠ»ΠΎΠ³ΠΈΡΠ½ΠΎΡΡΡ;
- Π±Π»Π°Π³ΠΎΡΠ²ΠΎΡΠ½ΠΎΠ΅ Π²ΠΎΠ·Π΄Π΅ΠΉΡΡΠ²ΠΈΠ΅ Π½Π° ΡΡΠ°Π½ΡΠΏΠΎΡΡΠ½ΠΎΠ΅ ΡΡΠ΅Π΄ΡΡΠ²ΠΎ.
ΠΠ°ΠΆΠ½ΠΎ ΠΎΡΠΌΠ΅ΡΠΈΡΡ, ΡΡΠΎ ΠΎΠΏΡΠ΅Π΄Π΅Π»Π΅Π½ΠΈΠ΅ ΠΏΠ»ΠΎΡΠ½ΠΎΡΡΠΈ Π½Π΅ Π²ΡΠ΅Π³Π΄Π° ΠΏΠΎΠ·Π²ΠΎΠ»ΡΠ΅Ρ Π²ΡΡΠ²ΠΈΡΡ Π½Π΅ΠΊΠ°ΡΠ΅ΡΡΠ²Π΅Π½Π½ΡΠΉ ΠΏΡΠΎΠ΄ΡΠΊΡ, Ρ.ΠΊ. Π² ΡΡΠ΄Π΅ ΡΠ»ΡΡΠ°Π΅Π² Π½Π΅Π΄ΠΎΠ±ΡΠΎΡΠΎΠ²Π΅ΡΡΠ½ΡΠ΅ ΠΏΡΠΎΠ΄Π°Π²ΡΡ ΡΡΠΎΡ ΡΠ°ΠΊΡΠΎΡ ΡΡΠΈΡΡΠ²Π°ΡΡ. ΠΠΌΠ΅Π½Π½ΠΎ ΠΏΠΎΡΡΠΎΠΌΡ ΠΎΠ±ΡΠ°ΡΠ°ΡΡΡΡ Π½ΡΠΆΠ½ΠΎ Π² ΠΏΡΠΎΡΠ΅ΡΡΠΈΠΎΠ½Π°Π»ΡΠ½ΡΠ΅ ΠΊΠΎΠΌΠΏΠ°Π½ΠΈΠΈ, ΠΊΠΎΡΠΎΡΡΠ΅ Π΄ΠΎΡΠΎΠΆΠ°Ρ ΡΠ²ΠΎΠΈΠΌ ΠΈΠΌΠ΅Π½Π΅ΠΌ ΠΈ Π²ΡΠ΅Π³Π΄Π° ΡΠ΅Π°Π»ΠΈΠ·ΡΡΡ ΡΠΎΠ»ΡΠΊΠΎ Π²ΡΡΠΎΠΊΠΎΠΊΠ°ΡΠ΅ΡΡΠ²Π΅Π½Π½ΠΎΠ΅ ΡΠΎΠΏΠ»ΠΈΠ²ΠΎ.
ΠΠ»ΠΎΡΠ½ΠΎΡΡΡ Π»Π΅ΡΠ½Π΅Π³ΠΎ Π΄ΠΈΠ·ΡΠΎΠΏΠ»ΠΈΠ²Π° ΠΌΠΎΠΆΠ΅Ρ ΡΡΡΠ΅ΡΡΠ²Π΅Π½Π½ΠΎ Π²Π°ΡΡΠΈΡΠΎΠ²Π°ΡΡΡΡ, Π² Π·Π°Π²ΠΈΡΠΈΠΌΠΎΡΡΠΈ ΠΎΡ ΡΠ΅ΠΌΠΏΠ΅ΡΠ°ΡΡΡΡ ΠΎΠΊΡΡΠΆΠ°ΡΡΠ΅ΠΉ ΡΡΠ΅Π΄Ρ, Π½ΠΎ ΠΏΡΠΈ ΡΡΠΎΠΌ Π²ΡΠ΅Π³Π΄Π° Π½ΡΠΆΠ½ΠΎ ΡΠ»Π΅Π΄ΠΈΡΡ, ΡΡΠΎΠ±Ρ Π²Π½Π΅ΡΠ½ΠΈΠ΅ ΡΠ΅ΠΌΠΏΠ΅ΡΠ°ΡΡΡΡ Π½Π΅ ΠΎΡΠΎΠ±ΠΎ ΠΎΠΏΡΡΠΊΠ°Π»ΠΈΡΡ, Ρ.ΠΊ. ΡΡΠΎ ΠΌΠΎΠΆΠ΅Ρ ΡΠΊΠ°Π·Π°ΡΡΡΡ Π½Π° ΠΊΠ°ΡΠ΅ΡΡΠ²Π΅ ΠΏΡΠΎΠ΄ΡΠΊΡΠ°.
ΠΠ»ΠΎΡΠ½ΠΎΡΡΡ Π΄ΠΈΠ·Π΅Π»ΡΠ½ΠΎΠ³ΠΎ ΡΠΎΠΏΠ»ΠΈΠ²Π°
ΠΠ»ΠΎΡΠ½ΠΎΡΡΡ Π΄ΠΈΠ·Π΅Π»ΡΠ½ΠΎΠ³ΠΎ ΡΠΎΠΏΠ»ΠΈΠ²Π° β ΡΡΠΎ Ρ Π°ΡΠ°ΠΊΡΠ΅ΡΠΈΡΡΠΈΠΊΠ°, ΠΊΠΎΡΠΎΡΠ°Ρ ΠΏΠΎΠΊΠ°Π·ΡΠ²Π°Π΅Ρ ΡΠΎΠΎΡΠ½ΠΎΡΠ΅Π½ΠΈΠ΅ ΠΎΠ΄Π½ΠΎΠ³ΠΎ ΠΊΠΈΠ»ΠΎΠ³ΡΠ°ΠΌΠΌΠ° ΠΊ ΠΎΠ΄Π½ΠΎΠΌΡ Π»ΠΈΡΡΡ. ΠΠΈΠ»ΠΎΠ³ΡΠ°ΠΌΠΌ Π΄ΠΈΠ·Π΅Π»ΡΠ½ΠΎΠ³ΠΎ ΡΠΎΠΏΠ»ΠΈΠ²Π° β ΡΡΠΎ Π²Π΅Π»ΠΈΡΠΈΠ½Π° ΠΏΠΎΡΡΠΎΡΠ½Π½Π°Ρ, Π° ΠΊΠ°ΠΊΠΎΠΉ ΠΎΠ±ΡΡΠΌ ΠΎΠ½ Π±ΡΠ΄Π΅Ρ Π·Π°Π½ΠΈΠΌΠ°ΡΡ Π·Π°Π²ΠΈΡΠΈΡ ΠΎΡ ΡΠ΅ΠΌΠΏΠ΅ΡΠ°ΡΡΡΡ. ΠΡΠΈ Π½Π°Π³ΡΠ΅Π²Π°Π½ΠΈΠΈ ΠΏΠ»ΠΎΡΠ½ΠΎΡΡΡ Π΄ΠΈΠ·ΡΠΎΠΏΠ»ΠΈΠ²Π° ΡΠΌΠ΅Π½ΡΡΠ°Π΅ΡΡΡ, ΠΏΡΠΈ ΠΎΡ Π»Π°ΠΆΠ΄Π΅Π½ΠΈΠΈ ΡΠ²Π΅Π»ΠΈΡΠΈΠ²Π°Π΅ΡΡΡ.
ΠΡΠ΅Π½Ρ ΡΠ°ΡΡΠΎ Π²ΡΡΡΠ΅ΡΠ°Π΅ΡΡΡ ΡΠΈΡΡΠ°ΡΠΈΡ, ΠΊΠΎΠ³Π΄Π° Π±Π΅Π½Π·ΠΎΠ²ΠΎΠ· ΠΏΠΎΡΠ»Π΅ Π·Π°Π³ΡΡΠ·ΠΊΠΈ Π²Π΅Π·ΡΡ ΡΠΎΠΏΠ»ΠΈΠ²ΠΎ ΠΊΠ»ΠΈΠ΅Π½ΡΡ, Π·Π° ΡΡΠΎ Π²ΡΠ΅ΠΌΡ ΠΌΠ°ΡΠΈΠ½Π° Π½Π°Π³ΡΠ΅Π²Π°Π΅ΡΡΡ Π½Π° ΡΠΎΠ»Π½ΡΠ΅, ΡΠΎΠΎΡΠ²Π΅ΡΡΡΠ²Π΅Π½Π½ΠΎ ΠΏΠ»ΠΎΡΠ½ΠΎΡΡΡ Π΄ΠΈΠ·Π΅Π»ΡΠ½ΠΎΠ³ΠΎ ΡΠΎΠΏΠ»ΠΈΠ²Π° ΠΏΠ°Π΄Π°Π΅Ρ ΠΈ ΠΏΠ΅ΡΠ΅ΡΡΠ°ΡΡ ΡΠΎΠΎΡΠ²Π΅ΡΡΡΠ²ΠΎΠ²Π°ΡΡ Π·Π°ΠΏΠΈΡΠΈ Π² ΡΠΎΠ²Π°ΡΠ½ΠΎ-ΡΡΠ°Π½ΡΠΏΠΎΡΡΠ½ΠΎΠΉ Π½Π°ΠΊΠ»Π°Π΄Π½ΠΎΠΉ. ΠΡΠΎ Π½Π΅ ΡΠ²Π»ΡΠ΅ΡΡΡ ΠΎΠ±ΠΌΠ°Π½ΠΎΠΌ ΡΠΎ ΡΡΠΎΡΠΎΠ½Ρ ΠΏΠΎΡΡΠ°Π²ΡΠΈΠΊΠ°. Π£ Π΄ΠΎΠ±ΡΠΎΡΠΎΠ²Π΅ΡΡΠ½ΡΡ
ΠΏΠΎΡΡΠ°Π²ΡΠΈΠΊΠΎΠ² Π΄ΠΈΠ·Π΅Π»ΡΠ½ΠΎΠ³ΠΎ ΡΠΎΠΏΠ»ΠΈΠ²Π° Π±Π΅Π½Π·ΠΎΠ²ΠΎΠ· Π·Π°Π»ΠΈΠ²Π°Π΅ΡΡΡ ΠΏΠΎ ΡΠ³ΠΎΠ»ΠΊΠ°ΠΌ, ΡΡΡΠ°Π½ΠΎΠ²Π»Π΅Π½Π½ΡΠΌ ΠΏΡΠΈ ΠΊΠ°Π»ΠΈΠ±ΡΠΎΠ²ΠΊΠ΅ Π±Π΅Π½Π·ΠΎΠ²ΠΎΠ·Π°.
ΠΠ»ΠΎΡΠ½ΠΎΡΡΡ Π»Π΅ΡΠ½Π΅Π³ΠΎ Π΄ΠΈΠ·Π΅Π»ΡΠ½ΠΎΠ³ΠΎ ΡΠΎΠΏΠ»ΠΈΠ²Π° Π²ΡΡΠ΅, ΡΠ΅ΠΌ ΠΏΠ»ΠΎΡΠ½ΠΎΡΡΡ Π·ΠΈΠΌΠ½Π΅Π³ΠΎ. ΠΠ»Π°Π³ΠΎΠ΄Π°ΡΡ Π±ΠΎΠ»Π΅Π΅ Π½ΠΈΠ·ΠΊΠΎΠΉ ΠΏΠ»ΠΎΡΠ½ΠΎΡΡΠΈ Π·ΠΈΠΌΠ½Π΅Π΅ Π΄ΠΈΠ·Π΅Π»ΡΠ½ΠΎΠ΅ ΡΠΎΠΏΠ»ΠΈΠ²ΠΎ ΠΌΠ΅Π½Π΅Π΅ Π²ΡΠ·ΠΊΠΎΠ΅, ΠΈ ΡΠ΅ΠΌΠΏΠ΅ΡΠ°ΡΡΡΠ° Π·Π°ΠΌΠ΅ΡΠ·Π°Π½ΠΈΡ Ρ Π½Π΅Π³ΠΎ Π½ΠΈΠΆΠ΅.
ΠΠ»ΠΎΡΠ½ΠΎΡΡΡ Π΄ΠΈΠ·Π΅Π»ΡΠ½ΠΎΠ³ΠΎ ΡΠΎΠΏΠ»ΠΈΠ²Π°
ΠΡ ΠΌΠΎΠΆΠ΅ΠΌ ΠΏΡΠ΅Π΄Π»ΠΎΠΆΠΈΡΡ ΠΠ°ΠΌ ΡΠΎΠΏΠ»ΠΈΠ²ΠΎ ΡΠΎ ΡΠ½ΠΈΠΆΠ΅Π½Π½ΠΎΠΉ ΠΏΠ»ΠΎΡΠ½ΠΎΡΡΡΡ. ΠΡΠΎ ΠΏΠΎΠ·Π²ΠΎΠ»ΡΠ΅Ρ ΡΡΡΠ΅ΡΡΠ²Π΅Π½Π½ΠΎ ΡΠ΄Π΅ΡΠ΅Π²ΠΈΡΡ ΡΡΠΎΠΈΠΌΠΎΡΡΡ Π»ΠΈΡΡΠ°, Π½Π΅ ΡΠΈΠ»ΡΠ½ΠΎ ΠΈΠ·ΠΌΠ΅Π½ΠΈΠ² Π΅Π³ΠΎ ΠΊΠ°ΡΠ΅ΡΡΠ²ΠΎ.
ΠΠ°Π½Π½ΠΎΠ΅ ΠΏΡΠ΅Π΄Π»ΠΎΠΆΠ΅Π½ΠΈΠ΅ ΠΌΠΎΠΆΠ΅Ρ Π·Π°ΠΈΠ½ΡΠ΅ΡΠ΅ΡΠΎΠ²Π°ΡΡ ΠΊΠΎΠΌΠΏΠ°Π½ΠΈΠΈ, ΡΡΡΡΠ½Π°Ρ ΠΏΠΎΠ»ΠΈΡΠΈΠΊΠ° Π² ΠΊΠΎΡΠΎΡΡΡ
Π²Π΅Π΄ΡΡΡΡ Π² Π»ΠΈΡΡΠ°Ρ
.
ΠΠΠ‘Π’ Π΄ΠΈΠ·Π΅Π»ΡΠ½ΠΎΠ΅ ΡΠΎΠΏΠ»ΠΈΠ²ΠΎ | ΠΠΎΡΡΠ΄Π°ΡΡΡΠ²Π΅Π½Π½ΡΠ΅ ΡΡΠ°Π½Π΄Π°ΡΡΡ ΠΊΠ°ΡΠ΅ΡΡΠ²Π° Π½Π° ΡΠΎΠΏΠ»ΠΈΠ²ΠΎ
Π ΠΏΠ΅ΡΠ²ΡΡ ΠΎΡΠ΅ΡΠ΅Π΄Ρ, ΠΈΠΌΠ΅Π΅Ρ Π·Π½Π°ΡΠ΅Π½ΠΈΠ΅ ΡΠ΅ΡΠ°Π½ΠΎΠ²ΠΎΠ΅ ΡΠΈΡΠ»ΠΎ. ΠΠΎ ΡΡΠΎΠΌΡ ΠΏΠΎΠΊΠ°Π·Π°ΡΠ΅Π»Ρ ΠΎΠΏΡΠ΅Π΄Π΅Π»ΡΠ΅ΡΡΡ ΡΠΊΠΎΡΠΎΡΡΡ, Ρ ΠΊΠΎΡΠΎΡΠΎΠΉ ΡΠΆΠ°ΡΠΎΠ΅ ΡΠΎΠΏΠ»ΠΈΠ²ΠΎ ΡΠ°ΠΌΠΎΠ²ΠΎΡΠΏΠ»Π°ΠΌΠ΅Π½ΡΠ΅ΡΡΡ Π² ΡΠΈΠ»ΠΈΠ½Π΄ΡΠ΅. ΠΠΏΡΠΈΠΌΠ°Π»ΡΠ½ΠΎΠ΅ ΡΠ΅ΡΠ°Π½ΠΎΠ²ΠΎΠ΅ ΡΠΈΡΠ»ΠΎ ΠΏΠΎΠ·Π²ΠΎΠ»ΡΠ΅Ρ ΡΠΎΠ»ΡΡΠΊΠ΅ Π±ΡΡΡΡΠΎ Π²ΠΎΡΠΏΠ»Π°ΠΌΠ΅Π½ΡΡΡΡΡ, Π° ΡΠΎΠ²ΡΠ΅ΠΌΠ΅Π½Π½ΡΠ΅ ΠΈΠ½ΠΆΠ΅ΠΊΡΠΎΡΡ Π΄Π²ΠΈΠ³Π°ΡΠ΅Π»Ρ ΠΊΠΎΠ½ΡΡΠΎΠ»ΠΈΡΡΡΡ ΠΏΡΠΎΡΠ΅ΡΡ ΡΠ³ΠΎΡΠ°Π½ΠΈΡ ΠΈ ΠΏΠΎΡΡΡΠΏΠ»Π΅Π½ΠΈΡ Π² ΡΠΈΠ»ΠΈΠ½Π΄Ρ.
- ΠΠΠ‘Π’ 32511-2013Β (EN 590:2009)
- ΠΠΠ‘Π’ Π 52368-2005.
ΠΠ° Ρ Π°ΡΠ°ΠΊΡΠ΅ΡΠΈΡΡΠΈΠΊΠΈ ΡΠ°ΠΊΠΆΠ΅ Π²Π»ΠΈΡΠ΅Ρ ΡΠ΅Π·ΠΎΠ½Π½ΡΠΉ Π²ΠΈΠ΄ ΡΠΎΠΏΠ»ΠΈΠ²Π°, ΠΏΠΎΡΠΊΠΎΠ»ΡΠΊΡ ΠΈΠ·-Π·Π° ΡΠ°Π·Π½ΠΈΡΡ ΡΠ΅ΠΌΠΏΠ΅ΡΠ°ΡΡΡ ΡΡΠ΅Π±ΠΎΠ²Π°Π½ΠΈΡ ΠΊ Π·ΠΈΠΌΠ½Π΅ΠΌΡ ΠΈ Π»Π΅ΡΠ½Π΅ΠΌΡ Π²ΠΈΠ΄Ρ ΡΠΎΠ»ΡΡΠΊΠΈ ΠΎΡΠ»ΠΈΡΠ°ΡΡΡΡ. ΠΡΠ±ΠΈΡΠ°Ρ ΡΠΎΠΏΠ»ΠΈΠ²ΠΎ Ρ Π½Π°Ρ, Π²Ρ ΠΌΠΎΠΆΠ΅ΡΠ΅ Π½Π΅ Π²ΠΎΠ»Π½ΠΎΠ²Π°ΡΡΡΡ ΠΎ Π΅Π³ΠΎ ΠΊΠ°ΡΠ΅ΡΡΠ²Π΅, Π½ΠΎ ΠΈΠΌΠ΅ΡΡ ΠΏΡΠ΅Π΄ΡΡΠ°Π²Π»Π΅Π½ΠΈΠ΅ ΠΎΠ± ΠΎΡΠ½ΠΎΠ²Π½ΡΡ ΠΏΠ°ΡΠ°ΠΌΠ΅ΡΡΠ°Ρ Π²ΡΠ΅-ΡΠ°ΠΊΠΈ ΡΡΠΎΠΈΡ.
ΠΠΈΠ·Π΅Π»ΡΠ½ΠΎΠ΅ ΡΠΎΠΏΠ»ΠΈΠ²ΠΎ Ρ ΠΌΠ°Π»ΡΠΌ ΡΠ΅ΡΠ°Π½ΠΎΠ²ΡΠΌ ΡΠΈΡΠ»ΠΎΠΌ ΡΠ³ΠΎΡΠ°Π΅Ρ ΠΌΠ΅Π΄Π»Π΅Π½Π½ΠΎ,
Π½Π°ΠΊΠ°ΠΏΠ»ΠΈΠ²Π°Π΅ΡΡΡ Π² ΡΠΈΠ»ΠΈΠ½Π΄ΡΠ΅, Π° Π·Π°ΡΠ΅ΠΌ Π²ΡΡΠ²ΠΎΠ±ΠΎΠΆΠ΄Π°Π΅ΡΡΡ, ΡΡΠΎ Π²ΠΌΠ΅ΡΡΠΎ ΠΏΠ»Π°Π²Π½ΠΎΠ³ΠΎ
ΠΏΡΠΎΡΠ΅ΡΡΠ° Π΄Π°Π΅Ρ ΡΠΎΠ»ΡΠΎΠΊ Π΄Π°Π²Π»Π΅Π½ΠΈΡ, Π±ΡΡΡΠΈΠΉ ΠΏΠΎ ΠΏΠΎΡΡΠ½Ρ.
ΠΠ²ΠΈΠ³Π°ΡΠ΅Π»ΠΈ, ΡΠ°Π±ΠΎΡΠ°ΡΡΠΈΠ΅ Π½Π°
ΡΠΎΠΏΠ»ΠΈΠ²Π΅ ΡΠΎ ΡΠ»ΠΈΡΠΊΠΎΠΌ ΠΌΠ°Π»ΡΠΌ ΠΈΠ»ΠΈ ΡΡΠ΅Π·ΠΌΠ΅ΡΠ½ΠΎ Π²ΡΡΠΎΠΊΠΈΠΌ ΡΠ΅ΡΠ°Π½ΠΎΠ²ΡΠΌ ΡΠΈΡΠ»ΠΎΠΌ, Π΄ΡΠΌΡΡ,
ΠΏΠΎΡΠΊΠΎΠ»ΡΠΊΡ ΡΠΎΠ»ΡΡΠΊΠ° Π½Π΅ ΡΡΠΏΠ΅Π²Π°Π΅Ρ ΡΠ³ΠΎΡΠ΅ΡΡ ΠΏΠΎΠ»Π½ΠΎΡΡΡΡ, ΡΡΠΎ ΡΡΡΠ΅ΡΡΠ²Π΅Π½Π½ΠΎ ΠΎΡΡΠ°ΠΆΠ°Π΅ΡΡΡ
Π½Π° ΡΠΊΠΎΠ½ΠΎΠΌΠΈΠΈ. ΠΠΏΡΠΈΠΌΠ°Π»ΡΠ½ΡΠ΅ ΠΏΠΎΠΊΠ°Π·Π°ΡΠ΅Π»ΠΈ, ΡΡΡΠ°Π½ΠΎΠ²Π»Π΅Π½Π½ΡΠ΅ Π΄Π΅ΠΉΡΡΠ²ΡΡΡΠΈΠΌΠΈ ΠΠΠ‘Π’Π°ΠΌΠΈ
β ΠΎΡ 40 Π΄ΠΎ 51.
Π‘ΠΎΠ΄Π΅ΡΠΆΠ°Π½ΠΈΠ΅ ΡΠ΅ΡΠ½ΡΡ ΡΠΎΠ΅Π΄ΠΈΠ½Π΅Π½ΠΈΠΉ
ΠΡ ΡΠ΅Π°Π»ΠΈΠ·ΡΠ΅ΠΌ ΡΠΎΠ»ΡΠΊΠΎ Π²ΡΡΠΎΠΊΠΎΠΊΠ°ΡΠ΅ΡΡΠ²Π΅Π½Π½ΠΎΠ΅ Π΄ΠΈΠ·Π΅Π»ΡΠ½ΠΎΠ΅ ΡΠΎΠΏΠ»ΠΈΠ²ΠΎ, ΡΠΎΠΎΡΠ²Π΅ΡΡΡΠ²ΡΡΡΠ΅Π΅ ΠΠΠ‘Π’Π°ΠΌ ΠΏΠΎ Π²ΡΠ΅ΠΌ ΠΏΠ°ΡΠ°ΠΌΠ΅ΡΡΠ°ΠΌ. ΠΡΠΎ ΠΊΠ°ΡΠ°Π΅ΡΡΡ ΠΈ ΡΠΎΠ΄Π΅ΡΠΆΠ°Π½ΠΈΡ ΡΠ΅ΡΡ. ΠΠΎΠ»ΠΈΡΠ΅ΡΡΠ²ΠΎ ΡΠ΅ΡΠ½ΡΡ ΡΠΎΠ΅Π΄ΠΈΠ½Π΅Π½ΠΈΠΉ Π·Π°Π²ΠΈΡΠΈΡ ΠΎΡ ΠΊΠ°ΡΠ΅ΡΡΠ²Π° Π½Π΅ΡΡΠΈ ΠΈ ΡΡΠ΅ΠΏΠ΅Π½ΠΈ ΠΎΡΠΈΡΡΠΊΠΈ ΠΊΠΎΠ½Π΅ΡΠ½ΠΎΠ³ΠΎ ΠΏΡΠΎΠ΄ΡΠΊΡΠ°. ΠΡΠΈ Π²Π΅ΡΠ΅ΡΡΠ²Π° Π² ΡΠ΅Π·ΡΠ»ΡΡΠ°ΡΠ΅ ΡΠ°Π·Π½ΡΡ Ρ ΠΈΠΌΠΈΡΠ΅ΡΠΊΠΈΡ ΡΠ΅Π°ΠΊΡΠΈΠΉ ΠΏΡΠΈΠ²ΠΎΠ΄ΡΡ ΠΊ ΠΎΠ±ΡΠ°Π·ΠΎΠ²Π°Π½ΠΈΡ ΡΠ΅ΡΠ½ΠΎΠΉ ΠΊΠΈΡΠ»ΠΎΡΡ ΠΈ Π΅Π΅ ΠΎΡΠ΅Π΄Π°Π½ΠΈΡ Π² ΡΠΈΠ»ΠΈΠ½Π΄ΡΠ°Ρ , ΡΡΠΎ Π½Π΅ΠΈΠ·Π±Π΅ΠΆΠ½ΠΎ Π²Π΅Π΄Π΅Ρ ΠΊ ΠΏΡΠ΅ΠΆΠ΄Π΅Π²ΡΠ΅ΠΌΠ΅Π½Π½ΠΎΠΌΡ ΠΈΠ·Π½ΠΎΡΡ Π·Π°ΠΏΡΠ°ΡΡΠ΅ΠΉ.
Π‘Π΅ΡΠ½ΡΠ΅ ΡΠΎΠ΅Π΄ΠΈΠ½Π΅Π½ΠΈΡ Π²ΠΌΠ΅ΡΡΠ΅ Ρ Π²ΡΡ
Π»ΠΎΠΏΠ½ΡΠΌΠΈ Π³Π°Π·Π°ΠΌΠΈ ΠΏΠΎΡΡΡΠΏΠ°ΡΡ ΠΈ Π² Π°ΡΠΌΠΎΡΡΠ΅ΡΡ,
ΡΡΠΎ Π½Π°Π½ΠΎΡΠΈΡ Π²ΡΠ΅Π΄ ΡΠΊΠΎΠ»ΠΎΠ³ΠΈΠΈ. ΠΠΎΠ±ΡΠΎΡΠΎΠ²Π΅ΡΡΠ½ΡΠ΅ ΠΏΡΠΎΠΈΠ·Π²ΠΎΠ΄ΠΈΡΠ΅Π»ΠΈ Π·Π°ΠΈΠ½ΡΠ΅ΡΠ΅ΡΠΎΠ²Π°Π½Ρ Π²
ΡΠ½ΠΈΠΆΠ΅Π½ΠΈΠΈ ΡΠΎΠ΄Π΅ΡΠΆΠ°Π½ΠΈΡ ΡΠ΅ΡΡ. Π§ΡΠΎΠ±Ρ Π΄ΠΈΠ·Π΅Π»ΡΠ½ΠΎΠ΅ ΡΠΎΠΏΠ»ΠΈΠ²ΠΎ ΡΠΎΠΎΡΠ²Π΅ΡΡΡΠ²ΠΎΠ²Π°Π»ΠΎ Π½ΠΎΡΠΌΠ°ΠΌ,
ΠΎΠ½ΠΎ ΠΏΡΠΎΡ
ΠΎΠ΄ΠΈΡ Π΄ΠΎΠΏΠΎΠ»Π½ΠΈΡΠ΅Π»ΡΠ½ΡΠ΅ ΡΡΠΎΠ²Π½ΠΈ ΠΎΡΠΈΡΡΠΊΠΈ.
Β Π’Π°ΠΊΠΈΠΌ ΠΎΠ±ΡΠ°Π·ΠΎΠΌ, Π΄ΠΈΠ·Π΅Π»ΡΠ½ΠΎΠ΅
ΡΠΎΠΏΠ»ΠΈΠ²ΠΎ, ΠΊΠΎΡΠΎΡΠΎΠ΅ ΠΈΠ·Π³ΠΎΡΠ°Π²Π»ΠΈΠ²Π°Π΅ΡΡΡ ΠΏΠΎ ΠΠΠ‘Π’Ρ, ΠΎΠΊΠ°Π·ΡΠ²Π°Π΅ΡΡΡ ΡΠΊΠΎΠ½ΠΎΠΌΠ½ΡΠΌ Π΄Π°ΠΆΠ΅ Π²
Π΄ΠΎΠ»Π³ΠΎΡΡΠΎΡΠ½ΠΎΠΉ ΠΏΡΠΎΠ΅ΠΊΡΠΈΠΈ. ΠΠ½ΠΎ Π½Π΅ ΡΠΎΠ»ΡΠΊΠΎ ΠΎΠ±Π»Π°Π΄Π°Π΅Ρ Π²ΡΡΠΎΠΊΠΈΠΌ ΠΠΠ, Π½ΠΎ ΠΈ ΡΠ°Π΄ΡΡΠ΅Π΅
ΠΎΡΠ½ΠΎΡΠΈΡΡΡ ΠΊ Π΄Π²ΠΈΠ³Π°ΡΠ΅Π»Ρ ΠΈ ΠΎΠΊΡΡΠΆΠ°ΡΡΠ΅ΠΉ ΡΡΠ΅Π΄Π΅.Β
ΠΠ»ΠΎΡΠ½ΠΎΡΡΡ Π΄ΠΈΠ·Π΅Π»ΡΠ½ΠΎΠ³ΠΎ ΡΠΎΠΏΠ»ΠΈΠ²Π°
ΠΠ»ΠΎΡΠ½ΠΎΡΡΡ Π΄ΠΈΠ·ΡΠΎΠΏΠ»ΠΈΠ²Π° Π½Π΅ ΠΏΠΎΠΊΠ°Π·Π°ΡΠ΅Π»Ρ ΠΊ Π΄Π»Ρ Π·Π°ΠΌΠ΅ΡΠ·Π°Π½ΠΈΡ, Ρ Π°ΡΠ°ΠΊΡΠ΅ΡΠΈΠ·ΡΠ΅Ρ ΠΏΠΎΠΌΡΡΠ½Π΅Π½ΠΈΠ΅, ΡΠΈΠ»ΡΡΡΡΠ΅ΠΌΠΎΡΡΡ,Π·Π°ΠΌΠ΅ΡΠ·Π°Π½ΠΈΠ΅. Π§Π΅ΠΌ Π²ΡΡΠ΅ ΡΡΠΎΠ²Π΅Π½Ρ ΠΏΠ»ΠΎΡΠ½ΠΎΡΡΠΈ ΡΠΎΠΏΠ»ΠΈΠ²Π°, ΡΠ΅ΠΌ Π±ΠΎΠ»ΡΡΠ΅Π΅ ΠΎΠ½ΠΎ Π²ΡΠ΄Π΅Π»ΡΠ΅Ρ ΡΠ½Π΅ΡΠ³ΠΈΠΈ.ΠΡΠΎΠΌΠ΅ ΡΠΎΠ³ΠΎ ΡΡΠΎ Π½Π΅ ΠΏΠΎΡΡΠΎΡΠ½Π½Π°Ρ Π²Π΅Π»ΠΈΡΠΈΠ½Π°, ΠΊΠΎΡΠΎΡΠ°Ρ Π·Π°Π²ΠΈΡΠΈΡ ΠΎΡ ΠΊΠΎΠ»Π΅Π±Π°Π½ΠΈΠΉ ΡΠ΅ΠΌΠΏΠ΅ΡΠ°ΡΡΡΡ Π²ΠΎΠ·Π΄ΡΡ Π°.
Π‘ΠΊΠ°ΡΠ°ΡΡ ΠΏΠ°ΡΠΏΠΎΡΡ ΠΊΠ°ΡΠ΅ΡΡΠ²Π°.
ΠΠΈΡΡΡ ΠΈΠ»ΠΈ ΡΠΎΠ½Π½Ρ — Π² ΡΠ΅ΠΌ ΡΡΠΈΡΠ°ΡΡ Π΄ΠΈΠ·Π΅Π»ΡΠ½ΠΎΠ΅ ΡΠΎΠΌΠ»ΠΈΠ²ΠΎ. ΠΠ½ΡΠ΅ΡΠ΅ΡΠ½ΡΠ΅ ΡΠ°ΠΊΡΡ ΠΈ ΠΏΠΎΠ»Π΅Π·Π½Π°Ρ ΠΈΠ½ΡΠΎΡΠΌΠ°ΡΠΈΡ
ΠΡΠΎΠ±Π»Π΅ΠΌΠ° ΠΏΠ΅ΡΠ΅ΡΡΠ΅ΡΠ° Π΄ΠΈΠ·Π΅Π»ΡΠ½ΠΎΠ³ΠΎ ΡΠΎΠΏΠ»ΠΈΠ²Π° Π·Π°ΠΊΠ»ΡΡΠ°Π΅ΡΡΡ Π² ΡΠΎΠΌ, ΡΡΠΎ Π΄Π»Ρ ΡΠ°Π·Π½ΡΡ
ΡΠ΅Π»Π΅ΠΉ ΠΈΡΠΏΠΎΠ»ΡΠ·ΡΡΡ ΡΠ°Π·Π½ΡΠ΅ Π΅Π΄ΠΈΠ½ΠΈΡΡ ΠΈΠ·ΠΌΠ΅ΡΠ΅Π½ΠΈΡ. ΠΠ°ΠΏΡΠΈΠΌΠ΅Ρ, ΠΏΡΠΈ Π·Π°ΠΏΡΠ°Π²ΠΊΠ΅ ΡΡΠ°Π½ΡΠΏΠΎΡΡΠ½ΠΎΠ³ΠΎ ΡΡΠ΅Π΄ΡΡΠ²Π° ΡΠΎΠΏΠ»ΠΈΠ²ΠΎ ΡΡΠΈΡΠ°ΡΡ Π² Π»ΠΈΡΡΠ°Ρ
, ΠΏΠΎΡΠΊΠΎΠ»ΡΠΊΡ Π±Π΅Π½Π·ΠΎΠ±Π°ΠΊ ΡΠ°ΡΡΡΠΈΡΠ°Π½ Π½Π° ΠΎΠΏΡΠ΅Π΄Π΅Π»Π΅Π½Π½ΡΠΉ ΠΎΠ±ΡΠ΅ΠΌ Π³ΠΎΡΡΡΠ΅Π³ΠΎ. ΠΡΠΈ ΠΏΠ΅ΡΠ΅Π²ΠΎΠ·ΠΊΠ΅ ΠΏΠ°ΡΡΠΈΠΈ Π΄ΠΈΠ·Π΅Π»ΡΠ½ΠΎΠ³ΠΎ ΡΠΎΠΏΠ»ΠΈΠ²Π° ΡΠ°ΡΡΡΠΈΡΡΠ²Π°Π΅ΡΡΡ Π΅Π³ΠΎ ΠΌΠ°ΡΡΠ° Π² ΡΠΎΠ½Π½Π°Ρ
, ΠΏΠΎΡΠΎΠΌΡ ΡΡΠΎ ΡΡΠ°Π½ΡΠΏΠΎΡΡΠ½ΡΠ΅ ΡΡΠ΅Π΄ΡΡΠ²Π° ΠΈΠΌΠ΅ΡΡ ΠΎΠ³ΡΠ°Π½ΠΈΡΠ΅Π½ΠΈΡ ΠΏΠΎ Π³ΡΡΠ·ΠΎΠΏΠΎΠ΄ΡΠ΅ΠΌΠ½ΠΎΡΡΠΈ.
ΠΠ΅ΡΠ΅ΡΠ°ΡΡΠ΅Ρ ΠΏΡΠΎΠΈΠ·Π²ΠΎΠ΄ΠΈΡΡΡ ΡΠ°ΠΊΠΆΠ΅ ΠΈ Π² Π±ΡΡ
Π³Π°Π»ΡΠ΅ΡΡΠΊΠΈΡ
ΡΠ΅Π»ΡΡ
.
Π§ΡΠΎ ΠΆΠ΅ ΠΊΠ°ΡΠ°Π΅ΡΡΡ Π²Π·Π°ΠΈΠΌΠΎΡΠ°ΡΡΠ΅ΡΠΎΠ² ΠΌΠ΅ΠΆΠ΄Ρ ΠΏΠΎΡΡΠ°Π²ΡΠΈΠΊΠΎΠΌ Π½Π΅ΡΡΠ΅ΠΏΡΠΎΠ΄ΡΠΊΡΠΎΠ² ΠΈ ΠΎΠΏΡΠΎΠ²ΡΠΌ ΠΏΠΎΠΊΡΠΏΠ°ΡΠ΅Π»Π΅ΠΌ, ΡΠΎ Π² ΡΡΠΎΠΌ ΡΠ»ΡΡΠ°Π΅ ΡΠ΅Π»Π΅ΡΠΎΠΎΠ±ΡΠ°Π·Π½Π΅Π΅ ΠΈΡΠΏΠΎΠ»ΡΠ·ΠΎΠ²Π°ΡΡ Π² ΠΊΠ°ΡΠ΅ΡΡΠ²Π΅ Π΅Π΄ΠΈΠ½ΠΈΡ ΠΈΠ·ΠΌΠ΅ΡΠ΅Π½ΠΈΡ Π²ΡΡ ΠΆΠ΅ ΡΠΎΠ½Π½Ρ. ΠΡΠΈΡΠΈΠ½Π° ΡΡΠΎΠΌΡ — ΡΠΈΠ·ΠΈΡΠ΅ΡΠΊΠΈΠ΅ ΡΠ²ΠΎΠΉΡΡΠ²Π° Π΄ΠΈΠ·Π΅Π»ΡΠ½ΠΎΠ³ΠΎ ΡΠΎΠΏΠ»ΠΈΠ²Π°, Π° ΠΈΠΌΠ΅Π½Π½ΠΎ ΠΎΡΠΎΠ±Π΅Π½Π½ΠΎΡΡΡ ΠΆΠΈΠ΄ΠΊΠΎΡΡΠΈ ΠΈΠ·ΠΌΠ΅Π½ΡΡΡ ΠΎΠ±ΡΠ΅ΠΌ Π² Π·Π°Π²ΠΈΡΠΈΠΌΠΎΡΡΠΈ ΠΎΡ ΠΈΠ·ΠΌΠ΅Π½Π΅Π½ΠΈΠΉ ΡΠ΅ΠΌΠΏΠ΅ΡΠ°ΡΡΡΡ.
ΠΠ°ΡΡΠ° ΡΠΎΠΏΠ»ΠΈΠ²Π° ΡΠ°ΡΡΡΠΈΡΡΠ²Π°Π΅ΡΡΡ ΠΏΠΎ ΡΠΎΡΠΌΡΠ»Π΅ M = V*p (ΠΌΠ°ΡΡΠ° ΡΠ°Π²Π½Π° ΠΏΡΠΎΠΈΠ·Π²Π΅Π΄Π΅Π½ΠΈΡ ΠΎΠ±ΡΠ΅ΠΌΠ° ΠΈ ΠΏΠ»ΠΎΡΠ½ΠΎΡΡΠΈ).
ΠΠ»ΠΎΡΠ½ΠΎΡΡΡ Π΄ΠΈΠ·Π΅Π»ΡΠ½ΠΎΠ³ΠΎ ΡΠΎΠΏΠ»ΠΈΠ²Π° Π½Π΅ ΡΠ²Π»ΡΠ΅ΡΡΡ ΠΏΠΎΡΡΠΎΡΠ½Π½ΠΎΠΉ — ΠΎΠ½Π° ΠΌΠ΅Π½ΡΠ΅ΡΡΡ Π² Π·Π°Π²ΠΈΡΠΈΠΌΠΎΡΡΠΈ ΠΎΡ ΠΌΠ°ΡΠΊΠΈ ΡΠΎΠΏΠ»ΠΈΠ²Π° (ΡΠ΅Π·ΠΎΠ½Π½ΠΎΡΡΠΈ) ΠΈ ΡΠ΅ΠΌΠΏΠ΅ΡΠ°ΡΡΡΡ. ΠΠΠ‘Π’ΠΎΠΌ 305-2013 ΡΡΡΠ°Π½ΠΎΠ²Π»Π΅Π½Ρ ΠΌΠ°ΠΊΡΠΈΠΌΠ°Π»ΡΠ½ΡΠ΅ Π²Π΅Π»ΠΈΡΠΈΠ½Ρ ΠΏΠ»ΠΎΡΠ½ΠΎΡΡΠΈ Π΄Π»Ρ Π΄ΠΈΠ·ΡΠΎΠΏΠ»ΠΈΠ²Π° ΡΠ°Π·Π½ΡΡ ΠΌΠ°ΡΠΎΠΊ. Π’Π°ΠΊ, ΠΏΠ»ΠΎΡΠ½ΠΎΡΡΡ Π»Π΅ΡΠ½Π΅Π³ΠΎ ΡΠΎΠΏΠ»ΠΈΠ²Π° Π½Π΅ ΠΌΠΎΠΆΠ΅Ρ Π±ΡΡΡ Π±ΠΎΠ»ΡΡΠ΅ Π·Π½Π°ΡΠ΅Π½ΠΈΡ 863,4 ΠΊΠ³/ΠΌ3, Π° Π·ΠΈΠΌΠ½Π΅Π³ΠΎ — Π½Π΅ Π±ΠΎΠ»Π΅Π΅ 843,4 ΠΊΠ³/ΠΌ3. ΠΠΎ ΡΡΠΎ ΠΌΠ°ΠΊΡΠΈΠΌΠ°Π»ΡΠ½ΡΠ΅, Π° Π½Π΅ ΠΎΠ±ΡΠ·Π°ΡΠ΅Π»ΡΠ½ΡΠ΅ Π²Π΅Π»ΠΈΡΠΈΠ½Ρ, ΠΏΡΠΈΡΠ΅ΠΌ ΡΡΡΠ°Π½ΠΎΠ²Π»Π΅Π½Π½ΡΠ΅ Π΄Π»Ρ ΡΠ΅ΠΌΠΏΠ΅ΡΠ°ΡΡΡΡ ΠΎΠΊΡΡΠΆΠ°ΡΡΠ΅ΠΉ ΡΡΠ΅Π΄Ρ 15oΠ‘.
ΠΡΠΈ ΠΈΠ·ΠΌΠ΅Π½Π΅Π½ΠΈΠΈ ΡΠ΅ΠΌΠΏΠ΅ΡΠ°ΡΡΡΡ ΡΠΎΠΏΠ»ΠΈΠ²Π° Π½Π° 1oΠ‘ Π΅Π³ΠΎ ΠΏΠ»ΠΎΡΠ½ΠΎΡΡΡ ΠΈΠ·ΠΌΠ΅Π½ΠΈΡΡΡ ΠΎΠ±ΡΠ°ΡΠ½ΠΎ ΠΏΡΠΎΠΏΠΎΡΡΠΈΠΎΠ½Π°Π»ΡΠ½ΠΎ Π² ΡΡΠ΅Π΄Π½Π΅ΠΌ Π½Π° 0,7 ΠΊΠ³/ΠΌ3.
Π§Π΅ΠΌ Π²ΡΡΠ΅ ΡΠ΅ΠΌΠΏΠ΅ΡΠ°ΡΡΡΠ°, ΡΠ΅ΠΌ ΠΌΠ΅Π½ΡΡΠ΅ ΠΏΠ»ΠΎΡΠ½ΠΎΡΡΡ. Π’ΠΎ Π΅ΡΡΡ, Π΅ΡΠ»ΠΈ ΠΏΡΠΈ ΡΠ΅ΠΌΠΏΠ΅ΡΠ°ΡΡΡΠ΅ Π²ΠΎΠ·Π΄ΡΡ
Π° 15oΠ‘ ΠΏΠ»ΠΎΡΠ½ΠΎΡΡΡ Π΄ΠΈΠ·Π΅Π»ΡΠ½ΠΎΠ³ΠΎ ΡΠΎΠΏΠ»ΠΈΠ²Π° ΡΠΎΡΡΠ°Π²Π»ΡΠ΅Ρ, Π½Π°ΠΏΡΠΈΠΌΠ΅Ρ, 860 ΠΊΠ³/ΠΌ3, ΡΠΎ ΠΏΡΠΈ 20oΠ‘ ΠΏΠ»ΠΎΡΠ½ΠΎΡΡΡ Π±ΡΠ΄Π΅Ρ ΡΠΎΡΡΠ°Π²Π»ΡΡΡ 856,5 ΠΊΠ³/ΠΌ3.
Π’Π΅ΠΏΠ΅ΡΡ Π²Π΅ΡΠ½Π΅ΠΌΡΡ ΠΊ ΡΠΎΡΠΌΡΠ»Π΅ ΡΠ°ΡΡΠ΅ΡΠ° ΠΌΠ°ΡΡΡ M = V*p. ΠΡΠ»ΠΈ Π±Ρ ΠΌΡ ΡΠ°ΡΡΡΠΈΡΡΠ²Π°Π»ΠΈ ΠΌΠ°ΡΡΡ ΠΏΠΎ ΠΏΠΎΡΡΠΎΡΠ½Π½ΠΎΠΌΡ ΠΎΠ±ΡΠ΅ΠΌΡ, Π½Π°ΠΏΡΠΈΠΌΠ΅Ρ, Π² 10000 Π»ΠΈΡΡΠΎΠ² (10 ΠΊΡΠ±ΠΎΠΌΠ΅ΡΡΠΎΠ²), ΡΠΎ ΠΏΠΎΠ»ΡΡΠΈΠ»ΠΈ Π±Ρ Π²Π΅Ρ Π½Π°ΡΠ΅ΠΉ ΠΏΠ°ΡΡΠΈΠΈ ΡΠΎΠΏΠ»ΠΈΠ²Π° ΠΏΡΠΈ ΡΠ΅ΠΌΠΏΠ΅ΡΠ°ΡΡΡΠ΅ ΠΎΠΊΡΡΠΆΠ°ΡΡΠ΅ΠΉ ΡΡΠ΅Π΄Ρ 15oΠ‘ ΡΠ°Π²Π½ΡΠΉ 8600 ΠΊΠ³, Π° ΠΏΡΠΈ ΡΠ΅ΠΌΠΏΠ΅ΡΠ°ΡΡΡΠ΅ 20oΠ‘ — 8565 ΠΊΠ³. ΠΠ΄Π½Π°ΠΊΠΎ, Π΄Π»Ρ ΡΡΠΎΠ³ΠΎ Π½Π°ΠΌ ΠΏΡΠΈΡΠ»ΠΎΡΡ Π±Ρ ΠΏΠΎΠΌΠ΅ΡΡΠΈΡΡ ΡΠΊΠ°Π·Π°Π½Π½ΡΠΉ ΠΎΠ±ΡΠ΅ΠΌ ΡΠΎΠΏΠ»ΠΈΠ²Π° Π² ΡΡΠ»ΠΎΠ²ΠΈΡ, ΠΏΡΠ΅ΠΏΡΡΡΡΠ²ΡΡΡΠΈΠ΅ ΠΈΠ·ΠΌΠ΅Π½Π΅Π½ΠΈΡ ΠΎΠ±ΡΠ΅ΠΌΠ° Π² ΡΠ²ΡΠ·ΠΈ Ρ ΠΈΠ·ΠΌΠ΅Π½Π΅Π½ΠΈΠ΅ΠΌ ΡΠ΅ΠΌΠΏΠ΅ΡΠ°ΡΡΡΡ. Π Π²Π°ΠΊΡΡΠΌ, Π½Π°ΠΏΡΠΈΠΌΠ΅Ρ. ΠΠΎ ΠΏΠΎΡΠΊΠΎΠ»ΡΠΊΡ Π½Π° ΡΠ΅Π³ΠΎΠ΄Π½ΡΡΠ½ΠΈΠΉ Π΄Π΅Π½Ρ Π½ΠΈΠΊΡΠΎ Π½Π΅ ΠΏΠ΅ΡΠ΅Π²ΠΎΠ·ΠΈΡ ΠΎΠΏΡΠΎΠ²ΡΠ΅ ΠΏΠ°ΡΡΠΈΠΈ ΡΠΎΠΏΠ»ΠΈΠ²Π° Π² Π²Π°ΠΊΡΡΠΌΠ½ΡΡ Π΅ΠΌΠΊΠΎΡΡΡΡ , ΠΆΠΈΠ΄ΠΊΠΎΡΡΡ Π² Π·Π°Π²ΠΈΡΠΈΠΌΠΎΡΡΠΈ ΠΎΡ ΠΈΠ·ΠΌΠ΅Π½Π΅Π½ΠΈΡ ΡΠ΅ΠΌΠΏΠ΅ΡΠ°ΡΡΡ ΠΈΠΌΠ΅Π΅Ρ Π²ΠΎΠ·ΠΌΠΎΠΆΠ½ΠΎΡΡΡ ΡΠ²ΠΎΠ±ΠΎΠ΄Π½ΠΎ ΠΈΠ·ΠΌΠ΅Π½ΡΡΡ ΠΎΠ±ΡΠ΅ΠΌ — ΡΠ°ΡΡΠΈΡΡΡΡΡΡ ΠΈΠ»ΠΈ ΡΠΆΠΈΠΌΠ°ΡΡΡΡ, ΠΊΠ°ΠΊ Π΅ΠΉ ΠΈ ΠΏΠΎΠ»ΠΎΠΆΠ΅Π½ΠΎ ΠΏΠΎ Π·Π°ΠΊΠΎΠ½Π°ΠΌ ΡΠΈΠ·ΠΈΠΊΠΈ.
Π Π²ΠΎΡ ΠΌΠ°ΡΡΠ° ΠΊΠ°ΠΊ ΡΠ°Π· ΠΎΡΡΠ°Π΅ΡΡΡ Π²Π΅Π»ΠΈΡΠΈΠ½ΠΎΠΉ ΠΏΠΎΡΡΠΎΡΠ½Π½ΠΎΠΉ, Π½Π΅Π·Π°Π²ΠΈΡΠΈΠΌΠΎ ΠΎΡ ΡΠ΅ΠΌΠΏΠ΅ΡΠ°ΡΡΡΡ ΠΎΠΊΡΡΠΆΠ°ΡΡΠ΅ΠΉ ΡΡΠ΅Π΄Ρ ΠΈ ΠΌΠ°ΡΠΊΠΈ ΡΠΎΠΏΠ»ΠΈΠ²Π°.
ΠΡΠ»ΠΈ Π² Π±Π΅Π½Π·ΠΎΠ²ΠΎΠ·Ρ Π½Π° Π½Π΅ΡΡΠ΅Π±Π°Π·Π΅ Π·Π°Π»ΠΈΡΠΎ 8600 ΠΊΠ³ Π΄ΠΈΠ·Π΅Π»ΡΠ½ΠΎΠ³ΠΎ ΡΠΎΠΏΠ»ΠΈΠ²Π° ΠΏΡΠΈ 15oΠ‘, ΡΡΠΎ ΡΠΎΡΡΠ°Π²Π»ΡΠ΅Ρ 10 ΠΌ3, ΡΠΎ ΠΊ ΠΏΠΎΠΊΡΠΏΠ°ΡΠ΅Π»Ρ Π΄Π°ΠΆΠ΅ ΠΏΡΠΈ ΠΏΠΎΠ²ΡΡΠ΅Π½ΠΈΠΈ ΡΠ΅ΠΌΠΏΠ΅ΡΠ°ΡΡΡΡ Π΄ΠΎ 20oΠ‘ ΠΏΡΠΈΠ΅Π΄Π΅Ρ 8,6 ΡΠΎΠ½Π½, Π½ΠΎ ΠΎΠ±ΡΠ΅ΠΌ ΠΏΠ°ΡΡΠΈΠΈ ΡΠΆΠ΅ Π±ΡΠ΄Π΅Ρ ΡΠΎΡΡΠ°Π²Π»ΡΡΡ 10,04 ΠΊΡΠ±Π°, ΡΠΎ Π΅ΡΡΡ Π½Π° 40 Π»ΠΈΡΡΠΎΠ² Π±ΠΎΠ»ΡΡΠ΅.
Π‘ΠΎΠ³Π»Π°ΡΠΈΡΠ΅ΡΡ — ΡΠ°ΡΡΠ΅Ρ Ρ ΠΏΠΎΡΡΠ°Π²ΡΠΈΠΊΠΎΠΌ ΠΏΠΎ ΡΡΡΠ°Π½ΠΎΠ²Π»Π΅Π½Π½ΠΎΠΌΡ Π½Π° Π±Π΅Π½Π·ΠΎΠ²ΠΎΠ·Π΅ ΡΡΠ΅ΡΡΠΈΠΊΡ Π² ΡΠΊΠ°Π·Π°Π½Π½ΠΎΠΌ ΡΠ»ΡΡΠ°Π΅ Π±ΡΠ΄Π΅Ρ Π½Π΅ Π² ΠΏΠΎΠ»ΡΠ·Ρ ΠΏΠΎΠΊΡΠΏΠ°ΡΠ΅Π»Ρ, Π½ΠΎ, ΡΠ²Ρ, Π΄Π°Π»Π΅ΠΊΠΎ Π½Π΅ ΠΊΠ°ΠΆΠ΄ΡΠΉ ΠΎΠΏΡΠΎΠ²ΠΈΠΊ ΡΠ°ΡΠΏΠΎΠ»Π°Π³Π°Π΅Ρ ΠΎΠ±ΠΎΡΡΠ΄ΠΎΠ²Π°Π½ΠΈΠ΅ΠΌ, ΠΏΠΎΠ·Π²ΠΎΠ»ΡΡΡΠΈΠΌ Π²Π·Π²Π΅ΡΠΈΡΡ Π·Π°ΠΊΡΠΏΠ»Π΅Π½Π½ΡΡ ΠΏΠ°ΡΡΠΈΡ ΠΏΡΠΈ ΠΏΡΠΈΠ΅ΠΌΠΊΠ΅. ΠΠΎ ΡΡΠΎΠΉ ΠΏΡΠΈΡΠΈΠ½Π΅ Π±ΠΎΠ»ΡΡΠΈΠ½ΡΡΠ²ΠΎ Π·Π°ΠΊΡΠΏΡΠΈΠΊΠΎΠ² Π΄ΠΈΠ·Π΅Π»ΡΠ½ΠΎΠ³ΠΎ ΡΠΎΠΏΠ»ΠΈΠ²Π° ΡΠΎΠ³Π»Π°ΡΠ°ΡΡΡΡ Π½Π° Π²Π·Π°ΠΈΠΌΠΎΡΠ°ΡΡΠ΅Ρ ΠΏΠΎ ΠΎΠ±ΡΠ΅ΠΌΡ, ΠΏΡΠΎΠΈΠ·Π²ΠΎΠ΄Ρ ΠΏΠ΅ΡΠ΅ΡΠ°ΡΡΠ΅Ρ Π΄Π°Π½Π½ΡΡ , ΠΏΠΎΠ»ΡΡΠ΅Π½Π½ΡΡ ΠΏΡΠΈ ΠΏΡΠΈΠ΅ΠΌΠΊΠ΅, ΠΈ ΡΠ²Π΅ΡΡΡ ΠΈΡ ΡΠΎ ΡΠ²Π΅Π΄Π΅Π½ΠΈΡΠΌΠΈ ΠΎ ΠΏΠ°ΡΡΠΈΠΈ, ΡΠΊΠ°Π·Π°Π½Π½ΡΠΌΠΈ Π² ΠΏΠ°ΡΠΏΠΎΡΡΠ΅ ΠΊΠ°ΡΠ΅ΡΡΠ²Π°.
ΠΠ°ΠΆΠ½ΠΎ ΠΏΠΎΠΌΠ½ΠΈΡΡ, ΡΡΠΎ Π½Π°Π΄Π΅ΠΆΠ½ΡΠΉ ΠΏΠΎΡΡΠ°Π²ΡΠΈΠΊ Π½Π΅ΡΡΠ΅ΠΏΡΠΎΠ΄ΡΠΊΡΠΎΠ² Π½Π° ΠΊΠ°ΠΆΠ΄ΡΡ ΠΏΠ°ΡΡΠΈΡ Π΄ΠΈΠ·Π΅Π»ΡΠ½ΠΎΠ³ΠΎ ΡΠΎΠΏΠ»ΠΈΠ²Π° ΠΏΡΠ΅Π΄ΠΎΡΡΠ°Π²Π»ΡΠ΅Ρ ΠΏΠ°ΡΠΏΠΎΡΡ ΠΊΠ°ΡΠ΅ΡΡΠ²Π°, Π² ΠΊΠΎΡΠΎΡΠΎΠΌ ΡΠΊΠ°Π·ΡΠ²Π°ΡΡΡΡ ΠΈ ΠΌΠ°ΡΡΠ° ΠΎΡΠ³ΡΡΠΆΠ΅Π½Π½ΠΎΠ³ΠΎ ΡΠΎΠΏΠ»ΠΈΠ²Π° Π² ΡΠΎΠ½Π½Π°Ρ
, ΠΈ Π΅Π³ΠΎ ΡΡΡΠ°Π½ΠΎΠ²Π»Π΅Π½Π½Π°Ρ ΠΠΠ‘Π’ΠΎΠΌ ΠΈ ΡΠ°ΠΊΡΠΈΡΠ΅ΡΠΊΠ°Ρ ΠΏΠ»ΠΎΡΠ½ΠΎΡΡΡ ΠΏΡΠΈ 15oΠ‘.
ΠΡΠ»ΠΈ Π½Π΅Ρ Π²ΠΎΠ·ΠΌΠΎΠΆΠ½ΠΎΡΡΠΈ Π²Π·Π²Π΅ΡΠΈΡΡ ΠΏΠ°ΡΡΠΈΡ ΠΏΡΠΈ ΠΏΡΠΈΠ΅ΠΌΠΊΠ΅, ΡΠΎ ΠΏΡΠΈ Π½Π°Π»ΠΈΡΠΈΠΈ ΠΏΠ°ΡΠΏΠΎΡΡΠ° ΠΊΠ°ΡΠ΅ΡΡΠ²Π° Π»Π΅Π³ΠΊΠΎ ΡΠ°ΡΡΡΠΈΡΠ°ΡΡ ΠΎΠ±ΡΠ΅ΠΌ Π·Π°Π³ΡΡΠΆΠ΅Π½Π½ΠΎΠ³ΠΎ ΡΠΎΠΏΠ»ΠΈΠ²Π°. ΠΡΡ, ΡΡΠΎ ΠΏΠΎΡΡΠ΅Π±ΡΠ΅ΡΡΡ ΠΎΡ ΠΏΡΠΈΠ΅ΠΌΡΠΈΠΊΠ° — ΠΈΠ·ΠΌΠ΅ΡΠΈΡΡ Π°ΡΠ΅ΠΎΠΌΠ΅ΡΡΠΎΠΌ ΠΏΠ»ΠΎΡΠ½ΠΎΡΡΡ ΡΠΎΠΏΠ»ΠΈΠ²Π° Π½Π° ΠΌΠΎΠΌΠ΅Π½Ρ ΠΏΡΠΈΠ΅ΠΌΠΊΠΈ, ΡΠΌΠ½ΠΎΠΆΠΈΡΡ Π΅Π΅ Π½Π° ΠΏΡΠΈΠ½ΡΡΡΠΉ ΠΎΠ±ΡΠ΅ΠΌ ΠΈ ΡΡΠ°Π²Π½ΠΈΡΡ ΠΏΠΎΠ»ΡΡΠ΅Π½Π½ΡΠΉ ΡΠΎΠ½Π½Π°ΠΆ Ρ ΡΠ΅ΠΌ, ΡΡΠΎ ΡΠΊΠ°Π·Π°Π½ Π² ΠΏΠ°ΡΠΏΠΎΡΡΠ΅ ΠΊΠ°ΡΠ΅ΡΡΠ²Π°. ΠΠ»Π°Π²Π½ΠΎΠ΅ — Π²ΡΠ±ΡΠ°ΡΡ Π·Π°Π±ΠΎΡΡΡΠ΅Π³ΠΎΡΡ ΠΎ ΡΠ²ΠΎΠ΅ΠΉ ΡΠ΅ΠΏΡΡΠ°ΡΠΈΠΈ ΠΏΠΎΡΡΠ°Π²ΡΠΈΠΊΠ° Ρ ΡΠ΅ΡΡΠ½ΠΎΠΉ ΡΠ΅Π½ΠΎΠ²ΠΎΠΉ ΠΏΠΎΠ»ΠΈΡΠΈΠΊΠΎΠΉ.
ΠΠΎΠ·Π½ΠΈΠΊΠ»ΠΈ Π²ΠΎΠΏΡΠΎΡΡ?
ΠΠ°ΠΏΠΎΠ»Π½ΠΈΡΠ΅ ΡΠΎΡΠΌΡ ΠΎΠ±ΡΠ°ΡΠ½ΠΎΠΉ ΡΠ²ΡΠ·ΠΈ, Π½Π°ΡΠΈ ΠΌΠ΅Π½Π΅Π΄ΠΆΠ΅ΡΡ ΡΠ²ΡΠΆΡΡΡΡ Ρ Π²Π°ΠΌΠΈ!
ΠΠΎΡΠ΅ΠΌΡ Π·ΠΈΠΌΠΎΠΉ ΡΠ°ΡΡ ΠΎΠ΄ ΡΠΎΠΏΠ»ΠΈΠ²Π° Π²ΡΡΠ΅, ΡΠ΅ΠΌ Π»Π΅ΡΠΎΠΌ?
ΠΠ²ΡΠΎΠΏΠ΅ΠΉΡΠΊΠ°Ρ Π½ΠΎΡΠΌΠ°Π»ΠΈΠ·Π°ΡΠΈΡ ΡΠΎΠΏΠ»ΠΈΠ²Π° Ρ
ΠΎΡΠΎΡΠΎ ΠΏΡΠΎΠ΄ΡΠΌΠ°Π½Π°: ΡΠΏΠ΅ΡΠΈΡΠΈΠΊΠ°ΡΠΈΠΈ EN228 (Π΄Π»Ρ Π±Π΅Π½Π·ΠΈΠ½Π°) ΠΈ EN590 (Π΄Π»Ρ Π΄ΠΈΠ·Π΅Π»ΡΠ½ΠΎΠ³ΠΎ ΡΠΎΠΏΠ»ΠΈΠ²Π°) Π³Π°ΡΠ°Π½ΡΠΈΡΡΡΡ Π½Π°ΠΈΠ»ΡΡΡΠ΅Π΅ ΡΠΎΠΎΡΠ²Π΅ΡΡΡΠ²ΠΈΠ΅ ΡΠΎΠΏΠ»ΠΈΠ²Π° ΠΈ ΡΠΏΠΎΡΠΎΠ±Π° Π΅Π³ΠΎ ΠΈΡΠΏΠΎΠ»ΡΠ·ΠΎΠ²Π°Π½ΠΈΡ Π² Π±ΠΎΠ»ΡΡΠΎΠΉ Π³ΡΡΠΏΠΏΠ΅ ΡΡΠ΅Π΄. ΠΠ»ΠΈΠΌΠ°ΡΠΈΡΠ΅ΡΠΊΠΈΠ΅ ΡΡΠ»ΠΎΠ²ΠΈΡ Π²Ρ
ΠΎΠ΄ΡΡ Π² ΡΠΈΡΠ»ΠΎ Π²ΡΠ΅Ρ
ΠΏΠ°ΡΠ°ΠΌΠ΅ΡΡΠΎΠ², ΠΎΡ
Π²Π°ΡΡΠ²Π°Π΅ΠΌΡΡ
ΡΡΠΈΠΌΠΈ ΡΡΠ°Π½Π΄Π°ΡΡΠ°ΠΌΠΈ.
ΠΠ°ΠΊ Π²Ρ, Π½Π°Π²Π΅ΡΠ½ΠΎΠ΅, Π½Π΅ Π·Π½Π°Π΅ΡΠ΅, Π²ΠΎ Π€ΡΠ°Π½ΡΠΈΠΈ Π΄Π²Π° ΡΠΎΡΡΠ° Π΄ΠΈΠ·Π΅Π»ΡΠ½ΠΎΠ³ΠΎ ΡΠΎΠΏΠ»ΠΈΠ²Π° ΠΈ ΠΌΠ½ΠΎΠ³ΠΎ Π±Π΅Π½Π·ΠΈΠ½Π°.ΠΡΠΈ ΠΌΠ°ΡΠΊΠΈ Π½Π΅ ΠΎΡΠ½ΠΎΡΡΡΡΡ Π½ΠΈ ΠΊ ΡΡΠ°Π½Π΄Π°ΡΡΠ½ΠΎΠΌΡ Π΄ΠΈΠ·Π΅Π»ΡΠ½ΠΎΠΌΡ ΡΠΎΠΏΠ»ΠΈΠ²Ρ, Π½ΠΈ ΠΊ ΠΏΡΠ΅ΠΌΠΈΠ°Π»ΡΠ½ΠΎΠΌΡ, Π½ΠΈ ΠΊ SP85 / 95, Super87 / 98 ΠΈΠ»ΠΈ E-10 (SP95 — ΡΠΌΠ΅ΡΡ ΡΡΠ°Π½ΠΎΠ»Π°). Π‘ΠΎΡΡΠ°, ΠΎ ΠΊΠΎΡΠΎΡΡΡ ΠΌΡ Π³ΠΎΠ²ΠΎΡΠΈΠΌ, ΠΎΡΠ½ΠΎΡΡΡΡΡ ΠΊ ΠΊΠΎΠ»Π΅Π±Π°Π½ΠΈΡΠΌ ΠΊΠ»ΠΈΠΌΠ°ΡΠΈΡΠ΅ΡΠΊΠΈΡ ΡΡΠ»ΠΎΠ²ΠΈΠΉ, Π² ΡΠ°ΡΡΠ½ΠΎΡΡΠΈ ΠΊ ΠΏΠ΅ΡΠ΅ΠΏΠ°Π΄Π°ΠΌ ΡΠ΅ΠΌΠΏΠ΅ΡΠ°ΡΡΡ ΠΎΡ Β«Π»Π΅ΡΠ½Π΅Π³ΠΎΒ» ΠΈ Β«Π·ΠΈΠΌΠ½Π΅Π³ΠΎΒ» ΡΠ΅Π·ΠΎΠ½Π°.
Π ΠΊΠ°ΠΊ Π½Π°ΡΡΠ΅Ρ Π΄ΠΈΠ·Π΅Π»ΡΠ½ΠΎΠ³ΠΎ ΡΠΎΠΏΠ»ΠΈΠ²Π°?
ΠΠ΅ΡΡΠ΅ΠΏΠ΅ΡΠ΅ΡΠ°Π±Π°ΡΡΠ²Π°ΡΡΠΈΠ΅ ΠΏΡΠ΅Π΄ΠΏΡΠΈΡΡΠΈΡ ΠΌΠΎΠ΄ΠΈΡΠΈΡΠΈΡΡΡΡ ΡΠΎΡΡΠ°Π² ΡΠΎΠΏΠ»ΠΈΠ²Π° Π΄Π»Ρ ΡΠΎΠΎΡΠ²Π΅ΡΡΡΠ²ΠΈΡ Π»Π΅ΡΠ½ΠΈΠΌ (Ρ 1 Π°ΠΏΡΠ΅Π»Ρ ΠΏΠΎ 31 ΠΎΠΊΡΡΠ±ΡΡ) ΠΈ Π·ΠΈΠΌΠ½ΠΈΠΌ (Ρ 1 Π½ΠΎΡΠ±ΡΡ ΠΏΠΎ 31 ΠΌΠ°ΡΡΠ°) ΠΊΠ»ΠΈΠΌΠ°ΡΠΈΡΠ΅ΡΠΊΠΈΠΌ ΡΡΠ»ΠΎΠ²ΠΈΡΠΌ, ΡΡΠΎΠ±Ρ Π΄Π²ΠΈΠ³Π°ΡΠ΅Π»Ρ ΠΌΠΎΠ³ ΡΠ°Π±ΠΎΡΠ°ΡΡ Π΄ΠΎΠ»ΠΆΠ½ΡΠΌ ΠΎΠ±ΡΠ°Π·ΠΎΠΌ ΠΈ Π±Π΅Π·ΠΎΠΏΠ°ΡΠ½ΠΎ.
Π Π·ΠΈΠΌΠ½ΠΈΠΉ ΠΏΠ΅ΡΠΈΠΎΠ΄ Π΄ΠΈΠ·Π΅Π»ΡΠ½ΡΠΉ Π΄Π²ΠΈΠ³Π°ΡΠ΅Π»Ρ Π΄ΠΎΠ»ΠΆΠ΅Π½ Π·Π°ΠΏΡΡΠΊΠ°ΡΡΡΡ Π² Ρ ΠΎΠ»ΠΎΠ΄Π½ΡΡ ΠΏΠΎΠ³ΠΎΠ΄Ρ. ΠΠ°ΠΊ ΠΏΡΠ°Π²ΠΈΠ»ΠΎ, ΡΠ΅ΠΌΠΏΠ΅ΡΠ°ΡΡΡΠ° ΠΎΠΏΡΡΠΊΠ°Π΅ΡΡΡ Π½ΠΈΠΆΠ΅ 0 Β° C, ΠΎΡΠΎΠ±Π΅Π½Π½ΠΎ Π½ΠΎΡΡΡ. ΠΡΠΎ ΠΌΠΎΠΆΠ΅Ρ ΠΏΡΠΈΠ²Π΅ΡΡΠΈ ΠΊ ΡΠ΅ΡΡΠ΅Π·Π½ΠΎΠΉ ΠΏΡΠΎΠ±Π»Π΅ΠΌΠ΅, ΡΡΠΈΡΡΠ²Π°Ρ, ΡΡΠΎ Π΄ΠΈΠ·Π΅Π»ΡΠ½ΠΎΠ΅ ΡΠΎΠΏΠ»ΠΈΠ²ΠΎ ΡΠΎΡΡΠΎΠΈΡ ΠΈΠ· ΠΌΠ½ΠΎΠ³ΠΈΡ ΠΊΠΎΠΌΠΏΠΎΠ½Π΅Π½ΡΠΎΠ² ΠΏΠ°ΡΠ°ΡΠΈΠ½ΠΎΠ²ΠΎΠ³ΠΎ ΡΠΈΠΏΠ°.
ΠΠ°ΡΠ°ΡΠΈΠ½ ΡΠΎΡΡΠΎΠΈΡ ΠΈΠ· Π°ΡΠΎΠΌΠΎΠ² ΡΠ³Π»Π΅ΡΠΎΠ΄Π°, ΡΠ²ΡΠ·Π°Π½Π½ΡΡ
Π΄ΡΡΠ³ Ρ Π΄ΡΡΠ³ΠΎΠΌ (ΠΊΠ°ΠΊ ΠΏΡΠΎΠ²ΠΎΠ»ΠΎΠΊΠ°), ΠΎΠ±ΡΠ°Π·ΡΡΡΠΈΡ
Π±ΠΎΠ»Π΅Π΅ ΠΈΠ»ΠΈ ΠΌΠ΅Π½Π΅Π΅ Π΄Π»ΠΈΠ½Π½ΡΠ΅ ΡΠ΅ΠΏΠΎΡΠΊΠΈ.
ΠΡΠ»ΠΈ ΡΡΠ° ΡΠ΅ΠΏΠΎΡΠΊΠ° ΡΠ»ΠΈΡΠΊΠΎΠΌ Π΄Π»ΠΈΠ½Π½Π°Ρ, ΡΠΎ Ρ Π½Π°Ρ Π΅ΡΡΡ Π²ΠΎΡΠΊ Π΄Π»Ρ ΡΠ²Π΅ΡΠΈ! ΠΡΠΎ ΠΎΡΠ΅Π½Ρ ΠΊΡΠ°ΠΉΠ½ΠΈΠΉ ΡΠ»ΡΡΠ°ΠΉ, Π½ΠΎ Π½Π΅ΡΡΠ΅ΠΏΠ΅ΡΠ΅ΡΠ°Π±ΠΎΡΡΠΈΠΊΠΈ Π΄ΠΎΠ»ΠΆΠ½Ρ ΠΏΡΠ΅Π΄ΠΎΡΠ²ΡΠ°ΡΠ°ΡΡ Π·Π°ΠΌΠ΅ΡΠ·Π°Π½ΠΈΠ΅ ΠΌΠΎΠ»Π΅ΠΊΡΠ» ΠΏΠ°ΡΠ°ΡΠΈΠ½Π° / ΠΏΠ°ΡΠ°ΡΠΈΠ½Π° Π² Π±Π°ΠΊΠ΅, ΡΠΎΠΏΠ»ΠΈΠ²ΠΎΠΏΡΠΎΠ²ΠΎΠ΄Π΅ ΠΈΠ»ΠΈ ΡΠΈΠ»ΡΡΡΠ΅.
ΠΠ΅ΡΡΠ΅ΠΏΠ΅ΡΠ΅ΡΠ°Π±ΠΎΡΡΠΈΠΊΠΈ Π½Π°Π²ΡΠ·ΡΠ²Π°ΡΡ ΡΠ΅Π±Ρ, ΡΡΠΎΠ±Ρ ΡΠΎΠΎΡΠ²Π΅ΡΡΡΠ²ΠΎΠ²Π°ΡΡ Π΄ΡΡΠ³ΠΎΠΌΡ ΡΡΠ°Π½Π΄Π°ΡΡΡ (Π½Π΅ ΠΎΠ±ΡΠ·Π°ΡΠ΅Π»ΡΠ½ΠΎΠΌΡ Π΄Π»Ρ ΡΠΎΠ·Π½ΠΈΡΠ½ΡΡ ΠΏΡΠΎΠ΄Π°Π²ΡΠΎΠ² ΠΌΠ°ΡΡΠΎΠ²ΠΎΠ³ΠΎ ΡΡΠ½ΠΊΠ° ΠΈ Π½Π΅Π·Π°Π²ΠΈΡΠΈΠΌΡΡ ΠΌΠ°Π³Π°Π·ΠΈΠ½ΠΎΠ²): Π½ΠΎΡΠΌΡ ΡΠ΅ΠΌΠΏΠ΅ΡΠ°ΡΡΡΡ ΠΏΠΎΠΌΡΡΠ½Π΅Π½ΠΈΡ. ΠΡΠΎΡ ΡΡΠ°Π½Π΄Π°ΡΡ ΠΎΠΏΡΠ΅Π΄Π΅Π»ΡΠ΅Ρ ΡΠ΅ΠΌΠΏΠ΅ΡΠ°ΡΡΡΡ, Ρ ΠΊΠΎΡΠΎΡΠΎΠΉ ΠΏΠ°ΡΠ°ΡΠΈΠ½ Π½Π°ΡΠΈΠ½Π°Π΅Ρ Π·Π°ΠΌΠ΅ΡΠ·Π°ΡΡ.
ΠΠ»Ρ ΡΠ΄ΠΎΠ²Π»Π΅ΡΠ²ΠΎΡΠ΅Π½ΠΈΡ ΡΡΠ΅Π±ΠΎΠ²Π°Π½ΠΈΠΉ Π±ΠΎΠ»Π΅Π΅ Π»Π΅Π³ΠΊΠΈΠ΅ ΠΈ Π±ΠΎΠ»Π΅Π΅ ΠΊΠΎΡΠΎΡΠΊΠΈΠ΅ ΠΌΠΎΠ»Π΅ΠΊΡΠ»Ρ Π΄ΠΎΠ±Π°Π²Π»ΡΡΡΡΡ Π²ΠΎ Π²ΡΠ΅ΠΌΡ ΠΎΠ±ΡΠ°Π±ΠΎΡΠΊΠΈ Π΄ΠΈΠ·Π΅Π»ΡΠ½ΠΎΠ³ΠΎ ΡΠΎΠΏΠ»ΠΈΠ²Π° Ρ Π΄ΠΎΠ±Π°Π²ΠΊΠ°ΠΌΠΈ. ΠΡΠΈ ΠΌΠΎΠ»Π΅ΠΊΡΠ»Ρ ΠΎΠ±ΡΡΠ½ΠΎ Π·Π°ΡΠ΅Π·Π΅ΡΠ²ΠΈΡΠΎΠ²Π°Π½Ρ Π΄Π»Ρ ΠΊΠ΅ΡΠΎΡΠΈΠ½Π°, ΠΈΡΠΏΠΎΠ»ΡΠ·ΡΠ΅ΠΌΠΎΠ³ΠΎ Π² Π°Π²ΠΈΠ°Π»Π°ΠΉΠ½Π΅ΡΠ°Ρ (ΠΏΡΠΈ ΡΠ΅ΠΌΠΏΠ΅ΡΠ°ΡΡΡΠ°Ρ Π΄ΠΎ -60 Β° C / -76 Β° F). Π’Π°ΠΊΠΈΠΌ ΠΎΠ±ΡΠ°Π·ΠΎΠΌ, Π½Π΅ΡΡΠ΅ΠΏΠ΅ΡΠ΅ΡΠ°Π±ΠΎΡΡΠΈΠΊΠΈ ΡΠΎΠ·Π΄Π°ΡΡ Π±ΠΎΠ»Π΅Π΅ Π»Π΅Π³ΠΊΠΎΠ΅ ΡΠΎΠΏΠ»ΠΈΠ²ΠΎ, Π΄ΠΎΠ±Π°Π²Π»ΡΡ Π΄ΠΎ 20% ΠΊΠ΅ΡΠΎΡΠΈΠ½Π°.
ΠΠ΅ΡΠΎΠΌ ΠΈΠ·-Π·Π° ΠΌΠ΅Π½Π΅Π΅ ΡΡΡΠΎΠ³ΠΈΡ ΠΏΡΠ°Π²ΠΈΠ» Π½Π΅ΡΡΠ΅ΠΏΠ΅ΡΠ΅ΡΠ°Π±Π°ΡΡΠ²Π°ΡΡΠΈΠΌ ΠΏΡΠ΅Π΄ΠΏΡΠΈΡΡΠΈΡΠΌ Π½Π΅ Π½ΡΠΆΠ½ΠΎ Π΄ΠΎΠ±Π°Π²Π»ΡΡΡ ΠΊΠ΅ΡΠΎΡΠΈΠ½ ΠΈΠ»ΠΈ Π΄ΡΡΠ³ΠΈΠ΅ ΠΏΡΠΈΡΠ°Π΄ΠΊΠΈ.
ΠΠ°ΠΊ ΡΡΠΎ Π²Π»ΠΈΡΠ΅Ρ Π½Π° ΡΠ°ΡΡ ΠΎΠ΄ ΡΠΎΠΏΠ»ΠΈΠ²Π°?
ΠΠ° ΡΡΠ΅Ρ Π΄ΠΎΠ±Π°Π²Π»Π΅Π½ΠΈΡ Π»Π΅Π³ΠΊΠΈΡ
ΠΌΠΎΠ»Π΅ΠΊΡΠ», ΠΊΠΎΡΠΎΡΡΠ΅ ΠΏΠΎΠΌΠΎΠ³Π°ΡΡ Π·Π°Π²Π΅ΡΡΠΈ Π°Π²ΡΠΎΠΌΠΎΠ±ΠΈΠ»Ρ ΠΏΡΠΈ Π·ΠΈΠΌΠ½ΠΈΡ
ΡΠ΅ΠΌΠΏΠ΅ΡΠ°ΡΡΡΠ°Ρ
, ΠΏΠ»ΠΎΡΠ½ΠΎΡΡΡ Π΄ΠΈΠ·Π΅Π»ΡΠ½ΠΎΠ³ΠΎ ΡΠΎΠΏΠ»ΠΈΠ²Π° ΡΠ½ΠΈΠΆΠ°Π΅ΡΡΡ.
ΠΠ°ΠΏΠΎΠΌΠΈΠ½Π°Π΅ΠΌ, ΡΡΠΎ ΠΏΠ»ΠΎΡΠ½ΠΎΡΡΡ — ΡΡΠΎ Π²Π΅Ρ Π΄ΠΈΠ·Π΅Π»ΡΠ½ΠΎΠ³ΠΎ ΡΠΎΠΏΠ»ΠΈΠ²Π° Π² ΠΊΠΈΠ»ΠΎΠ³ΡΠ°ΠΌΠΌΠ°Ρ
. Π ΡΠ΅Π·ΡΠ»ΡΡΠ°ΡΠ΅ Π·ΠΈΠΌΠ½ΠΈΠΉ Π΄ΠΈΠ·Π΅Π»Ρ Π»Π΅Π³ΡΠ΅ Π»Π΅ΡΠ½Π΅Π³ΠΎ.
ΠΠ°ΠΆΠ΅ Π΅ΡΠ»ΠΈ ΠΌΡ ΠΏΠΎΠΊΡΠΏΠ°Π΅ΠΌ ΡΠΎΠΏΠ»ΠΈΠ²ΠΎ Π½Π° Π·Π°ΠΏΡΠ°Π²ΠΊΠ΅ Π»ΠΈΡΡΠ°ΠΌΠΈ, Π½Π° ΡΠ³ΠΎΡΠ°Π½ΠΈΠ΅ ΡΠΎΠΏΠ»ΠΈΠ²Π° Π²Π»ΠΈΡΠ΅Ρ Π΅Π³ΠΎ ΠΏΠ»ΠΎΡΠ½ΠΎΡΡΡ (Π° Π½Π΅ ΠΎΠ±ΡΠ΅ΠΌ).ΠΠ°ΠΏΡΠΈΠΌΠ΅Ρ, ΠΌΡ ΠΌΠΎΠΆΠ΅ΠΌ ΡΡΠ°Π²Π½ΠΈΡΡ ΡΡΠΎ Ρ Π΄Π΅ΡΠ΅Π²ΠΎΠΌ: Π±ΠΎΠ»Π΅Π΅ Π»Π΅Π³ΠΊΠΎΠ΅ ΠΈΠ»ΠΈ Π±ΠΎΠ»Π΅Π΅ ΠΏΠ»ΠΎΡΠ½ΠΎΠ΅ Π΄Π΅ΡΠ΅Π²ΠΎ Π³ΠΎΡΠΈΡ ΠΏΠΎ-ΡΠ°Π·Π½ΠΎΠΌΡ. ΠΠΎΡΠΊΠΎΠ»ΡΠΊΡ Π·ΠΈΠΌΠ½Π΅Π΅ Π΄ΠΈΠ·Π΅Π»ΡΠ½ΠΎΠ΅ ΡΠΎΠΏΠ»ΠΈΠ²ΠΎ Π»Π΅Π³ΡΠ΅, ΡΠ΅ΠΌ Π² Π»Π΅ΡΠ½Π΅Π΅ Π²ΡΠ΅ΠΌΡ, Π½Π° Π΅Π³ΠΎ ΡΠ°ΡΡ ΠΎΠ΄ Π±ΡΠ΄Π΅Ρ Π²Π»ΠΈΡΡΡ ΠΈΠ·ΠΌΠ΅Π½Π΅Π½ΠΈΠ΅ ΠΌΠΎΠ»Π΅ΠΊΡΠ» Π² Π΄ΠΈΠ·Π΅Π»ΡΠ½ΠΎΠΌ ΡΠΎΠΏΠ»ΠΈΠ²Π΅, ΠΈ ΡΠ°ΠΊΡΠΈΡΠ΅ΡΠΊΠΈ ΠΈΠ·ΠΌΠ΅Π½ΠΈΡΡΡ ΡΠ°ΡΡ ΠΎΠ΄ ΡΠΎΠΏΠ»ΠΈΠ²Π° Π·ΠΈΠΌΠΎΠΉ.
ΠΡ Π³ΠΎΠ²ΠΎΡΠΈΠΌ ΠΎ Π΄ΠΈΠ·Π΅Π»ΡΠ½ΠΎΠΌ ΡΠΎΠΏΠ»ΠΈΠ²Π΅, Π° ΠΊΠ°ΠΊ Π½Π°ΡΡΠ΅Ρ Π±Π΅Π½Π·ΠΈΠ½Π°?
ΠΠ»Ρ Π±Π΅Π½Π·ΠΈΠ½ΠΎΠ²ΠΎΠ³ΠΎ ΡΠΎΠΏΠ»ΠΈΠ²Π° Π²Π»ΠΈΡΠ½ΠΈΠ΅ ΡΠ°ΡΡ ΠΎΠ΄Π° ΡΠ°ΠΊΠΎΠ΅ ΠΆΠ΅, Π½ΠΎ ΠΏΡΠΈΡΠΈΠ½Π° Π² Π΄ΡΡΠ³ΠΎΠΌ ΠΈ ΠΎΡΠ½ΠΎΠ²Π°Π½Π° Π½Π° Π±Π΅Π·ΠΎΠΏΠ°ΡΠ½ΠΎΡΡΠΈ. Π§ΡΠΎΠ±Ρ ΠΈΠ·Π±Π΅ΠΆΠ°ΡΡ ΡΠΈΡΠΊΠ° Π²Π·ΡΡΠ²Π° ΠΈΠ·-Π·Π° ΠΈΡΠΏΠ°ΡΠ΅Π½ΠΈΡ Π±ΠΎΠ»Π΅Π΅ Π»Π΅Π³ΠΊΠΈΡ ΠΌΠΎΠ»Π΅ΠΊΡΠ» Π² Π±Π΅Π½Π·ΠΈΠ½Π΅ (Π½Π°ΠΏΡΠΈΠΌΠ΅Ρ, Π²ΠΎ Π²ΡΠ΅ΠΌΡ Π·Π°ΠΏΡΠ°Π²ΠΊΠΈ Π±Π°ΠΊΠΎΠ²), ΡΡΠ°Π½Π΄Π°ΡΡ EN228 ΡΡΠ΅Π±ΡΠ΅Ρ ΠΎΠ³ΡΠ°Π½ΠΈΡΠ΅Π½ΠΈΡ Β«Π΄Π°Π²Π»Π΅Π½ΠΈΡ ΠΏΠ°ΡΠ°Β».ΠΡΠ° ΡΠΎΠ±ΡΡΠ²Π΅Π½Π½ΠΎΡΡΡ ΠΎΠΏΡΠ΅Π΄Π΅Π»ΡΠ΅Ρ ΡΡΠ΅Π΄ΡΡΠ²ΠΎ, Ρ ΠΏΠΎΠΌΠΎΡΡΡ ΠΊΠΎΡΠΎΡΠΎΠ³ΠΎ Π±ΠΎΠ»Π΅Π΅ Π»Π΅Π³ΠΊΠΈΠ΅ ΠΊΠΎΠΌΠΏΠΎΠ½Π΅Π½ΡΡ ΠΌΠΎΠ³ΡΡ ΠΈΡΠΏΠ°ΡΡΡΡΡΡ (ΠΈ ΠΏΠΎΡΠ΅Π½ΡΠΈΠ°Π»ΡΠ½ΠΎ Π²ΡΠ·ΡΠ²Π°ΡΡ Π²Π·ΡΡΠ²). ΠΠΎΡΡΠΎΠΌΡ ΠΊΡΡΠΈΡΡ Π½Π° Π·Π°ΠΏΡΠ°Π²ΠΊΠ°Ρ ΠΊΠ°ΡΠ΅Π³ΠΎΡΠΈΡΠ΅ΡΠΊΠΈ Π·Π°ΠΏΡΠ΅ΡΠ΅Π½ΠΎ!
ΠΠ΅ΡΡΠ΅ΠΏΠ΅ΡΠ΅ΡΠ°Π±Π°ΡΡΠ²Π°ΡΡΠΈΠΌ ΠΏΡΠ΅Π΄ΠΏΡΠΈΡΡΠΈΡΠΌ Π½Π΅ΠΎΠ±Ρ
ΠΎΠ΄ΠΈΠΌΠΎ ΡΠΎΠ·Π΄Π°Π²Π°ΡΡ ΠΌΠ΅Π½Π΅Π΅ Π»Π΅ΡΡΡΠ΅Π΅ ΡΠΎΠΏΠ»ΠΈΠ²ΠΎ, ΡΠ°ΠΊΡΠΈΡΠ΅ΡΠΊΠΈ Π±ΠΎΠ»Π΅Π΅ ΡΡΠΆΠ΅Π»ΠΎΠ΅, ΡΡΠΎΠ±Ρ ΡΠ½ΠΈΠ·ΠΈΡΡ Π²Π΅ΡΠΎΡΡΠ½ΠΎΡΡΡ ΠΈΡΠΏΠ°ΡΠ΅Π½ΠΈΡ.
ΠΠΈΠΌΠΎΠΉ, ΠΏΠΎΡΠΊΠΎΠ»ΡΠΊΡ Ρ
ΠΎΠ»ΠΎΠ΄Π½Π΅Π΅, ΡΡΠ°Π½Π΄Π°ΡΡΡ ΠΌΠ΅Π½Π΅Π΅ ΡΡΡΠΎΠ³ΠΈΠ΅, ΠΏΠΎΡΡΠΎΠΌΡ ΠΏΡΠΎΠΈΠ·Π²ΠΎΠ΄ΠΈΡΠ΅Π»ΠΈ ΠΌΠΎΠ³ΡΡ Π΄ΠΎΠ±Π°Π²Π»ΡΡΡ Π±ΠΎΠ»ΡΡΠ΅ Π±ΠΎΠ»Π΅Π΅ Π»Π΅Π³ΠΊΠΈΡ
ΠΌΠΎΠ»Π΅ΠΊΡΠ».
Π Π·Π°ΠΊΠ»ΡΡΠ΅Π½ΠΈΠ΅, ΡΠΎΡΡΠ°Π² Π΄ΠΈΠ·Π΅Π»ΡΠ½ΠΎΠ³ΠΎ ΡΠΎΠΏΠ»ΠΈΠ²Π° ΠΌΠ΅Π½ΡΠ΅ΡΡΡ Π·ΠΈΠΌΠΎΠΉ, ΡΡΠΎΠ±Ρ Π°Π²ΡΠΎΠΌΠΎΠ±ΠΈΠ»ΠΈ Π·Π°ΠΏΡΡΠΊΠ°Π»ΠΈΡΡ Π΄Π°ΠΆΠ΅ ΠΏΡΠΈ Π½ΠΈΠ·ΠΊΠΈΡ ΡΠ΅ΠΌΠΏΠ΅ΡΠ°ΡΡΡΠ°Ρ , Π° ΡΠΎΡΡΠ°Π² Π±Π΅Π½Π·ΠΈΠ½Π° ΠΈΠ·ΠΌΠ΅Π½ΡΠ΅ΡΡΡ ΠΈΠ· ΡΠΎΠΎΠ±ΡΠ°ΠΆΠ΅Π½ΠΈΠΉ Π±Π΅Π·ΠΎΠΏΠ°ΡΠ½ΠΎΡΡΠΈ.ΠΠΎ ΡΠ΅Π·ΡΠ»ΡΡΠ°Ρ ΡΠΎΡ ΠΆΠ΅: Π·ΠΈΠΌΠΎΠΉ Π°Π²ΡΠΎΠΌΠΎΠ±ΠΈΠ»Ρ Π½ΡΠΆΠ½ΠΎ Π±ΠΎΠ»ΡΡΠ΅ ΡΠΎΠΏΠ»ΠΈΠ²Π°.
I-Fusion ΠΌΠΎΠΆΠ΅Ρ Π°Π½Π°Π»ΠΈΠ·ΠΈΡΠΎΠ²Π°ΡΡ ΠΈΠ·ΠΌΠ΅Π½ΡΠΈΠ²ΠΎΡΡΡ ΡΠΎΠΏΠ»ΠΈΠ²Π°
I-Fusion ΠΌΠΎΠΆΠ΅Ρ ΠΎΠ±Π½Π°ΡΡΠΆΠΈΠ²Π°ΡΡ ΠΈΠ·ΠΌΠ΅Π½Π΅Π½ΠΈΡ Π² ΡΠΎΡΡΠ°Π²Π΅ ΡΠΎΠΏΠ»ΠΈΠ²Π° ΠΈ ΡΠΎΠΎΡΠ²Π΅ΡΡΡΠ²ΡΡΡΠΈΠΌ ΠΎΠ±ΡΠ°Π·ΠΎΠΌ ΠΊΠΎΡΡΠ΅ΠΊΡΠΈΡΠΎΠ²Π°ΡΡ Π½Π°ΡΡΡΠΎΠΉΠΊΠΈ Π΄Π²ΠΈΠ³Π°ΡΠ΅Π»Ρ.
Π Π¨Π²Π΅ΡΠΈΠΈ, Π½Π°ΠΏΡΠΈΠΌΠ΅Ρ, Π΄ΠΈΠ·Π΅Π»ΡΠ½ΠΎΠ΅ ΡΠΎΠΏΠ»ΠΈΠ²ΠΎ Π·ΠΈΠΌΠΎΠΉ Π½Π° 40% ΡΠΎΡΡΠΎΠΈΡ ΠΈΠ· ΠΊΠ΅ΡΠΎΡΠΈΠ½Π°, ΡΡΠΎ Π΅ΡΠ΅ Π±ΠΎΠ»ΡΡΠ΅ Π²Π»ΠΈΡΠ΅Ρ Π½Π° ΠΈΠ·ΠΌΠ΅Π½ΡΠΈΠ²ΠΎΡΡΡ ΠΌΠΎΠ»Π΅ΠΊΡΠ» Π²Π½ΡΡΡΠΈ Π΄ΠΈΠ·Π΅Π»ΡΠ½ΠΎΠ³ΠΎ ΡΠΎΠΏΠ»ΠΈΠ²Π° ΠΈ, ΡΠ»Π΅Π΄ΠΎΠ²Π°ΡΠ΅Π»ΡΠ½ΠΎ, ΠΈΠΌΠ΅Π΅Ρ Π±ΠΎΠ»ΡΡΠΎΠ΅ Π·Π½Π°ΡΠ΅Π½ΠΈΠ΅, Π΅ΡΠ»ΠΈ Π΄Π²ΠΈΠ³Π°ΡΠ΅Π»Ρ Π½Π΅ Π°Π΄Π°ΠΏΡΠΈΡΡΠ΅ΡΡΡ ΠΊ ΡΡΠΎΠΌΡ ΡΠΎΠΏΠ»ΠΈΠ²Ρ. I-Fusion ΠΎΡΡΠ»Π΅ΠΆΠΈΠ²Π°Π΅Ρ ΠΈ ΠΏΡΠΎΡΠΈΠ»ΠΈΡΡΠ΅Ρ ΠΌΠΎΠ»Π΅ΠΊΡΠ»Ρ ΡΠΎΠΏΠ»ΠΈΠ²Π°, Π΄Π°Π²Π°Ρ Π²ΠΎΠ·ΠΌΠΎΠΆΠ½ΠΎΡΡΡ ΡΠΎΠ·Π΄Π°ΡΡ Π°Π²ΡΠΎΠΌΠΎΠ±ΠΈΠ»Ρ Ρ Β«ΡΠΌΠ½ΡΠΌ ΡΠΎΠΏΠ»ΠΈΠ²ΠΎΠΌΒ», ΠΌΠ°ΠΊΡΠΈΠΌΠ°Π»ΡΠ½ΠΎ ΡΡΡΠ΅ΠΊΡΠΈΠ²Π½ΠΎ ΠΈΡΠΏΠΎΠ»ΡΠ·ΡΡΡΠΈΠΉ ΡΠΎΠΏΠ»ΠΈΠ²ΠΎ, Π½Π΅Π·Π°Π²ΠΈΡΠΈΠΌΠΎ ΠΎΡ ΠΈΠ·ΠΌΠ΅Π½Π΅Π½ΠΈΡ ΡΠΎΠΏΠ»ΠΈΠ²Π°, ΠΎΠ±ΡΡΠ»ΠΎΠ²Π»Π΅Π½Π½ΠΎΠ³ΠΎ ΡΡΠ°Π½Π΄Π°ΡΡΠ½ΠΎΠΉ ΡΠΏΠ΅ΡΠΈΡΠΈΠΊΠ°ΡΠΈΠ΅ΠΉ.
ΠΠ½Π°ΠΉ ΡΠ²ΠΎΠ΅ Π΄ΠΈΠ·Π΅Π»ΡΠ½ΠΎΠ΅ ΡΠΎΠΏΠ»ΠΈΠ²ΠΎ
ΠΠ°ΡΠΊΠΎΠ»ΡΠΊΠΎ Ρ ΠΎΡΠΎΡΠΎ Π²Ρ Π·Π½Π°Π΅ΡΠ΅ ΡΠ²ΠΎΠΉ Π΄ΠΈΠ·Π΅Π»Ρ?
ΠΠΎΠ½ΠΈΠΌΠ°Π½ΠΈΠ΅ Ρ Π°ΡΠ°ΠΊΡΠ΅ΡΠΈΡΡΠΈΠΊ Π΄ΠΈΠ·Π΅Π»ΡΠ½ΠΎΠ³ΠΎ ΡΠΎΠΏΠ»ΠΈΠ²Π° ΡΠΏΠΎΡΠΎΠ±ΡΡΠ²ΡΠ΅Ρ ΠΎΠ±ΡΠ΅ΠΌΡ ΡΠ΅Ρ Π½ΠΈΡΠ΅ΡΠΊΠΎΠΌΡ ΠΎΠ±ΡΠ»ΡΠΆΠΈΠ²Π°Π½ΠΈΡ Π΄Π²ΠΈΠ³Π°ΡΠ΅Π»Ρ Π²Π°ΡΠ΅Π³ΠΎ Π°Π²ΡΠΎΠΌΠΎΠ±ΠΈΠ»Ρ. ΠΠΎΠ·Π½Π°ΠΊΠΎΠΌΡΡΠ΅ΡΡ Ρ Π΄ΠΈΠ·Π΅Π»Π΅ΠΌ Π½Π΅ΠΌΠ½ΠΎΠ³ΠΎ Π»ΡΡΡΠ΅, ΠΈΡΠΏΠΎΠ»ΡΠ·ΡΡ ΡΠ»Π΅Π΄ΡΡΡΡΡ ΡΠ΅ΡΠΌΠΈΠ½ΠΎΠ»ΠΎΠ³ΠΈΡ.
Π’Π΅ΠΌΠΏΠ΅ΡΠ°ΡΡΡΠ° Π²ΠΎΡΠΏΠ»Π°ΠΌΠ΅Π½Π΅Π½ΠΈΡ
Π’Π΅ΠΌΠΏΠ΅ΡΠ°ΡΡΡΠ° Π²ΡΠΏΡΡΠΊΠΈ ΠΈΠΌΠ΅Π΅Ρ Π΄Π²ΠΎΡΠΊΡΡ ΡΡΠ½ΠΊΡΠΈΡ. ΠΠΎ-ΠΏΠ΅ΡΠ²ΡΡ , Π΄Π»Ρ ΠΎΠ±Π΅ΡΠΏΠ΅ΡΠ΅Π½ΠΈΡ Π±Π΅Π·ΠΎΠΏΠ°ΡΠ½ΠΎΡΡΠΈ ΠΏΡΠΈ ΠΎΠ±ΡΠ°ΡΠ΅Π½ΠΈΠΈ Ρ ΡΠΎΠΏΠ»ΠΈΠ²ΠΎΠΌ ΡΠΎΡΠΊΠ° Π²ΡΠΏΡΡΠΊΠΈ ΡΠΊΠ°Π·ΡΠ²Π°Π΅Ρ Π½Π° ΡΠ°ΠΌΡΡ Π½ΠΈΠ·ΠΊΡΡ ΡΠ΅ΠΌΠΏΠ΅ΡΠ°ΡΡΡΡ, ΠΊΠΎΡΠΎΡΠ°Ρ ΠΏΡΠΈ Π²ΠΎΠ·Π΄Π΅ΠΉΡΡΠ²ΠΈΠΈ Π½Π° ΡΠΎΠΏΠ»ΠΈΠ²ΠΎ Π²ΡΠ·ΡΠ²Π°Π΅Ρ Π²ΠΎΡΠΏΠ»Π°ΠΌΠ΅Π½Π΅Π½ΠΈΠ΅.ΠΠΎ-Π²ΡΠΎΡΡΡ , ΡΠ΅ΠΌΠΏΠ΅ΡΠ°ΡΡΡΠ° Π²ΡΠΏΡΡΠΊΠΈ Π½ΠΈΠΆΠ΅ ΠΌΠΈΠ½ΠΈΠΌΠ°Π»ΡΠ½ΠΎΠΉ 52 Β° C (125F) ΡΠΊΠ°Π·ΡΠ²Π°Π΅Ρ Π½Π° ΡΠΎ, ΡΡΠΎ ΡΠΎΠΏΠ»ΠΈΠ²ΠΎ Π±ΡΠ»ΠΎ Π·Π°Π³ΡΡΠ·Π½Π΅Π½ΠΎ (ΡΠ°ΡΠ΅ Π²ΡΠ΅Π³ΠΎ Π±Π΅Π½Π·ΠΈΠ½ΠΎΠΌ).
ΠΡΠ·ΠΊΠΎΡΡΡ
ΠΡΠ·ΠΊΠΎΡΡΡ — ΡΡΠΎ ΠΌΠ΅ΡΠ° Π²Π½ΡΡΡΠ΅Π½Π½Π΅Π³ΠΎ ΡΡΠ΅Π½ΠΈΡ ΡΠΎΠΏΠ»ΠΈΠ²Π° ΠΈΠ»ΠΈ, Π² Π±ΠΎΠ»Π΅Π΅ ΠΎΠ±ΡΠ΅ΠΌ ΡΠΌΡΡΠ»Π΅, Π΅Π³ΠΎ ΡΠΏΠΎΡΠΎΠ±Π½ΠΎΡΡΡ ΡΠ΅ΡΡ. ΠΡΠΈΠ΅ΠΌΠ»Π΅ΠΌΡΠ΅ Π·Π½Π°ΡΠ΅Π½ΠΈΡ Π²ΡΠ·ΠΊΠΎΡΡΠΈ Π΄ΠΈΠ·Π΅Π»ΡΠ½ΠΎΠ³ΠΎ ΡΠΎΠΏΠ»ΠΈΠ²Π° ΡΠΎΡΡΠ°Π²Π»ΡΡΡ ΠΎΡ 1,9 Π΄ΠΎ 4,1 ΡΠ°Π½ΡΠΈΡΡΠΎΠΊΡΠΎΠ² ΠΏΡΠΈ 40 Β° C (104 Β° F). ΠΠ½Π°ΡΠ΅Π½ΠΈΡ Π²ΡΠ·ΠΊΠΎΡΡΠΈ Π·Π° ΠΏΡΠ΅Π΄Π΅Π»Π°ΠΌΠΈ Π΄ΠΎΠΏΡΡΡΠΈΠΌΡΡ
Π΄ΠΈΠ°ΠΏΠ°Π·ΠΎΠ½ΠΎΠ² ΠΌΠΎΠ³ΡΡ Π²ΡΠ·Π²Π°ΡΡ ΠΏΠΎΠ²ΡΡΠ΅Π½Π½ΡΠΉ ΠΈΠ·Π½ΠΎΡ ΠΈ ΠΏΠ»ΠΎΡ
ΠΎΠ΅ ΡΠ°ΡΠΏΡΠ»Π΅Π½ΠΈΠ΅ ΡΠΎΠΏΠ»ΠΈΠ²Π° ΡΠ΅ΡΠ΅Π· ΡΠΎΡΡΡΠ½ΠΊΠΈ, ΡΡΠΎ ΠΏΡΠΈΠ²ΠΎΠ΄ΠΈΡ ΠΊ ΠΏΠ»ΠΎΡ
ΠΎΠΌΡ ΡΠ³ΠΎΡΠ°Π½ΠΈΡ ΠΈ ΠΏΠΎΡΠ΅ΡΠ΅ ΠΌΠΎΡΠ½ΠΎΡΡΠΈ ΠΈ ΡΠΊΠΎΠ½ΠΎΠΌΠΈΠΈ ΡΠΎΠΏΠ»ΠΈΠ²Π°.
ΠΡΠ΅ Π΄ΠΈΠ·Π΅Π»ΡΠ½ΡΠ΅ ΡΠΎΠΏΠ»ΠΈΠ²Π° Co-op ΠΏΠ΅ΡΠ΅Π΄ ΠΏΡΠΎΠ΄Π°ΠΆΠ΅ΠΉ ΠΏΡΠΎΡ
ΠΎΠ΄ΡΡ ΠΈΡΠΏΡΡΠ°Π½ΠΈΡ, ΡΡΠΎΠ±Ρ ΡΠ±Π΅Π΄ΠΈΡΡΡΡ, ΡΡΠΎ ΡΠΊΠ°Π·Π°Π½Π½Π°Ρ Π²ΡΠ·ΠΊΠΎΡΡΡ ΡΠΎΠΎΡΠ²Π΅ΡΡΡΠ²ΡΠ΅Ρ Π²Π°ΡΠ΅ΠΌΡ ΠΎΠ±ΠΎΡΡΠ΄ΠΎΠ²Π°Π½ΠΈΡ.
Π‘ΠΎΠ΄Π΅ΡΠΆΠ°Π½ΠΈΠ΅ ΡΠ΅ΡΡ
Π‘ΠΎΠ΄Π΅ΡΠΆΠ°Π½ΠΈΠ΅ ΡΠ΅ΡΡ Π² ΡΠΎΠΏΠ»ΠΈΠ²Π΅ ΡΠΎΠ³Π»Π°ΡΠ½ΠΎ ΠΠ°Π½Π°Π΄ΡΠΊΠΎΠΌΡ Π·Π°ΠΊΠΎΠ½Ρ ΠΎΠ± ΠΎΡ ΡΠ°Π½Π΅ ΠΎΠΊΡΡΠΆΠ°ΡΡΠ΅ΠΉ ΡΡΠ΅Π΄Ρ Π΄ΠΎΠ»ΠΆΠ½ΠΎ ΡΠΎΡΡΠ°Π²Π»ΡΡΡ ΠΌΠ΅Π½Π΅Π΅ 0,001 ΠΏΡΠΎΡΠ΅Π½ΡΠ° ΠΏΠΎ ΠΌΠ°ΡΡΠ΅. ΠΡΠΈ ΡΠΆΠΈΠ³Π°Π½ΠΈΠΈ ΡΠΎΠΏΠ»ΠΈΠ²Π°, ΡΠΎΠ΄Π΅ΡΠΆΠ°ΡΠ΅Π³ΠΎ ΡΠ΅ΡΡ, ΠΎΠ±ΡΠ°Π·ΡΠ΅ΡΡΡ Π΄ΠΈΠΎΠΊΡΠΈΠ΄ ΡΠ΅ΡΡ. ΠΡΡΠΎΠΊΠΎΠ΅ ΡΠΎΠ΄Π΅ΡΠΆΠ°Π½ΠΈΠ΅ ΡΠ΅ΡΡ Π² ΡΠΎΠΏΠ»ΠΈΠ²Π΅ ΠΏΡΠΈΠ²Π΅Π΄Π΅Ρ ΠΊ ΠΏΡΠ΅ΠΆΠ΄Π΅Π²ΡΠ΅ΠΌΠ΅Π½Π½ΠΎΠΌΡ ΠΈΠ·Π½ΠΎΡΡ Π΄Π²ΠΈΠ³Π°ΡΠ΅Π»Π΅ΠΉ ΠΈ ΡΠ²Π΅Π»ΠΈΡΠ΅Π½ΠΈΡ ΠΎΠ±ΡΠ°Π·ΠΎΠ²Π°Π½ΠΈΡ ΡΠ²Π΅ΡΠ΄ΡΡ ΡΠ°ΡΡΠΈΡ, ΡΡΠΎ ΠΌΠΎΠΆΠ΅Ρ ΡΠ²Π΅Π»ΠΈΡΠΈΡΡ ΠΊΠΎΠ»ΠΈΡΠ΅ΡΡΠ²ΠΎ ΡΡΠ΅Π±ΡΠ΅ΠΌΡΡ ΡΠ΅Π³Π΅Π½Π΅ΡΠ°ΡΠΈΠΉ ΡΠ°ΠΆΠ΅Π²ΠΎΠ³ΠΎ ΡΠΈΠ»ΡΡΡΠ°.
Π¦Π΅ΡΠ°Π½ΠΎΠ²ΠΎΠ΅ ΡΠΈΡΠ»ΠΎ
Π¦Π΅ΡΠ°Π½ΠΎΠ²ΠΎΠ΅ ΡΠΈΡΠ»ΠΎ — ΡΡΠΎ ΠΏΠΎΠΊΠ°Π·Π°ΡΠ΅Π»Ρ ΡΠΎΠ³ΠΎ, Π½Π°ΡΠΊΠΎΠ»ΡΠΊΠΎ Π»Π΅Π³ΠΊΠΎ Π΄ΠΈΠ·Π΅Π»ΡΠ½ΠΎΠ΅ ΡΠΎΠΏΠ»ΠΈΠ²ΠΎ Π²ΠΎΡΠΏΠ»Π°ΠΌΠ΅Π½ΡΠ΅ΡΡΡ. ΠΠΎΠ»Π΅Π΅ Π²ΡΡΠΎΠΊΠΈΠ΅ ΡΠ΅ΡΠ°Π½ΠΎΠ²ΡΠ΅ ΡΠΈΡΠ»Π° ΡΠΊΠ°Π·ΡΠ²Π°ΡΡ Π½Π° ΡΠΎΠΏΠ»ΠΈΠ²ΠΎ, ΠΊΠΎΡΠΎΡΠΎΠ΅ Π±ΡΠ΄Π΅Ρ Π±ΠΎΠ»Π΅Π΅ Π»Π΅Π³ΠΊΠΎ Π²ΠΎΡΠΏΠ»Π°ΠΌΠ΅Π½ΡΡΡΡΡ ΠΈ ΠΎΠ±ΡΡΠ½ΠΎ Π±ΠΎΠ»Π΅Π΅ ΠΆΠ΅Π»Π°ΡΠ΅Π»ΡΠ½ΠΎ Π΄Π»Ρ Π΄ΠΈΠ·Π΅Π»ΡΠ½ΡΡ
Π΄Π²ΠΈΠ³Π°ΡΠ΅Π»Π΅ΠΉ. ΠΠΎΠ»Π΅Π΅ Π²ΡΡΠΎΠΊΠΈΠ΅ ΡΠ΅ΡΠ°Π½ΠΎΠ²ΡΠ΅ ΡΠΈΡΠ»Π° ΠΏΡΠΈΠ²ΠΎΠ΄ΡΡ ΠΊ ΡΠ½ΠΈΠΆΠ΅Π½ΠΈΡ ΡΡΠΌΠ° ΡΠ³ΠΎΡΠ°Π½ΠΈΡ ΠΈ Π΄ΡΠΌΠ°, Π±ΠΎΠ»Π΅Π΅ ΠΏΠ»Π°Π²Π½ΠΎΠΉ ΡΠ°Π±ΠΎΡΠ΅ Π΄Π²ΠΈΠ³Π°ΡΠ΅Π»Ρ ΠΈ ΡΠΏΡΠΎΡΠ΅Π½ΠΈΡ Π·Π°ΠΏΡΡΠΊΠ° Π² Ρ
ΠΎΠ»ΠΎΠ΄Π½ΡΡ ΠΏΠΎΠ³ΠΎΠ΄Ρ.
ΠΠΈΠ½ΠΈΠΌΠ°Π»ΡΠ½ΠΎΠ΅ ΡΠ΅ΡΠ°Π½ΠΎΠ²ΠΎΠ΅ ΡΠΈΡΠ»ΠΎ Π΄Π»Ρ Π΄ΠΈΠ·Π΅Π»ΡΠ½ΠΎΠ³ΠΎ ΡΠΎΠΏΠ»ΠΈΠ²Π° Π² ΠΠ°Π½Π°Π΄Π΅ — 40.
ΠΠ±ΡΠ°ΡΠΈΡΠ΅ Π²Π½ΠΈΠΌΠ°Π½ΠΈΠ΅, ΡΡΠΎ ΡΠ΅ΡΠ°Π½ΠΎΠ²ΠΎΠ΅ ΡΠΈΡΠ»ΠΎ Π½Π΅ ΡΠ»Π΅Π΄ΡΠ΅Ρ ΠΏΡΡΠ°ΡΡ Ρ ΡΠ΅ΡΠ°Π½ΠΎΠ²ΡΠΌ ΠΈΠ½Π΄Π΅ΠΊΡΠΎΠΌ, ΠΊΠΎΡΠΎΡΡΠΉ ΡΠ²Π»ΡΠ΅ΡΡΡ ΠΎΡΠ΅Π½ΠΊΠΎΠΉ ΡΠ΅ΡΠ°Π½ΠΎΠ²ΠΎΠ³ΠΎ ΡΠΈΡΠ»Π° ΠΈ Π½Π΅ ΠΌΠΎΠΆΠ΅Ρ ΠΏΡΠΈΠΌΠ΅Π½ΡΡΡΡΡ ΠΊ ΡΠΎΠΏΠ»ΠΈΠ²Ρ Ρ Π±ΠΈΠΎΡΠΎΠ΄Π΅ΡΠΆΠ°Π½ΠΈΠ΅ΠΌ ΠΈΠ»ΠΈ ΡΠΎΠΏΠ»ΠΈΠ²Ρ, ΡΠΎΠ΄Π΅ΡΠΆΠ°ΡΠ΅ΠΌΡ ΡΠ΅ΡΠ°Π½ΠΎΠ²ΡΠΉ ΡΠ»ΡΡΡΠΈΡΠ΅Π»Ρ.
Π’ΠΎΡΠΊΠ° ΠΎΠ±Π»Π°ΠΊΠ°
Π’ΠΎΡΠΊΠ° ΠΏΠΎΠΌΡΡΠ½Π΅Π½ΠΈΡ — ΡΡΠΎ ΡΠ΅ΠΌΠΏΠ΅ΡΠ°ΡΡΡΠ°, ΠΏΡΠΈ ΠΊΠΎΡΠΎΡΠΎΠΉ Π½Π°ΡΠΈΠ½Π°Π΅ΡΡΡ ΠΎΠ±ΡΠ°Π·ΠΎΠ²Π°Π½ΠΈΠ΅ ΠΊΡΠΈΡΡΠ°Π»Π»ΠΎΠ² Π² Π΄ΠΈΠ·Π΅Π»ΡΠ½ΠΎΠΌ ΡΠΎΠΏΠ»ΠΈΠ²Π΅. ΠΠ±ΡΠ°Π·ΠΎΠ²Π°Π½ΠΈΠ΅ ΠΊΡΠΈΡΡΠ°Π»Π»ΠΎΠ² ΠΏΡΠΈΠ΄Π°Π΅Ρ Π΄ΠΈΠ·Π΅Π»Ρ ΠΌΡΡΠ½ΡΠΉ Π²ΠΈΠ΄, ΠΎΡΡΡΠ΄Π° ΠΈ Π½Π°Π·Π²Π°Π½ΠΈΠ΅ Β«ΡΠΎΡΠΊΠ° ΠΏΠΎΠΌΡΡΠ½Π΅Π½ΠΈΡΒ». ΠΡΠΈΡΡΠ°Π»Π»Ρ Π»Π΅Π³ΠΊΠΎ ΡΠ°ΡΡΠ²ΠΎΡΡΡΡΡ Π² ΡΠΎΠΏΠ»ΠΈΠ²Π΅, ΠΊΠΎΠ³Π΄Π° ΡΠ΅ΠΌΠΏΠ΅ΡΠ°ΡΡΡΠ° ΡΠΎΠΏΠ»ΠΈΠ²Π° ΠΏΠΎΠ΄Π½ΠΈΠΌΠ΅ΡΡΡ Π²ΡΡΠ΅ ΡΠΎΡΠΊΠΈ ΠΏΠΎΠΌΡΡΠ½Π΅Π½ΠΈΡ. Π’Π΅ΠΌΠΏΠ΅ΡΠ°ΡΡΡΠ° ΠΏΠΎΠΌΡΡΠ½Π΅Π½ΠΈΡ ΡΠΊΠ°Π·ΡΠ²Π°Π΅Ρ Π½Π° ΡΠ°Π±ΠΎΡΠΎΡΠΏΠΎΡΠΎΠ±Π½ΠΎΡΡΡ Π΄ΠΈΠ·Π΅Π»ΡΠ½ΠΎΠ³ΠΎ ΡΠΎΠΏΠ»ΠΈΠ²Π° ΠΏΡΠΈ Π½ΠΈΠ·ΠΊΠΈΡ ΡΠ΅ΠΌΠΏΠ΅ΡΠ°ΡΡΡΠ°Ρ .
Π’Π΅ΠΌΠΏΠ΅ΡΠ°ΡΡΡΠ° Π·Π°ΡΡΡΠ²Π°Π½ΠΈΡ
Π’Π΅ΠΌΠΏΠ΅ΡΠ°ΡΡΡΠ° Π·Π°ΡΡΡΠ²Π°Π½ΠΈΡ — ΡΡΠΎ ΠΏΠΎΠΊΠ°Π·Π°ΡΠ΅Π»Ρ, Π²Π»ΠΈΡΡΡΠΈΠΉ Π½Π° ΠΎΠ±ΡΠ°ΡΠ΅Π½ΠΈΠ΅ Ρ ΡΠΎΠΏΠ»ΠΈΠ²ΠΎΠΌ.Π§ΡΠΎΠ±Ρ ΠΎΠΏΡΠ΅Π΄Π΅Π»ΠΈΡΡ ΡΠ΅ΠΌΠΏΠ΅ΡΠ°ΡΡΡΡ Π·Π°ΡΡΡΠ²Π°Π½ΠΈΡ, ΠΎΠ±ΡΠ°Π·Π΅Ρ ΡΠΎΠΏΠ»ΠΈΠ²Π° ΠΎΡ
Π»Π°ΠΆΠ΄Π°ΡΡ Ρ ΠΈΠ½ΡΠ΅ΡΠ²Π°Π»ΠΎΠΌ 3 Β° C (5 Β° F). Π’Π΅ΠΌΠΏΠ΅ΡΠ°ΡΡΡΠ° Π·Π°ΡΡΡΠ²Π°Π½ΠΈΡ — ΡΡΠΎ ΡΠ°ΠΌΠ°Ρ Π½ΠΈΠ·ΠΊΠ°Ρ ΡΠ΅ΠΌΠΏΠ΅ΡΠ°ΡΡΡΠ°, ΠΏΡΠΈ ΠΊΠΎΡΠΎΡΠΎΠΉ Π²ΠΈΠ΄Π½ΠΎ Π΄Π²ΠΈΠΆΠ΅Π½ΠΈΠ΅ ΠΎΠ±ΡΠ°Π·ΡΠ° ΠΏΡΠΈ Π½Π°ΠΊΠ»ΠΎΠ½Π΅ ΠΊΠΎΠ½ΡΠ΅ΠΉΠ½Π΅ΡΠ°.
ΠΠΈΠΆΠ΅ ΡΠ΅ΠΌΠΏΠ΅ΡΠ°ΡΡΡΡ Π·Π°ΡΡΡΠ²Π°Π½ΠΈΡ ΡΠΎΠΏΠ»ΠΈΠ²ΠΎ ΠΏΡΠ΅Π΄ΡΡΠ°Π²Π»ΡΠ΅Ρ ΡΠΎΠ±ΠΎΠΉ ΡΠ²Π΅ΡΠ΄ΡΠΉ Π³Π΅Π»Ρ ΠΈ Π½Π΅ Π±ΡΠ΄Π΅Ρ Π»Π΅Π³ΠΊΠΎ ΡΠ΅ΡΡ.
ΠΠ»ΠΎΡΠ½ΠΎΡΡΡ
ΠΠ»ΠΎΡΠ½ΠΎΡΡΡ Π΄ΠΈΠ·Π΅Π»ΡΠ½ΠΎΠ³ΠΎ ΡΠΎΠΏΠ»ΠΈΠ²Π° ΠΌΠΎΠΆΠ΅Ρ ΠΈΡΠΏΠΎΠ»ΡΠ·ΠΎΠ²Π°ΡΡΡΡ Π΄Π»Ρ ΠΎΡΠ΅Π½ΠΊΠΈ Π΅Π³ΠΎ ΡΠ½Π΅ΡΠ³ΠΎΠ΅ΠΌΠΊΠΎΡΡΠΈ. ΠΠΎΠ»Π΅Π΅ Π²ΡΡΠΎΠΊΠ°Ρ ΠΏΠ»ΠΎΡΠ½ΠΎΡΡΡ ΠΎΠ±Π΅ΡΠΏΠ΅ΡΠΈΠ²Π°Π΅Ρ Π±ΠΎΠ»ΡΡΡΡ ΠΌΠΎΡΠ½ΠΎΡΡΡ ΠΈ ΡΠΊΠΎΠ½ΠΎΠΌΠΈΡ ΡΠΎΠΏΠ»ΠΈΠ²Π° Π½Π° Π»ΠΈΡΡ ΡΠΎΠΏΠ»ΠΈΠ²Π°.
Π‘ΠΌΠ°Π·ΡΠ²Π°ΡΡΠ°Ρ ΡΠΏΠΎΡΠΎΠ±Π½ΠΎΡΡΡ
ΠΠΎ ΠΈΠ·Π±Π΅ΠΆΠ°Π½ΠΈΠ΅ ΡΡΠ΅Π·ΠΌΠ΅ΡΠ½ΠΎΠ³ΠΎ ΠΈΠ·Π½ΠΎΡΠ° Π΄Π²ΠΈΠΆΡΡΠΈΡ ΡΡ ΡΠ°ΡΡΠ΅ΠΉ, ΡΠ°ΠΊΠΈΡ ΠΊΠ°ΠΊ ΡΠΎΠΏΠ»ΠΈΠ²Π½ΡΠ΅ Π½Π°ΡΠΎΡΡ ΠΈ ΡΠΎΡΡΡΠ½ΠΊΠΈ, Π²ΡΠ΅ ΡΠΎΠΏΠ»ΠΈΠ²ΠΎ Π΄ΠΎΠ»ΠΆΠ½ΠΎ ΠΈΠΌΠ΅ΡΡ ΠΌΠΈΠ½ΠΈΠΌΠ°Π»ΡΠ½ΡΡ ΡΠΌΠ°Π·ΡΠ²Π°ΡΡΡΡ ΡΠΏΠΎΡΠΎΠ±Π½ΠΎΡΡΡ.ΠΠ»ΠΎΡ Π°Ρ ΡΠΌΠ°Π·ΡΠ²Π°ΡΡΠ°Ρ ΡΠΏΠΎΡΠΎΠ±Π½ΠΎΡΡΡ ΠΌΠΎΠΆΠ΅Ρ ΡΠ²Π΅Π»ΠΈΡΠΈΡΡ ΠΈΠ·Π½ΠΎΡ ΠΈ, Π² ΠΊΡΠ°ΠΉΠ½Π΅ΠΌ ΡΠ»ΡΡΠ°Π΅, Π²ΡΠ·Π²Π°ΡΡ ΠΎΡΠΊΠ°Π·. ΠΠΎΠΎΠΏΠ΅ΡΠ°ΡΠΈΠ²Π½ΠΎΠ΅ Π΄ΠΈΠ·Π΅Π»ΡΠ½ΠΎΠ΅ ΡΠΎΠΏΠ»ΠΈΠ²ΠΎ ΡΠΎΠ΄Π΅ΡΠΆΠΈΡ ΠΏΡΠΈΡΠ°Π΄ΠΊΠΈ Ρ ΡΠ»ΡΡΡΠ΅Π½Π½ΡΠΌΠΈ ΡΠΌΠ°Π·ΡΠ²Π°ΡΡΠΈΠΌΠΈ ΡΠ²ΠΎΠΉΡΡΠ²Π°ΠΌΠΈ, ΡΡΠΎΠ±Ρ Π²ΡΠ΅ Π²ΠΈΠ΄Ρ ΡΠΎΠΏΠ»ΠΈΠ²Π° ΡΠΎΠΎΡΠ²Π΅ΡΡΡΠ²ΠΎΠ²Π°Π»ΠΈ ΠΈΠ»ΠΈ ΠΏΡΠ΅Π²ΠΎΡΡ ΠΎΠ΄ΠΈΠ»ΠΈ ΡΡΠ΅Π±ΠΎΠ²Π°Π½ΠΈΡ ΠΏΡΠΎΠΈΠ·Π²ΠΎΠ΄ΠΈΡΠ΅Π»Π΅ΠΉ ΠΎΡΠΈΠ³ΠΈΠ½Π°Π»ΡΠ½ΠΎΠ³ΠΎ ΠΎΠ±ΠΎΡΡΠ΄ΠΎΠ²Π°Π½ΠΈΡ.
ΠΠΎΠΎΠΏΠ΅ΡΠ°ΡΠΈΠ²Π½ΠΎΠ΅ Π΄ΠΈΠ·Π΅Π»ΡΠ½ΠΎΠ΅ ΡΠΎΠΏΠ»ΠΈΠ²ΠΎ ΠΠ°Π»ΠΈΡΠΈΠ΅
Π‘ΠΌΠ΅ΡΠΈ Π΄ΠΈΠ·Π΅Π»ΡΠ½ΠΎΠ³ΠΎ ΡΠΎΠΏΠ»ΠΈΠ²Π° Co-op ΠΏΠΎΡΡΠΎΡΠ½Π½ΠΎ ΠΌΠ΅Π½ΡΡΡΡΡ, ΡΡΠΎΠ±Ρ ΠΎΠ±Π΅ΡΠΏΠ΅ΡΠΈΡΡ ΠΊΠ»ΠΈΠ΅Π½ΡΠΎΠ² Π½ΡΠΆΠ½ΡΠΌ ΡΠΎΠΏΠ»ΠΈΠ²ΠΎΠΌ, ΠΊΠΎΠ³Π΄Π° ΠΎΠ½ΠΎ ΠΈΠΌ Π½Π΅ΠΎΠ±Ρ
ΠΎΠ΄ΠΈΠΌΠΎ.
ΠΠΎΠ»Π΅Π΅ Π»Π΅Π³ΠΊΠΈΠ΅ ΠΊΠΎΠΌΠΏΠΎΠ½Π΅Π½ΡΡ Π² Π·ΠΈΠΌΠ½ΠΈΡ
Π΄ΠΈΠ·Π΅Π»ΡΠ½ΡΡ
ΡΠΌΠ΅ΡΡΡ
Π½Π΅ΠΎΠ±Ρ
ΠΎΠ΄ΠΈΠΌΡ Π΄Π»Ρ ΠΏΡΠ΅Π΄ΠΎΡΠ²ΡΠ°ΡΠ΅Π½ΠΈΡ ΠΎΠ±ΡΠ°Π·ΠΎΠ²Π°Π½ΠΈΡ Π³Π΅Π»Ρ Π² ΡΠΎΠΏΠ»ΠΈΠ²Π΅ Π² Π·ΠΈΠΌΠ½ΠΈΠ΅ ΠΌΠ΅ΡΡΡΡ.ΠΠ±ΡΡΠ½ΠΎ Π·ΠΈΠΌΠ½ΠΈΠ΅ Π΄ΠΈΠ·Π΅Π»ΡΠ½ΡΠ΅ ΡΠΌΠ΅ΡΠΈ Π΄ΠΎΡΡΡΠΏΠ½Ρ ΡΠΎ Π²ΡΠΎΡΠΎΠΉ ΠΏΠΎΠ»ΠΎΠ²ΠΈΠ½Ρ ΡΠ΅Π½ΡΡΠ±ΡΡ Π΄ΠΎ Π²ΡΠΎΡΠΎΠΉ ΠΏΠΎΠ»ΠΎΠ²ΠΈΠ½Ρ Π°ΠΏΡΠ΅Π»Ρ. ΠΠ΄Π½Π°ΠΊΠΎ ΡΡΠΎ ΠΌΠΎΠΆΠ΅Ρ Π²Π°ΡΡΠΈΡΠΎΠ²Π°ΡΡΡΡ Π² Π·Π°Π²ΠΈΡΠΈΠΌΠΎΡΡΠΈ ΠΎΡ Π³Π΅ΠΎΠ³ΡΠ°ΡΠΈΠΈ, ΠΈ ΡΠ°Π½Π½ΡΡ Π΄ΠΎΡΡΠ°Π²ΠΊΠ° Π»Π΅ΡΠ½Π΅Π³ΠΎ Π΄ΠΈΠ·Π΅Π»ΡΠ½ΠΎΠ³ΠΎ ΡΠΎΠΏΠ»ΠΈΠ²Π° Π΄ΠΎΡΡΡΠΏΠ½Π° Π² Π±ΠΎΠ»ΡΡΠΈΠ½ΡΡΠ²Π΅ ΠΌΠ΅ΡΡ. Π‘Π²ΡΠΆΠΈΡΠ΅ΡΡ ΡΠΎ ΡΠΏΠ΅ΡΠΈΠ°Π»ΠΈΡΡΠΎΠΌ Π²Π°ΡΠ΅ΠΉ ΠΌΠ΅ΡΡΠ½ΠΎΠΉ ΡΠΎΠΏΠ»ΠΈΠ²Π½ΠΎΠΉ Π³ΡΡΠΏΠΏΡ Co-op, ΡΡΠΎΠ±Ρ ΡΠ·Π½Π°ΡΡ Π±ΠΎΠ»ΡΡΠ΅.
Winter Blend vs Summer Blend Red Diesel (Gas Oil)
Red Diesel Winter Blend vs Summer Blend — Easy Guide
ΠΡΠ°ΡΠ½ΡΠΉ Π΄ΠΈΠ·Π΅Π»Ρ (Π³Π°Π·ΠΎΠΉΠ»Ρ) Π΄Π»Ρ ΠΈΡΠΏΠΎΠ»ΡΠ·ΠΎΠ²Π°Π½ΠΈΡ Π²ΠΎ Π²Π½Π΅Π΄ΠΎΡΠΎΠΆΠ½ΡΡ ΡΡΠ°Π½ΡΠΏΠΎΡΡΠ½ΡΡ ΡΡΠ΅Π΄ΡΡΠ²Π°Ρ / ΠΌΠ°ΡΠΈΠ½Π°Ρ ΠΈ ΡΠΈΡΡΠ΅ΠΌΠ°Ρ ΠΎΡΠΎΠΏΠ»Π΅Π½ΠΈΡ, Π΄ΠΎΠ»ΠΆΠ΅Π½ ΠΏΡΠΎΠΈΠ·Π²ΠΎΠ΄ΠΈΡΡΡΡ Π² ΡΠΎΠΎΡΠ²Π΅ΡΡΡΠ²ΠΈΠΈ Ρ BS 2869 ΠΠ»Π°ΡΡ A2.
ΠΠΎ Π·Π½Π°Π΅ΡΠ΅ Π»ΠΈ Π²Ρ, ΡΡΠΎ ΡΠ΅Π·ΠΎΠ½Π½ΡΠ΅ ΡΡΠ΅Π±ΠΎΠ²Π°Π½ΠΈΡ ΠΊ ΡΠΎΠΏΠ»ΠΈΠ²Ρ ΡΠ°Π·Π»ΠΈΡΠ°ΡΡΡΡ ΠΊΠ°ΠΊ Π»Π΅ΡΠΎΠΌ, ΡΠ°ΠΊ ΠΈ Π·ΠΈΠΌΠΎΠΉ?
ΠΠ΅ Π·Π½Π°Π΅ΡΠ΅, ΡΡΠΎ ΡΠ°ΠΊΠΎΠ΅ ΠΊΡΠ°ΡΠ½ΠΎΠ΅ Π΄ΠΈΠ·Π΅Π»ΡΠ½ΠΎΠ΅ ΡΠΎΠΏΠ»ΠΈΠ²ΠΎ?
Π’Π°ΠΊΠΆΠ΅ ΠΈΠ·Π²Π΅ΡΡΠ½ΠΎΠ΅ ΠΊΠ°ΠΊ 35-ΡΠ΅ΠΊΡΠ½Π΄Π½ΠΎΠ΅ ΠΌΠ°ΡΠ»ΠΎ, Π³Π°Π·ΠΎΠΉΠ»Ρ, ΡΡΠ°ΠΊΡΠΎΡΠ½ΠΎΠ΅ Π΄ΠΈΠ·Π΅Π»ΡΠ½ΠΎΠ΅ ΡΠΎΠΏΠ»ΠΈΠ²ΠΎ ΠΈ Π²ΠΈΡΠ½Π΅Π²ΠΎΠ΅ ΡΠΎΠΏΠ»ΠΈΠ²ΠΎ, ΠΊΡΠ°ΡΠ½ΠΎΠ΅ Π΄ΠΈΠ·Π΅Π»ΡΠ½ΠΎΠ΅ ΡΠΎΠΏΠ»ΠΈΠ²ΠΎ ΠΏΡΠ΅Π΄ΡΡΠ°Π²Π»ΡΠ΅Ρ ΡΠΎΠ±ΠΎΠΉ Π²ΠΈΠ΄ Π΄ΠΈΠ·Π΅Π»ΡΠ½ΠΎΠ³ΠΎ ΡΠΎΠΏΠ»ΠΈΠ²Π° Ρ ΠΏΠΎΠ½ΠΈΠΆΠ΅Π½Π½ΠΎΠΉ Π½Π°Π³ΡΡΠ·ΠΊΠΎΠΉ, ΠΊΠΎΡΠΎΡΡΠΉ ΠΌΠΎΠΆΠ΅Ρ ΠΈΡΠΏΠΎΠ»ΡΠ·ΠΎΠ²Π°ΡΡΡΡ Π² Π½Π΅ΠΎΠ±Π»Π°Π³Π°Π΅ΠΌΡΡ
Π½Π°Π»ΠΎΠ³Π°ΠΌΠΈ Π²Π½Π΅Π΄ΠΎΡΠΎΠΆΠ½ΡΡ
ΡΡΠ°Π½ΡΠΏΠΎΡΡΠ½ΡΡ
ΡΡΠ΅Π΄ΡΡΠ²Π°Ρ
ΠΈ ΠΌΠ΅Ρ
Π°Π½ΠΈΠ·ΠΌΠ°Ρ
, Π½Π°ΠΏΡΠΈΠΌΠ΅Ρ ΡΠ΅Π»ΡΡΠΊΠΎΡ
ΠΎΠ·ΡΠΉΡΡΠ²Π΅Π½Π½Π°Ρ, ΠΏΡΠΎΠΌΡΡΠ»Π΅Π½Π½Π°Ρ ΠΈ ΡΡΡΠΎΠΈΡΠ΅Π»ΡΠ½Π°Ρ ΡΠ΅Ρ
Π½ΠΈΠΊΠ°.
ΠΠΎΡΠΊΠΎΠ»ΡΠΊΡ ΠΊΡΠ°ΡΠ½ΠΎΠ΅ Π΄ΠΈΠ·Π΅Π»ΡΠ½ΠΎΠ΅ ΡΠΎΠΏΠ»ΠΈΠ²ΠΎ ΠΎΠ±Π»Π°Π³Π°Π΅ΡΡΡ ΠΌΠΈΠ½ΠΈΠΌΠ°Π»ΡΠ½ΡΠΌ Π½Π°Π»ΠΎΠ³ΠΎΠΌ, Π΅Π³ΠΎ Π½Π΅Π»ΡΠ·Ρ ΠΈΡΠΏΠΎΠ»ΡΠ·ΠΎΠ²Π°ΡΡ Π² ΠΊΠ°ΡΠ΅ΡΡΠ²Π΅ Π°Π²ΡΠΎΠΌΠΎΠ±ΠΈΠ»ΡΠ½ΠΎΠ³ΠΎ Π΄ΠΈΠ·Π΅Π»ΡΠ½ΠΎΠ³ΠΎ ΡΠΎΠΏΠ»ΠΈΠ²Π° Π² Π΄ΠΎΡΠΎΠΆΠ½ΡΡ ΡΡΠ°Π½ΡΠΏΠΎΡΡΠ½ΡΡ ΡΡΠ΅Π΄ΡΡΠ²Π°Ρ , ΠΏΠΎΡΡΠΎΠΌΡ ΠΎΠ½ΠΎ ΡΠΎΠ΄Π΅ΡΠΆΠΈΡ ΠΊΡΠ°ΡΠ½ΡΠΉ ΠΊΡΠ°ΡΠΈΡΠ΅Π»Ρ (ΠΎΡΡΡΠ΄Π° ΠΈ Π½Π°Π·Π²Π°Π½ΠΈΠ΅), ΠΏΠΎΡΡΠΎΠΌΡ ΡΠ°ΠΌΠΎΠΆΠ½Ρ ΠΈ Π°ΠΊΡΠΈΠ·Ρ ΠΌΠΎΠ³ΡΡ ΠΎΠΏΡΠ΅Π΄Π΅Π»ΠΈΡΡ Π½Π΅ΠΏΡΠ°Π²ΠΈΠ»ΡΠ½ΠΎΠ΅ ΠΈΡΠΏΠΎΠ»ΡΠ·ΠΎΠ²Π°Π½ΠΈΠ΅.
ΠΠ°ΠΏΡΠ΅ΡΠ°Π΅ΡΡΡ ΡΠΌΠ΅ΡΠΈΠ²Π°ΡΡ ΠΊΡΠ°ΡΠ½ΠΎΠ΅ Π΄ΠΈΠ·Π΅Π»ΡΠ½ΠΎΠ΅ ΡΠΎΠΏΠ»ΠΈΠ²ΠΎ Ρ Π΄ΡΡΠ³ΠΈΠΌΠΈ Π½Π΅ΡΡΠ΅ΠΏΡΠΎΠ΄ΡΠΊΡΠ°ΠΌΠΈ, ΡΠ°ΠΊ ΠΊΠ°ΠΊ ΡΡΠΎ ΡΡΡΠΎΠ³ΠΎ Π·Π°ΠΏΡΠ΅ΡΠ΅Π½ΠΎ ΠΈ ΠΌΠΎΠΆΠ΅Ρ ΠΏΡΠΎΡΠΈΠ²ΠΎΡΠ΅ΡΠΈΡΡ ΠΏΡΠ°Π²ΠΈΠ»Π°ΠΌ HMRC Π² ΠΎΡΠ½ΠΎΡΠ΅Π½ΠΈΠΈ ΠΎΠΏΠ»Π°ΡΡ Π°ΠΊΡΠΈΠ·Π½ΠΎΠ³ΠΎ ΡΠ±ΠΎΡΠ°. ΠΠ°ΠΊΠ°Π·Π°Π½ΠΈΡ ΠΌΠΎΠ³ΡΡ Π²ΠΊΠ»ΡΡΠ°ΡΡ ΡΡΡΠ°ΡΡ ΠΈΠ»ΠΈ ΡΡΠ΄Π΅Π±Π½ΠΎΠ΅ ΠΏΡΠ΅ΡΠ»Π΅Π΄ΠΎΠ²Π°Π½ΠΈΠ΅.
Π ΡΠ²ΡΠ·ΠΈ Ρ ΠΏΡΠΈΠ±Π»ΠΈΠΆΠ΅Π½ΠΈΠ΅ΠΌ Ρ ΠΎΠ»ΠΎΠ΄Π½ΡΡ ΠΌΠ΅ΡΡΡΠ΅Π² ΠΆΠΈΠ·Π½Π΅Π½Π½ΠΎ Π²Π°ΠΆΠ½ΠΎ, ΡΡΠΎΠ±Ρ Π²Ρ Π·Π½Π°Π»ΠΈ ΠΎ ΡΠ΅Π·ΠΎΠ½Π½ΡΡ Ρ Π°ΡΠ°ΠΊΡΠ΅ΡΠΈΡΡΠΈΠΊΠ°Ρ Π΄ΠΈΠ·Π΅Π»ΡΠ½ΠΎΠ³ΠΎ ΡΠΎΠΏΠ»ΠΈΠ²Π°, ΡΡΠΎΠ±Ρ Π²Ρ ΠΌΠΎΠ³Π»ΠΈ ΠΏΡΠΈΠ½ΡΡΡ ΠΌΠ΅ΡΡ ΠΏΡΠ΅Π΄ΠΎΡΡΠΎΡΠΎΠΆΠ½ΠΎΡΡΠΈ ΠΏΡΠΈ Π·Π°ΠΏΡΠ°Π²ΠΊΠ΅ ΡΠ²ΠΎΠΈΡ Π²Π½Π΅Π΄ΠΎΡΠΎΠΆΠ½ΠΈΠΊΠΎΠ², ΠΎΠ±ΠΎΡΡΠ΄ΠΎΠ²Π°Π½ΠΈΡ ΠΈ ΡΠ΅Ρ Π½ΠΈΠΊΠΈ ΡΡΠΎΠΉ Π·ΠΈΠΌΠΎΠΉ.
ΠΡΠΈ ΡΠ΅ΠΊΠΎΠΌΠ΅Π½Π΄Π°ΡΠΈΠΈ Π΄Π΅ΠΉΡΡΠ²ΠΈΡΠ΅Π»ΡΠ½Ρ Π΄Π»Ρ Π΄ΠΈΠ·Π΅Π»ΡΠ½ΠΎΠ³ΠΎ ΡΠΎΠΏΠ»ΠΈΠ²Π° ΠΈ ΠΎΡΠΎΠ±Π΅Π½Π½ΠΎ Π΄Π»Ρ Π΄ΠΈΠ·Π΅Π»ΡΠ½ΠΎΠ³ΠΎ ΡΠΎΠΏΠ»ΠΈΠ²Π° Π²Π½Π΅Π΄ΠΎΡΠΎΠΆΠ½ΠΎΠΉ ΡΠ΅Ρ
Π½ΠΈΠΊΠΈ (ΠΌΠ°ΡΠΊΠΈΡΠΎΠ²Π°Π½Π½ΡΠΉ Π³Π°Π·ΠΎΠΉΠ»Ρ, ΡΠΎΠΎΡΠ²Π΅ΡΡΡΠ²ΡΡΡΠΈΠΉ BS 2869, ΠΊΠ»Π°ΡΡ A2).ΠΠ½ΠΈ ΡΠΎΠ·Π΄Π°Π½Ρ, ΡΡΠΎΠ±Ρ ΠΏΡΠΎΠΈΠ½ΡΠΎΡΠΌΠΈΡΠΎΠ²Π°ΡΡ Π²Π°Ρ ΠΎ ΠΌΠ΅ΡΠ°Ρ
ΠΏΡΠ΅Π΄ΠΎΡΡΠΎΡΠΎΠΆΠ½ΠΎΡΡΠΈ ΠΈ ΠΏΡΠΎΠΈΠ½ΡΠΎΡΠΌΠΈΡΠΎΠ²Π°ΡΡ Π²Π°Ρ ΠΎ ΠΏΠΎΡΠ΅Π½ΡΠΈΠ°Π»ΡΠ½ΡΡ
ΠΏΡΠΎΠ±Π»Π΅ΠΌΠ°Ρ
, ΠΊΠΎΡΠΎΡΡΠ΅ ΠΌΠΎΠ³ΡΡ Π²ΠΎΠ·Π½ΠΈΠΊΠ½ΡΡΡ, Π΅ΡΠ»ΠΈ Π²Ρ ΠΈΡΠΏΠΎΠ»ΡΠ·ΡΠ΅ΡΠ΅ ΠΊΡΠ°ΡΠ½ΠΎΠ΅ Π΄ΠΈΠ·Π΅Π»ΡΠ½ΠΎΠ΅ ΡΠΎΠΏΠ»ΠΈΠ²ΠΎ Π±Π΅Π· ΡΠΎΠ±Π»ΡΠ΄Π΅Π½ΠΈΡ ΡΠ΅Π·ΠΎΠ½Π½ΡΡ
ΡΡΠ΅Π±ΠΎΠ²Π°Π½ΠΈΠΉ.
Π’Π°ΠΊΠΈΠΌ ΠΎΠ±ΡΠ°Π·ΠΎΠΌ Π²Ρ ΡΠΌΠΎΠΆΠ΅ΡΠ΅ ΠΌΠ°ΠΊΡΠΈΠΌΠ°Π»ΡΠ½ΠΎ ΡΡΡΠ΅ΠΊΡΠΈΠ²Π½ΠΎ ΠΈΡΠΏΠΎΠ»ΡΠ·ΠΎΠ²Π°ΡΡ ΡΠ²ΠΎΠΈ Π΄Π²ΠΈΠ³Π°ΡΠ΅Π»ΠΈ, ΠΏΠΎΠ²ΡΡΠΈΡΡ ΠΏΡΠΎΠΈΠ·Π²ΠΎΠ΄ΠΈΡΠ΅Π»ΡΠ½ΠΎΡΡΡ ΠΈ ΠΈΠ·Π±Π΅ΠΆΠ°ΡΡ Π½Π΅ΠΆΠ΅Π»Π°ΡΠ΅Π»ΡΠ½ΡΡ ΡΠ°ΡΡ ΠΎΠ΄ΠΎΠ².
Π§Π΅ΠΌ ΠΊΡΠ°ΡΠ½ΠΎΠ΅ Π΄ΠΈΠ·Π΅Π»ΡΠ½ΠΎΠ΅ ΡΠΎΠΏΠ»ΠΈΠ²ΠΎ ΠΎΡΠ»ΠΈΡΠ°Π΅ΡΡΡ Π² Π·Π°Π²ΠΈΡΠΈΠΌΠΎΡΡΠΈ ΠΎΡ ΡΠ΅Π·ΠΎΠ½Π°?
ΠΡΡΡ Π΄Π²Π° ΡΠΎΡΡΠ° Π΄ΠΈΠ·Π΅Π»ΡΠ½ΠΎΠ³ΠΎ ΡΠΎΠΏΠ»ΠΈΠ²Π°, ΠΈΠ·Π²Π΅ΡΡΠ½ΡΠ΅ ΠΊΠ°ΠΊ Π·ΠΈΠΌΠ½Π΅Π΅ Π΄ΠΈΠ·Π΅Π»ΡΠ½ΠΎΠ΅ ΡΠΎΠΏΠ»ΠΈΠ²ΠΎ ΠΈ Π»Π΅ΡΠ½Π΅Π΅ Π΄ΠΈΠ·Π΅Π»ΡΠ½ΠΎΠ΅ ΡΠΎΠΏΠ»ΠΈΠ²ΠΎ, ΠΈ ΡΡΠΎΠΈΡ Π·Π½Π°ΡΡ ΡΠ°Π·Π½ΠΈΡΡ ΠΌΠ΅ΠΆΠ΄Ρ Π½ΠΈΠΌΠΈ.
ΠΠΈΠΌΠ½Π΅Π΅ Π΄ΠΈΠ·Π΅Π»ΡΠ½ΠΎΠ΅ ΡΠΎΠΏΠ»ΠΈΠ²ΠΎ ΡΠΎΠ΄Π΅ΡΠΆΠΈΡ ΠΏΡΠΈΡΠ°Π΄ΠΊΡ, ΠΏΡΠ΅Π΄ΠΎΡΠ²ΡΠ°ΡΠ°ΡΡΡΡ ΠΎΠ±ΡΠ°Π·ΠΎΠ²Π°Π½ΠΈΠ΅ ΠΊΡΠΈΡΡΠ°Π»Π»ΠΎΠ² ΠΏΠ°ΡΠ°ΡΠΈΠ½Π° ΠΏΡΠΈ Π½ΠΈΠ·ΠΊΠΈΡ ΡΠ΅ΠΌΠΏΠ΅ΡΠ°ΡΡΡΠ°Ρ , Π° ΡΡΠΎ ΠΎΠ·Π½Π°ΡΠ°Π΅Ρ, ΡΡΠΎ ΠΎΠ½ΠΎ Π±ΡΠ΄Π΅Ρ ΡΡΡΠΎΠΉΡΠΈΠ²ΠΎ ΠΊ Π³Π΅Π»Π΅ΠΎΠ±ΡΠ°Π·ΠΎΠ²Π°Π½ΠΈΡ ΠΏΡΠΈ ΠΎΡΠ΅Π½Ρ Π½ΠΈΠ·ΠΊΠΈΡ ΡΠ΅ΠΌΠΏΠ΅ΡΠ°ΡΡΡΠ°Ρ . ΠΠΈΠΌΠ½Π΅Π΅ ΡΠΎΠΏΠ»ΠΈΠ²ΠΎ ΠΌΠΎΠΆΠ½ΠΎ ΠΈΡΠΏΠΎΠ»ΡΠ·ΠΎΠ²Π°ΡΡ ΠΊΡΡΠ³Π»ΡΠΉ Π³ΠΎΠ΄, ΡΠ°ΠΊ ΠΊΠ°ΠΊ ΠΎΠ½ΠΎ Π±ΠΎΠ»Π΅Π΅ ΡΡΡΠΎΠΉΡΠΈΠ²ΠΎ ΠΊ Ρ ΠΎΠ»ΠΎΠ΄Ρ (ΠΌΠΈΠ½. -12 Β° C CFPP), ΠΏΠΎΡΡΠΎΠΌΡ Π΅Π³ΠΎ ΠΌΠΎΠΆΠ½ΠΎ ΠΈΡΠΏΠΎΠ»ΡΠ·ΠΎΠ²Π°ΡΡ Π² Π»ΡΠ±ΠΎΠ΅ Π²ΡΠ΅ΠΌΡ Π³ΠΎΠ΄Π°.
ΠΠ΅ΡΠ½Π΅Π΅ Π΄ΠΈΠ·Π΅Π»ΡΠ½ΠΎΠ΅ ΡΠΎΠΏΠ»ΠΈΠ²ΠΎ ΠΎΠΏΡΠΈΠΌΠΈΠ·ΠΈΡΠΎΠ²Π°Π½ΠΎ Π΄Π»Ρ Π»Π΅ΡΠ½Π΅Π³ΠΎ ΠΈΡΠΏΠΎΠ»ΡΠ·ΠΎΠ²Π°Π½ΠΈΡ ΠΈΠ·-Π·Π° Π΅Π³ΠΎ Π½Π΅ΠΌΠ½ΠΎΠ³ΠΎ Π±ΠΎΠ»Π΅Π΅ Π²ΡΡΠΎΠΊΠΎΠΉ Π²ΡΠ·ΠΊΠΎΡΡΠΈ.
ΠΠΎΠ³Π΄Π° Π±ΡΠ΄Π΅Ρ Π΄ΠΎΡΡΡΠΏΠ½ΠΎ Π·ΠΈΠΌΠ½Π΅Π΅ ΡΠΎΠΏΠ»ΠΈΠ²ΠΎ?
Π‘ΠΎΡΡΠ°Π² Π΄ΠΈΠ·Π΅Π»ΡΠ½ΠΎΠ³ΠΎ ΡΠΎΠΏΠ»ΠΈΠ²Π° ΠΌΠ΅Π½ΡΠ΅ΡΡΡ Π² Π·ΠΈΠΌΠ½ΠΈΠ΅ ΠΌΠ΅ΡΡΡΡ, ΡΡΠΎΠ±Ρ ΡΠ»ΡΡΡΠΈΡΡ Ρ
Π°ΡΠ°ΠΊΡΠ΅ΡΠΈΡΡΠΈΠΊΠΈ ΡΠΎΠΏΠ»ΠΈΠ²Π° Π² Ρ
ΠΎΠ»ΠΎΠ΄Π½ΡΡ ΠΏΠΎΠ³ΠΎΠ΄Ρ.
ΠΠ½ Π΄ΠΎΡΡΡΠΏΠ΅Π½ Ρ 15 Π½ΠΎΡΠ±ΡΡ ΠΏΠΎ 15 ΠΌΠ°ΡΡΠ°.
ΠΠ΅ΡΠ½Π΅Π΅ ΡΠΎΠΏΠ»ΠΈΠ²ΠΎ Π΄ΠΎΡΡΡΠΏΠ½ΠΎ Π² Π΄ΡΡΠ³ΠΎΠΉ ΠΏΠ΅ΡΠΈΠΎΠ΄, ΠΈ Π΅Π³ΠΎ ΡΠ»Π΅Π΄ΡΠ΅Ρ ΠΈΡΠΏΠΎΠ»ΡΠ·ΠΎΠ²Π°ΡΡ ΡΠΎΠ»ΡΠΊΠΎ Π² ΡΡΠΈ ΠΌΠ΅ΡΡΡΡ.
Π’ΠΎΠΏΠ»ΠΈΠ²ΠΎ, ΡΠ΅ΡΡΠΈΡΠΈΡΠΈΡΠΎΠ²Π°Π½Π½ΠΎΠ΅ Π΄Π»Ρ ΠΈΡΠΏΠΎΠ»ΡΠ·ΠΎΠ²Π°Π½ΠΈΡ Π² Π»Π΅ΡΠ½ΠΈΠΉ ΠΏΠ΅ΡΠΈΠΎΠ΄ (Π»Π΅ΡΠ½Π΅Π΅ Π΄ΠΈΠ·Π΅Π»ΡΠ½ΠΎΠ΅ ΡΠΎΠΏΠ»ΠΈΠ²ΠΎ), ΠΏΠΎΠ΄Ρ ΠΎΠ΄ΠΈΡ Π΄Π»Ρ ΠΈΡΠΏΠΎΠ»ΡΠ·ΠΎΠ²Π°Π½ΠΈΡ ΡΠΎΠ»ΡΠΊΠΎ Π² ΡΡΠΈ ΠΌΠ΅ΡΡΡΡ (-4 Β° C ΠΌΠΈΠ½. CFPP), ΠΏΠΎΡΠΊΠΎΠ»ΡΠΊΡ ΠΎΠ½ΠΎ ΠΈΠΌΠ΅Π΅Ρ ΠΎΠ³ΡΠ°Π½ΠΈΡΠ΅Π½Π½ΡΡ ΡΡΡΠΎΠΉΡΠΈΠ²ΠΎΡΡΡ ΠΊ Ρ ΠΎΠ»ΠΎΠ΄Ρ.
ΠΠ΅ΡΠ½Π΅Π΅ ΡΠΎΠΏΠ»ΠΈΠ²ΠΎ ΠΌΠΎΠΆΠ½ΠΎ ΠΈΡΠΏΠΎΠ»ΡΠ·ΠΎΠ²Π°ΡΡ ΡΠΎΠ»ΡΠΊΠΎ Π»Π΅ΡΠΎΠΌ
Π’ΠΎΠΏΠ»ΠΈΠ²ΠΎ, ΡΠ΅ΡΡΠΈΡΠΈΡΠΈΡΠΎΠ²Π°Π½Π½ΠΎΠ΅ Π΄Π»Ρ ΠΈΡΠΏΠΎΠ»ΡΠ·ΠΎΠ²Π°Π½ΠΈΡ Π² Π»Π΅ΡΠ½ΠΈΠΉ ΠΏΠ΅ΡΠΈΠΎΠ΄ (Π΄ΠΈΠ·Π΅Π»ΡΠ½ΠΎΠ΅ ΡΠΎΠΏΠ»ΠΈΠ²ΠΎ β 2), ΠΏΠΎΠ΄Ρ ΠΎΠ΄ΠΈΡ Π΄Π»Ρ ΠΈΡΠΏΠΎΠ»ΡΠ·ΠΎΠ²Π°Π½ΠΈΡ ΡΠΎΠ»ΡΠΊΠΎ Π² ΡΡΠΈ ΠΌΠ΅ΡΡΡΡ (-4 Β° C ΠΌΠΈΠ½. CFPP), ΠΏΠΎΡΠΊΠΎΠ»ΡΠΊΡ ΠΎΠ½ΠΎ ΠΈΠΌΠ΅Π΅Ρ ΠΎΠ³ΡΠ°Π½ΠΈΡΠ΅Π½Π½ΡΡ ΡΡΡΠΎΠΉΡΠΈΠ²ΠΎΡΡΡ ΠΊ Ρ ΠΎΠ»ΠΎΠ΄Ρ .
ΠΠΈΠΌΠ½ΠΈΠΉ ΡΠΎΡΡ ΠΌΠΎΠΆΠ½ΠΎ ΠΈΡΠΏΠΎΠ»ΡΠ·ΠΎΠ²Π°ΡΡ ΠΊΡΡΠ³Π»ΡΠΉ Π³ΠΎΠ΄, Π½ΠΎ ΡΡΠΎ Π½Π΅ΡΠ΅Π½ΡΠ°Π±Π΅Π»ΡΠ½ΠΎ. ΠΡΠΈ ΠΏΠ΅ΡΠ΅ΡΠ°Π±ΠΎΡΠΊΠ΅ ΡΡΡΠΎΠΉ Π½Π΅ΡΡΠΈ Π²Ρ ΠΏΠΎΠ»ΡΡΠ°Π΅ΡΠ΅ Π³ΠΎΡΠ°Π·Π΄ΠΎ ΠΌΠ΅Π½ΡΡΠ΅ Π΄ΠΈΠ·Π΅Π»ΡΠ½ΠΎΠ³ΠΎ ΡΠΎΠΏΠ»ΠΈΠ²Π° Π·ΠΈΠΌΠ½Π΅Π³ΠΎ ΡΠΎΡΡΠ°, ΡΠ΅ΠΌ Π»Π΅ΡΠ½Π΅Π³ΠΎ Π΄ΠΈΠ·Π΅Π»ΡΠ½ΠΎΠ³ΠΎ ΡΠΎΠΏΠ»ΠΈΠ²Π°, ΡΡΠΎ ΠΌΠΎΠΆΠ΅Ρ ΠΏΡΠΈΠ²Π΅ΡΡΠΈ ΠΊ ΠΏΡΠΎΠ±Π»Π΅ΠΌΠ°ΠΌ Ρ Π΄ΠΎΡΡΡΠΏΠ½ΠΎΡΡΡΡ Π·ΠΈΠΌΠ½Π΅Π³ΠΎ Π΄ΠΈΠ·Π΅Π»ΡΠ½ΠΎΠ³ΠΎ ΡΠΎΠΏΠ»ΠΈΠ²Π°. ΠΠΎΠ»Π΅Π΅ ΡΠΎΠ³ΠΎ, ΡΠ½Π΅ΡΠ³Π΅ΡΠΈΡΠ΅ΡΠΊΠ°Ρ ΡΠ΅Π½Π½ΠΎΡΡΡ ΠΈΡΠΊΠΎΠΏΠ°Π΅ΠΌΠΎΠ³ΠΎ Π·ΠΈΠΌΠ½Π΅Π³ΠΎ Π΄ΠΈΠ·Π΅Π»ΡΠ½ΠΎΠ³ΠΎ ΡΠΎΠΏΠ»ΠΈΠ²Π° Π½ΠΈΠΆΠ΅, ΡΠ΅ΠΌ Ρ Π»Π΅ΡΠ½Π΅Π³ΠΎ Π΄ΠΈΠ·Π΅Π»ΡΠ½ΠΎΠ³ΠΎ ΡΠΎΠΏΠ»ΠΈΠ²Π°.
ΠΠ°ΠΊΠΈΠ΅ ΠΏΠΎΡΠ΅Π½ΡΠΈΠ°Π»ΡΠ½ΡΠ΅ ΠΏΡΠΎΠ±Π»Π΅ΠΌΡ ΠΌΠΎΠ³ΡΡ Π²ΠΎΠ·Π½ΠΈΠΊΠ½ΡΡΡ ΠΏΡΠΈ ΠΈΡΠΏΠΎΠ»ΡΠ·ΠΎΠ²Π°Π½ΠΈΠΈ Π½Π΅ΠΏΡΠ°Π²ΠΈΠ»ΡΠ½ΠΎΠ³ΠΎ ΡΠΎΡΡΠ° Π΄ΠΈΠ·Π΅Π»ΡΠ½ΠΎΠ³ΠΎ ΡΠΎΠΏΠ»ΠΈΠ²Π° Π·ΠΈΠΌΠΎΠΉ ΠΈΠ»ΠΈ Π² Ρ ΠΎΠ»ΠΎΠ΄Π½ΡΠ΅ ΠΏΠ΅ΡΠΈΠΎΠ΄Ρ?
ΠΠΊΡΠΏΠ»ΡΠ°ΡΠ°ΡΠΈΠΎΠ½Π½ΡΠ΅ ΠΏΡΠΎΠ±Π»Π΅ΠΌΡ
Π Ρ ΠΎΠ»ΠΎΠ΄Π½ΡΠ΅ ΠΈ Π²Π»Π°ΠΆΠ½ΡΠ΅ Π·ΠΈΠΌΠ½ΠΈΠ΅ ΠΌΠ΅ΡΡΡΡ Π½Π΅ΠΊΠΎΡΠΎΡΡΠ΅ Π΄ΠΈΠ·Π΅Π»ΡΠ½ΡΠ΅ Π΄Π²ΠΈΠ³Π°ΡΠ΅Π»ΠΈ ΠΈΡΠΏΡΡΡΠ²Π°ΡΡ ΡΠΊΡΠΏΠ»ΡΠ°ΡΠ°ΡΠΈΠΎΠ½Π½ΡΠ΅ ΠΏΡΠΎΠ±Π»Π΅ΠΌΡ, ΡΠ°ΠΊΠΈΠ΅ ΠΊΠ°ΠΊ ΡΡΡΠ΄Π½ΠΎΡΡΠΈ Ρ Π·Π°ΠΏΡΡΠΊΠΎΠΌ ΠΈ ΠΎΡΡΠ°Π½ΠΎΠ²ΠΊΠΎΠΉ ΠΌΠ΅Ρ Π°Π½ΠΈΠ·ΠΌΠΎΠ², Π° ΡΠ°ΠΊΠΆΠ΅ ΠΏΠΎΠ»ΠΎΠΌΠΊΠΈ ΡΡΠ°Π½ΡΠΏΠΎΡΡΠ½ΡΡ ΡΡΠ΅Π΄ΡΡΠ² ΠΈ ΠΎΠ±ΠΎΡΡΠ΄ΠΎΠ²Π°Π½ΠΈΡ.
ΠΡΠ»ΠΈ Ρ ΡΠ°Π½ΠΈΠ»ΠΈΡΠ΅ ΡΠΎΠΏΠ»ΠΈΠ²Π° ΠΈΠ»ΠΈ ΡΠΎΠΏΠ»ΠΈΠ²Π½ΡΠ΅ ΡΠΈΡΡΠ΅ΠΌΡ Π±ΡΠ»ΠΈ ΠΏΠ»ΠΎΡ ΠΎ ΡΠΏΡΠΎΠ΅ΠΊΡΠΈΡΠΎΠ²Π°Π½Ρ, Π½Π΅Π΄ΠΎΡΡΠ°ΡΠΎΡΠ½Π°Ρ ΡΠ΅ΠΏΠ»ΠΎΠ²Π°Ρ Π·Π°ΡΠΈΡΠ° ΠΈΠ»ΠΈ Π»Π΅ΡΠΎΠΌ Π² Π±Π°ΠΊΠ΅ ΠΎΡΡΠ°Π»ΠΎΡΡ Π·ΠΈΠΌΠΎΠΉ, ΠΊΡΠΈΡΡΠ°Π»Π»Ρ ΠΏΠ°ΡΠ°ΡΠΈΠ½Π° ΠΈ ΠΊΠΎΠ½Π΄Π΅Π½ΡΠ°Ρ ΠΌΠΎΠ³ΡΡ ΠΎΠ±ΡΠ°Π·ΠΎΠ²ΡΠ²Π°ΡΡΡΡ Π² ΡΠΎΠΏΠ»ΠΈΠ²Π΅, ΡΡΠΎ Π±Π»ΠΎΠΊΠΈΡΡΠ΅Ρ ΡΠΈΠ»ΡΡΡΡ ΠΈ ΡΡΡΠ±Ρ.
ΠΡΠΎΠΌΠ΅ ΡΠΎΠ³ΠΎ, Π΄ΠΈΠ·Π΅Π»ΡΠ½ΠΎΠ΅ ΡΠΎΠΏΠ»ΠΈΠ²ΠΎ ΠΎΡΠΈΡΠ°Π΅ΡΡΡ ΡΠ°ΠΊΠΈΠΌ ΠΎΠ±ΡΠ°Π·ΠΎΠΌ, ΡΡΠΎΠ±Ρ Π΅Π³ΠΎ Π½ΠΈΠ·ΠΊΠΎΡΠ΅ΠΌΠΏΠ΅ΡΠ°ΡΡΡΠ½ΡΠ΅ ΡΠ²ΠΎΠΉΡΡΠ²Π° ΡΠΎΠΎΡΠ²Π΅ΡΡΡΠ²ΠΎΠ²Π°Π»ΠΈ ΠΎΠ±Π»Π°ΡΡΠΈ ΠΈ ΠΏΠ΅ΡΠΈΠΎΠ΄Ρ ΠΈΡΠΏΠΎΠ»ΡΠ·ΠΎΠ²Π°Π½ΠΈΡ. ΠΠΎ ΠΊΠΎΠ³Π΄Π° Π²ΠΎΠ·Π½ΠΈΠΊΠ°ΡΡ ΡΠ΅Π·ΠΎΠ½Π½ΡΠ΅ ΠΏΠΎΡ ΠΎΠ»ΠΎΠ΄Π°Π½ΠΈΡ ΠΈ ΡΠ΅ΠΌΠΏΠ΅ΡΠ°ΡΡΡΠ° ΠΎΠΏΡΡΠΊΠ°Π΅ΡΡΡ Π½ΠΈΠΆΠ΅ ΡΠΎΡΠΊΠΈ ΠΏΠΎΠΌΡΡΠ½Π΅Π½ΠΈΡ ΡΠΎΠΏΠ»ΠΈΠ²Π°, Π²ΠΎΠ·Π½ΠΈΠΊΠ°ΡΡ ΡΡΠ½ΠΊΡΠΈΠΎΠ½Π°Π»ΡΠ½ΡΠ΅ ΡΡΡΠ΄Π½ΠΎΡΡΠΈ ΠΈΠ·-Π·Π° Π²ΡΠΏΠ°Π΄Π΅Π½ΠΈΡ ΠΏΠ°ΡΠ°ΡΠΈΠ½Π°.
Π§ΡΠΎ ΡΠ°ΠΊΠΎΠ΅ ΡΠΎΡΠΊΠ° ΠΏΠΎΠΌΡΡΠ½Π΅Π½ΠΈΡ?
Π’ΠΎΡΠΊΠ° ΠΏΠΎΠΌΡΡΠ½Π΅Π½ΠΈΡ ΠΏΠΎΠΊΠ°Π·ΡΠ²Π°Π΅Ρ ΡΠ΅ΠΌΠΏΠ΅ΡΠ°ΡΡΡΡ, ΠΏΡΠΈ ΠΊΠΎΡΠΎΡΠΎΠΉ Π²ΠΎΡΠΊ Π½Π°ΡΠΈΠ½Π°Π΅Ρ ΠΊΡΠΈΡΡΠ°Π»Π»ΠΈΠ·ΠΎΠ²Π°ΡΡΡΡ ΠΈ ΡΡΠ°Π½ΠΎΠ²ΠΈΡΡΡ Π·Π°ΠΌΠ΅ΡΠ½ΡΠΌ Π΄Π»Ρ Π³Π»Π°Π·Π°.
ΠΡΠΎΡΠ΅ Π³ΠΎΠ²ΠΎΡΡ, ΡΡΠΎ ΡΠ°ΠΌΠ°Ρ Π½ΠΈΠ·ΠΊΠ°Ρ ΡΠ΅ΠΌΠΏΠ΅ΡΠ°ΡΡΡΠ°, ΠΏΡΠΈ ΠΊΠΎΡΠΎΡΠΎΠΉ ΡΠΎΠΏΠ»ΠΈΠ²ΠΎ ΠΌΠΎΠΆΠ΅Ρ Ρ
ΡΠ°Π½ΠΈΡΡΡΡ. ΠΠ±ΡΠ°Π·Π΅Ρ ΠΎΡ
Π»Π°ΠΆΠ΄Π°ΡΡ Π² ΡΠΎΡΡΠ΄Π΅ Π΄Π»Ρ ΠΈΡΠΏΡΡΠ°Π½ΠΈΠΉ Ρ ΠΈΠ½ΡΠ΅ΡΠ²Π°Π»ΠΎΠΌ Π² 1 Β° C, ΡΡΠΎΠ±Ρ ΡΠ²ΠΈΠ΄Π΅ΡΡ, Π½Π΅ ΠΎΠ±ΡΠ°Π·ΡΠ΅ΡΡΡ Π»ΠΈ ΠΊΠΎΠ»ΡΡΠΎ ΠΌΡΡΠ½ΠΎΡΡΠΈ Π½Π° Π΄Π½Π΅ ΡΠΎΡΡΠ΄Π°.
ΠΠΎΡΠΊΠΎΠ»ΡΠΊΡ Π»Π΅ΡΠ½Π΅Π΅ ΡΠΎΠΏΠ»ΠΈΠ²ΠΎ ΠΈΠΌΠ΅Π΅Ρ Π±ΠΎΠ»Π΅Π΅ Π²ΡΡΠΎΠΊΡΡ ΡΠΎΡΠΊΡ ΠΏΠΎΠΌΡΡΠ½Π΅Π½ΠΈΡ, Π΅Π³ΠΎ Π½Π΅ ΡΠ»Π΅Π΄ΡΠ΅Ρ ΠΈΡΠΏΠΎΠ»ΡΠ·ΠΎΠ²Π°ΡΡ Π·ΠΈΠΌΠΎΠΉ, ΠΊΠΎΠ³Π΄Π° ΡΡΠ΅Π±ΡΠ΅ΡΡΡ ΠΊΡΠ°ΡΠ½ΠΎΠ΅ Π΄ΠΈΠ·Π΅Π»ΡΠ½ΠΎΠ΅ ΡΠΎΠΏΠ»ΠΈΠ²ΠΎ Ρ Π±ΠΎΠ»Π΅Π΅ Π½ΠΈΠ·ΠΊΠΎΠΉ ΡΠΎΡΠΊΠΎΠΉ ΠΏΠΎΠΌΡΡΠ½Π΅Π½ΠΈΡ.
ΠΠ°Π³ΡΡΠ·Π½Π΅Π½ΠΈΠ΅ ΡΠΎΠΏΠ»ΠΈΠ²Π°
Π₯ΠΎΡΡ Π²Π΅ΡΠ΅Ρ ΡΠ°ΠΌ ΠΏΠΎ ΡΠ΅Π±Π΅ Π½Π΅ ΡΠ½ΠΈΠΆΠ°Π΅Ρ ΡΡΠΎΠ²Π΅Π½Ρ ΡΠ΅ΠΌΠΏΠ΅ΡΠ°ΡΡΡΡ, ΠΎΠ½ ΡΡΠΊΠΎΡΡΠ΅Ρ ΠΏΠΎΡΠ΅ΡΡ ΡΠ΅ΠΏΠ»Π° ΠΈ Π²ΡΠ·ΡΠ²Π°Π΅Ρ Π±ΠΎΠ»Π΅Π΅ Π±ΡΡΡΡΠΎΠ΅ ΠΎΡ Π»Π°ΠΆΠ΄Π΅Π½ΠΈΠ΅ ΡΠΎΠΏΠ»ΠΈΠ²Π°, ΡΠΎΠ΄Π΅ΡΠΆΠ°ΡΠ΅Π³ΠΎΡΡ Π² Π½Π΅Π·Π°ΡΠΈΡΠ΅Π½Π½ΠΎΠΌ ΠΈΠ»ΠΈ Π½Π΅Π·Π°ΡΠΈΡΠ΅Π½Π½ΠΎΠΌ ΡΠ΅Π·Π΅ΡΠ²ΡΠ°ΡΠ΅. ΠΠΎΠ΄Π° Π² ΡΠΎΠΏΠ»ΠΈΠ²Π΅ ΠΈ ΡΠΈΠ»ΡΡΡΠ°Ρ , Π° ΡΠ°ΠΊΠΆΠ΅ Π²ΠΎΠ·ΡΠ°ΡΡ ΠΈ ΡΠΎΡΡΠΎΡΠ½ΠΈΠ΅ ΡΠΈΠ»ΡΡΡΠΎΠ² ΡΠ°ΠΊΠΆΠ΅ Π²ΡΠ·ΡΠ²Π°ΡΡ Π·Π°ΡΠΎΡΠ΅Π½ΠΈΠ΅.
Π£Π±Π΅Π΄ΠΈΡΠ΅ΡΡ, ΡΡΠΎ Π²Π°ΡΠ΅ ΡΠΎΠΏΠ»ΠΈΠ²ΠΎ Π·Π°ΡΠΈΡΠ΅Π½ΠΎ ΠΎΡ ΠΏΠ»ΠΎΡ ΠΈΡ ΠΏΠΎΠ³ΠΎΠ΄Π½ΡΡ ΡΡΠ»ΠΎΠ²ΠΈΠΉ, ΡΡΠΎΠ±Ρ ΠΈΠ·Π±Π΅ΠΆΠ°ΡΡ Π·Π°Π³ΡΡΠ·Π½Π΅Π½ΠΈΡ ΡΠΎΠΏΠ»ΠΈΠ²Π°. ΠΡΠΎΡΡΠΈΡΠ΅, ΡΡΠΎΠ±Ρ ΡΠ·Π½Π°ΡΡ, ΠΊΠ°ΠΊΠΈΠ΅ ΠΌΠ΅ΡΡ Π²Ρ ΠΌΠΎΠΆΠ΅ΡΠ΅ ΠΏΡΠ΅Π΄ΠΏΡΠΈΠ½ΡΡΡ, ΡΡΠΎΠ±Ρ ΠΏΡΠ΅Π΄ΠΎΡΠ²ΡΠ°ΡΠΈΡΡ Π·Π°Π³ΡΡΠ·Π½Π΅Π½ΠΈΠ΅ ΡΠΎΠΏΠ»ΠΈΠ²Π°, Π° ΡΠ°ΠΊΠΆΠ΅ ΠΎΠ·Π½Π°ΠΊΠΎΠΌΡΡΠ΅ΡΡ Ρ Π½Π°ΡΠΈΠΌ ΡΡΠΊΠΎΠ²ΠΎΠ΄ΡΡΠ²ΠΎΠΌ ΠΏΠΎ Π·Π°Π³ΡΡΠ·Π½Π΅Π½ΠΈΡ Π΄ΠΈΠ·Π΅Π»ΡΠ½ΠΎΠ³ΠΎ ΡΠΎΠΏΠ»ΠΈΠ²Π°.
ΠΠ΄Π΅ΡΡ, Π² Crown Oil, ΠΌΡ ΠΏΡΠ΅Π΄Π»Π°Π³Π°Π΅ΠΌ ΡΠΈΡΠΎΠΊΠΈΠΉ ΡΠΏΠ΅ΠΊΡΡ ΡΠΊΠΎΠ»ΠΎΠ³ΠΈΡΠ΅ΡΠΊΠΈΡ
ΡΡΠ»ΡΠ³, ΡΠ°ΠΊΠΈΡ
ΠΊΠ°ΠΊ ΠΏΠΎΠ»ΠΈΡΠΎΠ²ΠΊΠ° ΡΠΎΠΏΠ»ΠΈΠ²Π°, ΡΠ΅ΡΡΠΈΡΠΎΠ²Π°Π½ΠΈΠ΅ ΡΠΎΠΏΠ»ΠΈΠ²Π°, ΠΎΡΠΈΡΡΠΊΠ° Π±Π°ΠΊΠΎΠ², ΠΏΠΎΠ΄ΡΠ΅ΠΌ ΡΠΎΠΏΠ»ΠΈΠ²Π°, Π° ΡΠ°ΠΊΠΆΠ΅ ΡΠ΅Ρ
Π½ΠΈΡΠ΅ΡΠΊΠΈΠ΅ ΠΊΠΎΠ½ΡΡΠ»ΡΡΠ°ΡΠΈΠΈ ΠΈ ΡΠ΅ΠΊΠΎΠΌΠ΅Π½Π΄Π°ΡΠΈΠΈ ΠΏΠΎ ΡΠΎΠΏΠ»ΠΈΠ²Ρ, ΠΊΠΎΡΠΎΡΡΠ΅ ΠΏΠΎΠΌΠΎΠ³ΡΡ ΡΠΎΡ
ΡΠ°Π½ΠΈΡΡ ΡΠΎΠΏΠ»ΠΈΠ²ΠΎ Π² ΠΏΠ΅ΡΠ²ΠΎΠ·Π΄Π°Π½Π½ΠΎΠΌ ΡΠΎΡΡΠΎΡΠ½ΠΈΠΈ.
ΠΠ°ΡΠ°ΡΠΈΠ½Ρ
ΠΡΠ΅ Π΄ΠΈΠ·Π΅Π»ΡΠ½ΠΎΠ΅ ΡΠΎΠΏΠ»ΠΈΠ²ΠΎ ΡΠΎΠ΄Π΅ΡΠΆΠΈΡ ΠΏΠ°ΡΠ°ΡΠΈΠ½ΠΎΠ²ΡΠ΅ ΠΏΠ°ΡΠ°ΡΠΈΠ½Ρ, ΠΊΠΎΡΠΎΡΡΠ΅ ΡΠ²Π»ΡΡΡΡΡ Π²Π°ΠΆΠ½ΡΠΌ ΠΊΠΎΠΌΠΏΠΎΠ½Π΅Π½ΡΠΎΠΌ, ΠΊΠΎΡΠΎΡΡΠΉ ΠΏΡΠΈΠ΄Π°Π΅Ρ Π΅ΠΌΡ Π²ΡΡΠΎΠΊΠΎΠ΅ ΡΠ΅ΡΠ°Π½ΠΎΠ²ΠΎΠ΅ ΡΠΈΡΠ»ΠΎ, ΠΎΠ±Π΅ΡΠΏΠ΅ΡΠΈΠ²Π°ΡΡΠ΅Π΅ ΡΡΡΠ΅ΠΊΡΠΈΠ²Π½ΠΎΠ΅ ΡΠ³ΠΎΡΠ°Π½ΠΈΠ΅. Π ΠΈΠ΄Π΅Π°Π»Π΅ ΡΡΠΈ ΠΏΠ°ΡΠ°ΡΠΈΠ½Ρ ΠΏΡΠ΅Π΄ΡΡΠ°Π²Π»ΡΡΡ ΡΠΎΠ±ΠΎΠΉ ΠΆΠΈΠ΄ΠΊΠΎΡΡΡ ΠΈ ΡΠ°ΡΡΠ²ΠΎΡΡΡΡΡΡ Π² Π΄ΠΈΠ·Π΅Π»ΡΠ½ΠΎΠΌ ΡΠΎΠΏΠ»ΠΈΠ²Π΅, Π½ΠΎ ΠΊΠΎΠ³Π΄Π° ΠΊΡΠ°ΡΠ½ΠΎΠ΅ Π΄ΠΈΠ·Π΅Π»ΡΠ½ΠΎΠ΅ ΡΠΎΠΏΠ»ΠΈΠ²ΠΎ ΡΡΠ°Π½ΠΎΠ²ΠΈΡΡΡ Π΄ΠΎΡΡΠ°ΡΠΎΡΠ½ΠΎ Ρ ΠΎΠ»ΠΎΠ΄Π½ΡΠΌ, ΠΌΠΎΠ»Π΅ΠΊΡΠ»Ρ Π½Π°ΡΠΈΠ½Π°ΡΡ ΠΎΠ±ΡΠ°Π·ΠΎΠ²ΡΠ²Π°ΡΡ ΠΊΡΠΈΡΡΠ°Π»Π»Ρ ΠΈ Π·Π°ΡΠ²Π΅ΡΠ΄Π΅Π²Π°ΡΡ.
ΠΡΠΈ Π·Π½Π°ΡΠΈΡΠ΅Π»ΡΠ½ΠΎΠΌ ΠΏΠ°Π΄Π΅Π½ΠΈΠΈ ΡΠ΅ΠΌΠΏΠ΅ΡΠ°ΡΡΡΡ ΠΊΡΠΈΡΡΠ°Π»Π»Ρ ΡΠ»ΠΈΠ²Π°ΡΡΡΡ ΠΈ ΠΎΠ±ΡΠ°Π·ΡΡΡ Π±ΠΎΠ»ΡΡΠΈΠ΅ ΠΏΠ»ΠΎΡΠΊΠΈΠ΅ ΠΊΡΠΈΡΡΠ°Π»Π»Ρ, ΠΊΠΎΡΠΎΡΡΠ΅ Π±Π»ΠΎΠΊΠΈΡΡΡΡ ΡΠΎΠΏΠ»ΠΈΠ²Π½ΡΠΉ ΡΠΈΠ»ΡΡΡ. Π Π½Π΅ΠΊΠΎΡΠΎΡΡΡ ΡΠ»ΡΡΠ°ΡΡ ΡΡΡΠ±ΠΎΠΏΡΠΎΠ²ΠΎΠ΄ Ρ ΡΠ·ΠΊΠΈΠΌ ΠΏΡΠΎΡ ΠΎΠ΄ΠΎΠΌ ΠΌΠΎΠΆΠ΅Ρ ΠΈΠ·Π³ΠΈΠ±Π°ΡΡΡΡ, ΡΡΠΎ ΠΌΠΎΠΆΠ΅Ρ ΠΏΡΠΈΠ²Π΅ΡΡΠΈ ΠΊ ΠΏΠΎΠ»Π½ΠΎΠΉ Π±Π»ΠΎΠΊΠΈΡΠΎΠ²ΠΊΠ΅ ΡΠΎΠ΅Π΄ΠΈΠ½Π΅Π½ΠΈΠΉ. ΠΡΠΎ ΠΏΡΠΈΠ²Π΅Π΄Π΅Ρ ΠΊ ΠΎΡΠΊΠ°Π·Ρ ΠΈΠ»ΠΈ ΠΎΡΡΠ°Π½ΠΎΠ²ΠΊΠ΅ Π΄Π²ΠΈΠ³Π°ΡΠ΅Π»Ρ ΠΈΠ·-Π·Π° Π½Π΅Ρ Π²Π°ΡΠΊΠΈ ΡΠΎΠΏΠ»ΠΈΠ²Π°.
Π’Π΅ ΠΆΠ΅ ΠΏΡΠΎΠ±Π»Π΅ΠΌΡ Π²ΠΎΠ·Π½ΠΈΠΊΠ½ΡΡ, Π΅ΡΠ»ΠΈ ΠΈΡΠΏΠΎΠ»ΡΠ·ΡΠ΅ΡΡΡ Π½Π΅ΠΏΡΠ°Π²ΠΈΠ»ΡΠ½ΡΠΉ ΡΠΎΡΡ ΠΊΡΠ°ΡΠ½ΠΎΠ³ΠΎ Π΄ΠΈΠ·Π΅Π»ΡΠ½ΠΎΠ³ΠΎ ΡΠΎΠΏΠ»ΠΈΠ²Π°.
ΠΠ°ΠΊΠΎΠ²Ρ ΡΠ²Π½ΡΠ΅ ΠΏΡΠΈΠ·Π½Π°ΠΊΠΈ ΠΏΡΠΎΠ±Π»Π΅ΠΌ Ρ ΠΏΠ°ΡΠ°ΡΠΈΠ½ΠΎΠΌ?
ΠΠΈΠ·Π΅Π»Ρ ΠΈΠΌΠ΅Π΅Ρ ΠΌΠΎΠ»ΠΎΡΠ½ΡΠΉ Π²ΠΈΠ΄
ΠΡΠ°ΡΠ½ΠΎΠ²Π°ΡΡΠΉ Π½Π°Π»Π΅Ρ Π½Π° Π΄Π½Π΅ Π±Π°ΠΊΠ°
ΠΡΠ°ΡΠ½ΠΎΠ²Π°ΡΡΠΉ Π½Π°Π»Π΅Ρ Π½Π° ΠΏΠΎΠ²Π΅ΡΡ
Π½ΠΎΡΡΠΈ ΡΠΎΠΏΠ»ΠΈΠ²Π½ΠΎΠ³ΠΎ ΡΠΈΠ»ΡΡΡΠ°
ΠΠ²ΠΈΠ³Π°ΡΠ΅Π»ΠΈ Π±ΡΠ΄Π΅Ρ ΡΡΡΠ΄Π½ΠΎ Π·Π°ΠΏΡΡΠΊΠ°ΡΡΡΡ ΠΈΠ»ΠΈ Π²ΠΎΠΎΠ±ΡΠ΅ Π½Π΅ Π·Π°ΠΏΡΡΠΊΠ°ΡΡΡΡ
ΠΠ°ΠΊΠΎΠ²Ρ Ρ ΠΎΠ»ΠΎΠ΄Π½ΡΠ΅ ΡΠ²ΠΎΠΉΡΡΠ²Π° ΠΊΡΠ°ΡΠ½ΡΠΉ Π΄ΠΈΠ·Π΅Π»Ρ?
Π‘ΠΏΠ΅ΡΠΈΡΠΈΠΊΠ°ΡΠΈΡ Ρ
ΠΎΠ»ΠΎΠ΄Π½ΠΎΠ³ΠΎ ΠΏΠΎΡΠΎΠΊΠ° ΠΏΡΠ΅Π΄ΡΡΠ°Π²Π»Π΅Π½Π° ββΡΠΎΡΠΊΠΎΠΉ Π·Π°ΠΊΡΠΏΠΎΡΠΈΠ²Π°Π½ΠΈΡ Ρ
ΠΎΠ»ΠΎΠ΄Π½ΠΎΠ³ΠΎ ΡΠΈΠ»ΡΡΡΠ° (CFPP) Ρ ΠΌΠ°ΠΊΡΠΈΠΌΠ°Π»ΡΠ½ΠΎΠΉ ΡΠ΅ΠΌΠΏΠ΅ΡΠ°ΡΡΡΠΎΠΉ -12 Β° C Π·ΠΈΠΌΠΎΠΉ ΠΈ -4 Β° C Π»Π΅ΡΠΎΠΌ (Π±ΡΠΈΡΠ°Π½ΡΠΊΠΈΠΉ ΡΡΠ°Π½Π΄Π°ΡΡ BS2869).
CFPP ΠΈΠ·ΠΌΠ΅ΡΡΠ΅ΡΡΡ Π² Π»Π°Π±ΠΎΡΠ°ΡΠΎΡΠΈΠΈ Π² ΡΠΎΠΎΡΠ²Π΅ΡΡΡΠ²ΠΈΠΈ ΡΠΎ ΡΡΠ°Π½Π΄Π°ΡΡΠΎΠΌ EN 116. Π ΡΡΠΎΠΌ ΠΌΠ΅ΡΠΎΠ΄Π΅ ΠΈΡΠΏΠΎΠ»ΡΠ·ΡΠ΅ΡΡΡ ΠΏΡΠΎΡΠ΅Π΄ΡΡΠ° ΠΏΠΎΡΡΠ΅ΠΏΠ΅Π½Π½ΠΎΠ³ΠΎ ΠΎΡ Π»Π°ΠΆΠ΄Π΅Π½ΠΈΡ, ΠΎΡΠΎΠ±ΡΠ΅ ΡΡΠ»ΠΎΠ²ΠΈΡ ΠΎΡΠΊΠ°ΡΠΊΠΈ ΠΈ ΡΠ°Π·ΠΌΠ΅Ρ ΡΡΠ΅Π΅ΠΊ ΡΠΈΠ»ΡΡΡΠ° 45 ΠΌΠΈΠΊΡΠΎΠ½. ΠΠ½ ΡΠ°Π·ΡΠ°Π±ΠΎΡΠ°Π½ ΠΏΡΠΎΠΈΠ·Π²ΠΎΠ΄ΠΈΡΠ΅Π»ΡΠΌΠΈ Π°Π²ΡΠΎΠΌΠΎΠ±ΠΈΠ»Π΅ΠΉ ΡΠΎΠ²ΠΌΠ΅ΡΡΠ½ΠΎ Ρ Π½Π΅ΡΡΡΠ½ΡΠΌΠΈ ΠΊΠΎΠΌΠΏΠ°Π½ΠΈΡΠΌΠΈ ΠΈ ΠΈΡΠΏΠΎΠ»ΡΠ·ΡΠ΅ΡΡΡ Π΄Π»Ρ Π΄Π΅ΠΌΠΎΠ½ΡΡΡΠ°ΡΠΈΠΈ ΡΡΡΠΎΠΉΡΠΈΠ²ΠΎΡΡΠΈ ΠΊ Ρ ΠΎΠ»ΠΎΠ΄Ρ Π²ΡΠ΅Ρ ΡΠΎΠ²ΡΠ΅ΠΌΠ΅Π½Π½ΡΡ Π΅Π²ΡΠΎΠΏΠ΅ΠΉΡΠΊΠΈΡ Π³Π°Π·ΠΎΠΉΠ»Π΅ΠΉ.
Π’Π΅ΡΡ CFPP Π²ΡΡΠ²Π»ΡΠ΅Ρ Π½Π°Π΄Π΅ΠΆΠ½ΡΡ ΠΊΠΎΡΡΠ΅Π»ΡΡΠΈΡ Ρ Ρ Π°ΡΠ°ΠΊΡΠ΅ΡΠΈΡΡΠΈΠΊΠ°ΠΌΠΈ Π΄Π²ΠΈΠ³Π°ΡΠ΅Π»Ρ ΠΈ ΠΈΡΠΏΠΎΠ»ΡΠ·ΡΠ΅ΡΡΡ ΠΏΠΎ Π²ΡΠ΅ΠΉ ΠΠ²ΡΠΎΠΏΠ΅ Π΄Π»Ρ Π²ΡΠ΅Ρ ΠΌΠ°ΡΠΎΠΊ Π΄ΠΈΠ·Π΅Π»ΡΠ½ΠΎΠ³ΠΎ ΡΠΎΠΏΠ»ΠΈΠ²Π° ΠΈ ΠΊΡΠ°ΡΠ½ΠΎΠ³ΠΎ Π΄ΠΈΠ·Π΅Π»ΡΠ½ΠΎΠ³ΠΎ ΡΠΎΠΏΠ»ΠΈΠ²Π°, ΡΡΠΎΠ±Ρ ΡΠΎΡΠ½ΠΎ ΠΎΠΏΡΠ΅Π΄Π΅Π»ΠΈΡΡ ΡΠ²ΠΎΠΉΡΡΠ²Π° Ρ Π»Π°Π΄ΠΎΡΠ΅ΠΊΡΡΠ΅ΡΡΠΈ ΡΠΎΠΏΠ»ΠΈΠ²Π° ΠΈ Π² ΠΊΠ°ΡΠ΅ΡΡΠ²Π΅ ΠΏΠ°ΡΠ°ΠΌΠ΅ΡΡΠ° ΡΠΏΠ΅ΡΠΈΡΠΈΠΊΠ°ΡΠΈΠΈ.
B2 2869, Π Π°Π·Π΄Π΅Π» 8.2 — Π‘Π΅Π·ΠΎΠ½Π½ΡΠ΅ ΡΡΠ΅Π±ΠΎΠ²Π°Π½ΠΈΡ
ΠΠ°Π·ΠΎΠΉΠ»Ρ
ΠΠ°Π·ΠΎΠΉΠ»Ρ Π΄ΠΎΠ»ΠΆΠ΅Π½ ΠΈΠΌΠ΅ΡΡ ΡΠ»Π΅Π΄ΡΡΡΡΡ ΠΌΠ°ΠΊΡΠΈΠΌΠ°Π»ΡΠ½ΡΡ ΡΠ΅ΠΌΠΏΠ΅ΡΠ°ΡΡΡΡ ΡΠΎΡΠΊΠΈ Π·Π°ΠΊΡΠΏΠΎΡΠΈΠ²Π°Π½ΠΈΡ Ρ ΠΎΠ»ΠΎΠ΄Π½ΠΎΠ³ΠΎ ΡΠΈΠ»ΡΡΡΠ° (CFPP) Π² ΡΠΊΠ°Π·Π°Π½Π½ΡΠ΅ ΡΠ΅Π·ΠΎΠ½Ρ.
ΠΠ»Ρ ΡΠΎΠΏΠ»ΠΈΠ²Π° A2 ΠΈ D, ΠΏΠΎΡΡΠ°Π²Π»ΡΠ΅ΠΌΠΎΠ³ΠΎ Ρ Π½Π΅ΡΡΠ΅ΠΏΠ΅ΡΠ΅ΡΠ°Π±Π°ΡΡΠ²Π°ΡΡΠΈΡ Π·Π°Π²ΠΎΠ΄ΠΎΠ² ΠΈ ΠΈΠΌΠΏΠΎΡΡΠΈΡΡΠ΅ΠΌΠΎΠ³ΠΎ Π² Π‘ΠΎΠ΅Π΄ΠΈΠ½Π΅Π½Π½ΠΎΠ΅ ΠΠΎΡΠΎΠ»Π΅Π²ΡΡΠ²ΠΎ:
- ΠΠ΅ΡΠΎ: Ρ 16 ΠΌΠ°ΡΡΠ° ΠΏΠΎ 15 ΠΎΠΊΡΡΠ±ΡΡ Π²ΠΊΠ»ΡΡΠΈΡΠ΅Π»ΡΠ½ΠΎ, -4 Β° C
- ΠΠΈΠΌΠ°: Ρ 16 ΠΎΠΊΡΡΠ±ΡΡ ΠΏΠΎ 15 ΠΌΠ°ΡΡΠ° Π²ΠΊΠ»ΡΡΠΈΡΠ΅Π»ΡΠ½ΠΎ, -12 Β° C
ΠΠ ΠΠΠΠ§ΠΠΠΠ 1: Π’Π΅ΡΠΌΠΈΠ½ Β«ΡΠ°ΡΠΏΡΠΎΡΡΡΠ°Π½ΡΡΡΒ» ΡΠΎΠΎΡΠ²Π΅ΡΡΡΠ²ΡΠ΅Ρ ΠΎΠΏΡΠ΅Π΄Π΅Π»Π΅Π½ΠΈΡ Π² ΠΡΠ°Π²ΠΈΠ»Π°Ρ ΠΏΠΎ ΠΌΠΎΡΠΎΡΠ½ΡΠΌ ΡΠΎΠΏΠ»ΠΈΠ²Π°ΠΌ (ΡΠΎΡΡΠ°Π² ΠΈ ΡΠΎΠ΄Π΅ΡΠΆΠ°Π½ΠΈΠ΅) 1999 (10)
ΠΠ»Ρ ΡΠΎΠΏΠ»ΠΈΠ²Π° ΠΊΠ»Π°ΡΡΠΎΠ² A2 ΠΈ D Π΄Π»Ρ Π΄ΠΎΡΡΠ°Π²ΠΊΠΈ Ρ ΡΠ΅ΡΠΌΠΈΠ½Π°Π»ΠΎΠ²:
- ΠΠ΅ΡΠΎ: 16 Π‘ ΠΌΠ°ΡΡΠ° ΠΏΠΎ 31 ΠΎΠΊΡΡΠ±ΡΡ Π²ΠΊΠ»ΡΡΠΈΡΠ΅Π»ΡΠ½ΠΎ, -4 Β° C
- ΠΠΈΠΌΠ°: Ρ 1 Π½ΠΎΡΠ±ΡΡ ΠΏΠΎ 15 ΠΌΠ°ΡΡΠ° Π²ΠΊΠ»ΡΡΠΈΡΠ΅Π»ΡΠ½ΠΎ, -12 Β° C
ΠΠ»Ρ ΡΠΎΠΏΠ»ΠΈΠ²Π° ΠΊΠ»Π°ΡΡΠΎΠ² A2 ΠΈ D Π΄Π»Ρ Π΄ΠΎΡΡΠ°Π²ΠΊΠΈ ΠΊΠΎΠ½Π΅ΡΠ½ΡΠΌ ΠΏΠΎΡΡΠ΅Π±ΠΈΡΠ΅Π»ΡΠΌ Π΄Π°ΡΡ ΡΠ΅Π·ΠΎΠ½Π½ΠΎΡΡΠΈ ΠΏΡΠΈΠ²Π΅Π΄Π΅Π½Ρ Π² ΡΠ°Π±Π»ΠΈΡΠ΅ 1, Π§Π°ΡΡΠΈ 1 ΠΈ 2 Π½Π°ΡΡΠΎΡΡΠ΅Π³ΠΎ ΠΡΠΈΡΠ°Π½ΡΠΊΠΎΠ³ΠΎ ΡΡΠ°Π½Π΄Π°ΡΡΠ°, Ρ.
e .:
- ΠΠ΅ΡΠΎ: Ρ 16 ΠΌΠ°ΡΡΠ° ΠΏΠΎ 15 Π½ΠΎΡΠ±ΡΡ Π²ΠΊΠ»ΡΡΠΈΡΠ΅Π»ΡΠ½ΠΎ, -4 Β° C
- ΠΠΈΠΌΠ°: Ρ 16 Π½ΠΎΡΠ±ΡΡ ΠΏΠΎ 15 ΠΌΠ°ΡΡΠ° Π²ΠΊΠ»ΡΡΠΈΡΠ΅Π»ΡΠ½ΠΎ, -12 Β° C
ΠΠ°ΠΊ ΠΌΠΎΠΆΠ½ΠΎ Π·Π°ΡΠΈΡΠΈΡΡ ΡΠ²ΠΎΠ΅ ΡΠΎΠΏΠ»ΠΈΠ²ΠΎ ΠΎΡ ΠΏΡΠΎΠ±Π»Π΅ΠΌ, ΡΠ²ΡΠ·Π°Π½Π½ΡΡ Ρ ΡΠ°Π±ΠΎΡΠΎΠΉ Π² Ρ ΠΎΠ»ΠΎΠ΄Π½ΡΡ ΠΏΠΎΠ³ΠΎΠ΄Ρ?
Π£ΠΏΡΠ°Π²Π»ΡΠΉΡΠ΅ ΡΠ²ΠΎΠΈΠΌ ΡΠΎΠΏΠ»ΠΈΠ²ΠΎΠΌ
Π’ΠΎΠΏΠ»ΠΈΠ²ΠΎ Π»Π΅ΡΠ½Π΅Π³ΠΎ ΠΊΠ°ΡΠ΅ΡΡΠ²Π° Π½Π΅Π»ΡΠ·Ρ ΠΎΡΡΠ°Π²Π»ΡΡΡ Π² Π΄Π²ΠΈΠ³Π°ΡΠ΅Π»ΡΡ Π½Π° ΠΏΠΎΡΠΎΠ³Π΅ Π·ΠΈΠΌΡ. ΠΡΠ»ΠΈ Ρ Π²Π°Ρ Π΅ΡΡΡ ΠΎΡΡΠ°ΡΠΊΠΈ Π»Π΅ΡΠ½Π΅Π³ΠΎ ΡΠΎΠΏΠ»ΠΈΠ²Π° ΠΈ Π²Ρ Π·Π°ΠΏΡΠ°Π²Π»ΡΠ΅ΡΠ΅ ΡΠ²ΠΎΠΉ Π±Π°ΠΊ Π·ΠΈΠΌΠ½ΠΈΠΌ ΡΠΎΠΏΠ»ΠΈΠ²ΠΎΠΌ ΡΠ²Π΅ΡΡ Ρ, Π²Ρ ΠΌΠΎΠΆΠ΅ΡΠ΅ ΡΡ ΡΠ΄ΡΠΈΡΡ Ρ Π°ΡΠ°ΠΊΡΠ΅ΡΠΈΡΡΠΈΠΊΠΈ Π·ΠΈΠΌΠ½Π΅Π³ΠΎ Π΄ΠΈΠ·Π΅Π»ΡΠ½ΠΎΠ³ΠΎ ΡΠΎΠΏΠ»ΠΈΠ²Π° Π² Ρ ΠΎΠ»ΠΎΠ΄Π½ΡΡ ΠΏΠΎΠ³ΠΎΠ΄Ρ ΠΈ, Π²Π΅ΡΠΎΡΡΠ½ΠΎ, ΡΡΠΎΠ»ΠΊΠ½ΡΡΡΡΡ Ρ Π½Π΅ΠΆΠ΅Π»Π°ΡΠ΅Π»ΡΠ½ΠΎΠΉ ΠΏΠΎΠ»ΠΎΠΌΠΊΠΎΠΉ ΡΠ΅Ρ Π½ΠΈΠΊΠΈ ΠΈΠ»ΠΈ ΠΎΠ±ΠΎΡΡΠ΄ΠΎΠ²Π°Π½ΠΈΡ.
ΠΠ΅ΡΠ΅Π΄ Π·ΠΈΠΌΠ½ΠΈΠΌ ΠΏΠ΅ΡΠΈΠΎΠ΄ΠΎΠΌ ΡΠ±Π΅Π΄ΠΈΡΠ΅ΡΡ, ΡΡΠΎ Π²Π΅ΡΡ ΠΎΠ±ΡΠ΅ΠΌ Π±Π°ΠΊΠ° ΡΠΎΠΎΡΠ²Π΅ΡΡΡΠ²ΡΠ΅Ρ Π·ΠΈΠΌΠ½ΠΈΠΌ ΡΠΏΠ΅ΡΠΈΡΠΈΠΊΠ°ΡΠΈΡΠΌ. Π§ΡΠΎΠ±Ρ ΠΈΠ·Π±Π΅ΠΆΠ°ΡΡ ΠΏΡΠΎΠ±Π»Π΅ΠΌ Ρ Π²ΠΎΡΠΊΠΎΠΌ Π·ΠΈΠΌΠΎΠΉ, ΠΌΡ ΡΠ΅ΠΊΠΎΠΌΠ΅Π½Π΄ΡΠ΅ΠΌ Π²Π°ΠΌ ΡΠΏΠ»Π°Π½ΠΈΡΠΎΠ²Π°ΡΡ ΡΠ°Π±ΠΎΡΡ Π·Π°ΡΠ°Π½Π΅Π΅ ΠΈ ΠΏΠ΅ΡΠ΅ΠΉΡΠΈ Ρ Π»Π΅ΡΠ½Π΅Π³ΠΎ Π½Π° Π·ΠΈΠΌΠ½Π΅Π΅ ΡΠΎΠΏΠ»ΠΈΠ²ΠΎ ΠΊΠ°ΠΊ ΠΌΠΈΠ½ΠΈΠΌΡΠΌ ΠΊ ΠΈΡΠ½Ρ. ΠΡΠ»ΠΈ Ρ Π²Π°Ρ Π΅ΡΡΡ ΠΊΠ°ΠΊΠΈΠ΅-Π»ΠΈΠ±ΠΎ ΠΎΠΏΠ°ΡΠ΅Π½ΠΈΡ ΠΎΡΠ½ΠΎΡΠΈΡΠ΅Π»ΡΠ½ΠΎ Π²Π°ΡΠ΅Π³ΠΎ Ρ
ΡΠ°Π½ΠΈΠ»ΠΈΡΠ° ΠΊΡΠ°ΡΠ½ΠΎΠ³ΠΎ Π΄ΠΈΠ·Π΅Π»ΡΠ½ΠΎΠ³ΠΎ ΡΠΎΠΏΠ»ΠΈΠ²Π°, Π½Π°ΡΠ° ΠΊΠΎΠΌΠ°Π½Π΄Π° ΡΠΊΡΠΏΠ΅ΡΡΠΎΠ² Π±ΡΠ΄Π΅Ρ ΡΠ°Π΄Π° ΠΏΠΎΠΌΠΎΡΡ, ΠΏΠΎΡΡΠΎΠΌΡ ΠΏΠΎΠ·Π²ΠΎΠ½ΠΈΡΠ΅ Π½Π°ΠΌ ΡΠ΅Π³ΠΎΠ΄Π½Ρ ΠΏΠΎ ΡΠ΅Π»Π΅ΡΠΎΠ½Ρ 0330 123 1444.
Π’ΠΎΠΏΠ»ΠΈΠ²Π½ΡΠ΅ Π±Π°ΠΊΠΈ ΠΈ Π΄Π²ΠΈΠ³Π°ΡΠ΅Π»ΠΈ ΡΠ±Π΅ΠΆΠΈΡΠ°
ΠΠ΄Π½Π° ΠΈΠ· ΡΠ°ΠΌΡΡ ΡΡΡΠ΅ΠΊΡΠΈΠ²Π½ΡΡ ΠΌΠ΅Ρ, ΠΊΠΎΡΠΎΡΡΠ΅ Π²Ρ ΠΌΠΎΠΆΠ΅ΡΠ΅ ΠΏΡΠ΅Π΄ΠΏΡΠΈΠ½ΡΡΡ, ΡΡΠΎΠ±Ρ ΡΠΌΠ΅Π½ΡΡΠΈΡΡ ΠΎΠ±ΡΠ°Π·ΠΎΠ²Π°Π½ΠΈΠ΅ ΠΊΡΠΈΡΡΠ°Π»Π»ΠΎΠ² ΠΏΠ°ΡΠ°ΡΠΈΠ½Π° — ΡΡΠΎ ΠΎΠ±Π΅ΡΠΏΠ΅ΡΠΈΡΡ Π±Π΅Π·ΠΎΠΏΠ°ΡΠ½ΠΎΡΡΡ ΡΠΎΠΏΠ»ΠΈΠ²Π° ΠΎΡ Π·Π°Π³ΡΡΠ·Π½Π΅Π½ΠΈΡ Π·Π° ΡΡΠ΅Ρ Π±Π΅Π·ΠΎΠΏΠ°ΡΠ½ΠΎΠ³ΠΎ Ρ ΡΠ°Π½Π΅Π½ΠΈΡ ΡΠΎΠΏΠ»ΠΈΠ²Π°.ΠΠΌΠΊΠΎΡΡΠΈ Ρ ΡΠΎΠΏΠ»ΠΈΠ²ΠΎΠΌ ΠΈ Π΄Π²ΠΈΠ³Π°ΡΠ΅Π»ΠΈ, ΠΎΡΡΠ°Π²Π»Π΅Π½Π½ΡΠ΅ Π½Π΅Π·Π°ΡΠΈΡΠ΅Π½Π½ΡΠΌΠΈ Π½Π° Π½ΠΎΡΡ, Π±ΡΡΡΡΠΎ ΠΎΡΡΡΠ½ΡΡ, ΠΏΠΎΡΡΠΎΠΌΡ Π½Π°ΡΡΠΎΡΡΠ΅Π»ΡΠ½ΠΎ ΡΠ΅ΠΊΠΎΠΌΠ΅Π½Π΄ΡΠ΅ΡΡΡ Ρ ΡΠ°Π½ΠΈΡΡ ΠΈΡ ΠΏΠΎΠ΄ Π½Π°Π²Π΅ΡΠΎΠΌ ΠΈΠ»ΠΈ ΠΏΠΎΠ΄ Π½Π°Π²Π΅ΡΠΎΠΌ, ΡΡΠΎΠ±Ρ ΠΈΠ·Π±Π΅ΠΆΠ°ΡΡ ΠΏΠΎΡΠ΅ΡΠΈ ΡΠ΅ΠΏΠ»Π° ΠΈ ΠΏΡΠΎΠ±Π»Π΅ΠΌ Ρ ΠΏΠ°ΡΠ°ΡΠΈΠ½ΠΎΠΌ.
ΠΠ½Π°Π»ΠΎΠ³ΠΈΡΠ½ΡΠΌ ΠΎΠ±ΡΠ°Π·ΠΎΠΌ, ΠΏΠΎΠΌΠΎΠΆΠ΅Ρ Π·Π°ΠΌΠ΅Π½Π° ΡΠΎΠΏΠ»ΠΈΠ²Π½ΠΎΠ³ΠΎ ΡΠΈΠ»ΡΡΡΠ°, ΠΏΠΎΡΠΊΠΎΠ»ΡΠΊΡ Π·Π°Π±ΠΈΡΡΠΉ ΡΠΈΠ»ΡΡΡ Π±ΡΠ΄Π΅Ρ ΠΌΠ΅Π½Π΅Π΅ ΡΡΡΠΎΠΉΡΠΈΠ² ΠΊ Π½Π΅Π±ΠΎΠ»ΡΡΠΎΠΌΡ ΠΊΠΎΠ»ΠΈΡΠ΅ΡΡΠ²Ρ ΠΊΡΠΈΡΡΠ°Π»Π»ΠΎΠ² ΠΏΠ°ΡΠ°ΡΠΈΠ½Π°.
ΠΠ·ΠΎΠ»ΠΈΡΠΎΠ²Π°ΡΡ ΡΠ΅Π·Π΅ΡΠ²ΡΠ°ΡΡ, ΡΠΈΠ»ΡΡΡΡ ΠΈ ΠΎΠ±ΡΠ΅ΠΊΡΡ
ΠΡΠ΅ ΠΎΠ΄Π½Π° ΠΌΠ΅ΡΠ°, ΠΊΠΎΡΠΎΡΡΡ Π½Π΅ΠΎΠ±Ρ
ΠΎΠ΄ΠΈΠΌΠΎ ΠΏΡΠ΅Π΄ΠΏΡΠΈΠ½ΡΡΡ, — ΠΎΠ±Π΅ΡΠΏΠ΅ΡΠΈΡΡ ΡΡΡΠ΅ΠΊΡΠΈΠ²Π½ΡΡ ΠΈΠ·ΠΎΠ»ΡΡΠΈΡ ΡΠ΅Π·Π΅ΡΠ²ΡΠ°ΡΠΎΠ², ΡΠΈΠ»ΡΡΡΠΎΠ² ΠΈ ΠΎΠ±ΠΎΡΡΠ΄ΠΎΠ²Π°Π½ΠΈΡ. ΠΡΠΎ ΡΠΊΠΎΠ½ΠΎΠΌΠΈΡΠ½ΡΠΉ ΡΠΏΠΎΡΠΎΠ± ΡΠΌΠ΅Π½ΡΡΠΈΡΡ Π²ΠΎΡΠΊΠΎΠ²ΡΡ ΡΠΏΠΈΠ»ΡΡΠΈΡ ΠΈ Π΄ΠΎΡΠΎΠ³ΠΎΡΡΠΎΡΡΠΈΠ΅ ΠΏΡΠΎΡΡΠΎΠΈ.
Π Π΅ΠΊΠΎΠΌΠ΅Π½Π΄Π°ΡΠΈΠΈ ΠΏΠΎ Ρ
ΡΠ°Π½Π΅Π½ΠΈΡ:
ΠΡΠΈΡΡΠΈΡΠ΅ Π²Π΅Π½ΡΠΈΠ»ΡΡΠΈΠΎΠ½Π½ΡΡ ΡΡΡΠ±Ρ Π±Π°ΠΊΠ°, ΡΡΠΎΠ±Ρ ΠΎΠ½Π° ΠΌΠΎΠ³Π»Π° Π΄ΡΡΠ°ΡΡ
Π£Π΄Π°Π»ΠΈΡΠ΅ Π²ΡΡ Π²ΠΎΠ΄Ρ ΠΈΠ· ΡΠΎΠΏΠ»ΠΈΠ²Π° ΠΎΡ ΠΊΠΎΠ½Π΄Π΅Π½ΡΠ°ΡΠ° Π² ΡΠ΅Π·Π΅ΡΠ²ΡΠ°ΡΠ°Ρ
, ΡΠ°ΠΊ ΠΊΠ°ΠΊ ΠΎΠ½Π° ΠΌΠΎΠΆΠ΅Ρ Π·Π°ΠΌΠ΅ΡΠ·Π½ΡΡΡ ΠΎΡ 0 Β° C ΠΈ Π²ΡΠ·Π²Π°ΡΡ Π·Π°ΡΠΎΡΠ΅Π½ΠΈΠ΅ ΡΠΈΠ»ΡΡΡΠΎΠ² ΠΈ ΡΡΡΠ±.
ΠΎΠ½ΠΎ ΠΎΡΡΡΠ²Π°Π΅Ρ Π±ΡΡΡΡΠ΅Π΅, Π΅ΡΠ»ΠΈ Π΅Π³ΠΎ Π½Π΅ ΡΠΊΡΡΠ²Π°ΡΡ.
Π Π΅Π³ΡΠ»ΡΡΠ½ΠΎ ΠΏΡΠΎΠ²Π΅ΡΡΠΉΡΠ΅ ΡΠ²ΠΎΠ΅ ΡΠΎΠΏΠ»ΠΈΠ²ΠΎ — ΠΊΡΠΈΡΡΠ°Π»Π»Ρ ΠΏΠ°ΡΠ°ΡΠΈΠ½Π° ΠΌΠΎΠ³ΡΡ ΠΎΡΠ΅Π΄Π°ΡΡ, Π°Π³Π»ΠΎΠΌΠ΅ΡΠΈΡΠΎΠ²Π°ΡΡΡΡ ΠΈ Π½Π°ΠΊΠ°ΠΏΠ»ΠΈΠ²Π°ΡΡΡΡ Π½Π° Π΄Π½Π΅ Π±Π°ΠΊΠ° ΠΈ ΠΏΡΠ΅ΠΏΡΡΡΡΠ²ΠΎΠ²Π°ΡΡ ΠΏΠ΅ΡΠ΅ΠΊΠ°ΡΠΊΠ΅ ΠΊΡΠ°ΡΠ½ΠΎΠ³ΠΎ Π΄ΠΈΠ·Π΅Π»ΡΠ½ΠΎΠ³ΠΎ ΡΠΎΠΏΠ»ΠΈΠ²Π°.
Π’ΡΠ΅Π±ΡΠ΅ΡΡΡ ΡΠΎΠ»ΡΠΊΠΎ ΠΎΠ΄Π½Π° ΠΏΠΎΡΡΠ°Π²ΠΊΠ° Π² Π³ΠΎΠ΄? ΠΠΎΠΏΠΎΠ»Π½ΡΠΉΡΠ΅ Π·Π°ΠΏΠ°ΡΡ Π² Π·ΠΈΠΌΠ½ΠΈΠΉ ΡΠ΅Π·ΠΎΠ½, ΡΠ°ΠΊ ΠΊΠ°ΠΊ ΡΠΎΠΏΠ»ΠΈΠ²ΠΎ ΡΡΠΎΠ³ΠΎ ΡΠΎΡΡΠ° ΠΌΠΎΠΆΠ½ΠΎ ΠΈΡΠΏΠΎΠ»ΡΠ·ΠΎΠ²Π°ΡΡ ΠΊΡΡΠ³Π»ΡΠΉ Π³ΠΎΠ΄.
ΠΠΈΠ½ΠΈΠΌΠ°Π»ΡΠ½Π°Ρ ΡΠ΅ΠΌΠΏΠ΅ΡΠ°ΡΡΡΠ° Ρ
ΡΠ°Π½Π΅Π½ΠΈΡ ΠΈ ΠΎΠ±ΡΠ°ΡΠ΅Π½ΠΈΡ Ρ Π½ΠΈΠΌ ΡΠ΅ΠΊΠΎΠΌΠ΅Π½Π΄ΡΠ΅ΡΡΡ Π² Π΄ΠΈΠ°ΠΏΠ°Π·ΠΎΠ½Π΅ ΠΎΡ 0 Β° C Π΄ΠΎ 5 Β° C ΡΠ°ΠΌ, Π³Π΄Π΅ ΠΎΠΆΠΈΠ΄Π°Π΅ΡΡΡ ΡΠΈΠ»ΡΠ½ΡΠΉ Ρ
ΠΎΠ»ΠΎΠ΄.
ΠΠ·ΠΎΠ»ΠΈΡΡΠΉΡΠ΅ Π½Π°Π·Π΅ΠΌΠ½ΠΎΠ΅ ΠΎΠ±ΠΎΡΡΠ΄ΠΎΠ²Π°Π½ΠΈΠ΅ Π΄Π»Ρ Ρ
ΡΠ°Π½Π΅Π½ΠΈΡ ΠΈ ΠΏΠΎΠ³ΡΡΠ·ΠΎΡΠ½ΠΎ-ΡΠ°Π·Π³ΡΡΠ·ΠΎΡΠ½ΡΡ
ΡΠ°Π±ΠΎΡ
ΠΠ·ΠΎΠ»ΠΈΡΡΠΉΡΠ΅ Π½Π΅Π·Π°ΡΠΈΡΠ΅Π½Π½ΡΠ΅ ΡΡΠ°ΡΡΠΊΠΈ ΡΠ΅Π·Π΅ΡΠ²ΡΠ°ΡΡ, ΡΡΡΠ±Ρ ΠΈ Π½Π°ΡΠΎΡΡ
Π‘ΠΌΠ°Π·ΠΎΡΠ½ΡΠ΅ ΠΌΠ°ΡΠ΅ΡΠΈΠ°Π»Ρ Π΄Π»Ρ Π·ΠΈΠΌΠ½ΠΈΡ ΡΡΠ»ΠΎΠ²ΠΈΠΉ
Π‘ΠΌΠ°Π·ΠΎΡΠ½ΡΠ΅ ΠΌΠ°ΡΠ΅ΡΠΈΠ°Π»Ρ ΠΈ ΠΌΠ°ΡΠ»Π° Π²Π°ΠΆΠ½Ρ Π΄Π»Ρ ΡΠ°Π±ΠΎΡΡ Π² Ρ ΠΎΠ»ΠΎΠ΄Π½ΡΡ ΠΏΠΎΠ³ΠΎΠ΄Ρ.ΠΡΠ»ΠΈ ΠΈΡΠΏΠΎΠ»ΡΠ·ΡΠ΅ΡΡΡ Π½Π΅ΠΏΠΎΠ΄Ρ ΠΎΠ΄ΡΡΠ΅Π΅ ΠΌΠ°ΡΠ»ΠΎ, Π΄Π²ΠΈΠ³Π°ΡΠ΅Π»Ρ Π±ΡΠ΄Π΅Ρ ΠΌΠ΅Π½Π΅Π΅ Π·Π°ΡΠΈΡΠ΅Π½ ΠΎΡ ΡΡΠ΅Π½ΠΈΡ ΠΈ ΠΊΠΎΡΡΠΎΠ·ΠΈΠΈ, ΡΡΠΎ ΠΌΠΎΠΆΠ΅Ρ Π²ΡΠ·Π²Π°ΡΡ ΠΏΡΠΎΠ±Π»Π΅ΠΌΡ Ρ Π·Π°ΠΏΡΡΠΊΠΎΠΌ.
ΠΡΠ»ΠΈ ΠΌΠΎΡΠΎΡΠ½ΠΎΠ΅ ΠΌΠ°ΡΠ»ΠΎ ΡΠ°Π·Π±Π°Π²Π»ΡΠ΅ΡΡΡ ΡΠΎΠΏΠ»ΠΈΠ²ΠΎΠΌ, Π² ΡΠΌΠ°Π·ΠΎΡΠ½ΠΎΠΌ ΠΌΠ°ΡΠ»Π΅ ΠΌΠΎΠΆΠ΅Ρ Π½Π°ΠΊΠ°ΠΏΠ»ΠΈΠ²Π°ΡΡΡΡ Π΄ΠΎΡΡΠ°ΡΠΎΡΠ½ΠΎΠ΅ ΠΊΠΎΠ»ΠΈΡΠ΅ΡΡΠ²ΠΎ ΠΏΠ°ΡΠ°ΡΠΈΠ½Π°, ΡΡΠΎ ΠΏΡΠΈΠ²Π΅Π΄Π΅Ρ ΠΊ Π΅Π³ΠΎ Π·Π°ΡΠ²Π΅ΡΠ΄Π΅Π²Π°Π½ΠΈΡ Π² Ρ
ΠΎΠ»ΠΎΠ΄Π½ΡΡ ΠΏΠΎΠ³ΠΎΠ΄Ρ.
ΠΠ΅ΡΠ΅Π΄ Π·Π°ΠΏΡΡΠΊΠΎΠΌ ΡΠ±Π΅Π΄ΠΈΡΠ΅ΡΡ, ΡΡΠΎ ΠΌΠ°ΡΠ»ΠΎ ΠΆΠΈΠ΄ΠΊΠΎΠ΅ Π½Π° ΡΡΠΏΠ΅. ΠΡΠ»ΠΈ Π²Ρ Π½Π΅ ΡΠ²Π΅ΡΠ΅Π½Ρ, Π²ΡΠ΅Π³Π΄Π° ΠΌΠ΅Π½ΡΠΉΡΠ΅ ΠΌΠ°ΡΠ»ΠΎ ΠΏΠ΅ΡΠ΅Π΄ ΠΏΠΎΠ΅Π·Π΄ΠΊΠΎΠΉ Π² ββΡΡΡΠΎΠ²ΡΠ΅ Ρ ΠΎΠ»ΠΎΠ΄Π°.
Π Π°ΡΡΠΌΠΎΡΡΠΈΡΠ΅ ΡΠΎΠΏΠ»ΠΈΠ²ΠΎ HVO
Π’ΠΎΠΏΠ»ΠΈΠ²ΠΎ HVO (Π³ΠΈΠ΄ΡΠΎΠΎΡΠΈΡΠ΅Π½Π½ΠΎΠ΅ ΡΠ°ΡΡΠΈΡΠ΅Π»ΡΠ½ΠΎΠ΅ ΠΌΠ°ΡΠ»ΠΎ) ΠΏΡΠ΅Π΄ΡΡΠ°Π²Π»ΡΠ΅Ρ ΡΠΎΠ±ΠΎΠΉ Π·Π°ΠΌΠ΅Π½ΡΡΡΠ΅Π΅ Π΄ΠΈΠ·Π΅Π»ΡΠ½ΠΎΠ΅ ΡΠΎΠΏΠ»ΠΈΠ²ΠΎ, ΠΌΠΎΠ±ΠΈΠ»ΡΠ½ΠΎΠ΅ ΠΈ ΡΠΈΠ»ΡΡΡΡΠ΅ΠΌΠΎΠ΅ Π΄ΠΎ -32 Β° C, ΠΏΠΎΡΡΠΎΠΌΡ ΠΎΠ½ΠΎ Π±ΡΠ΄Π΅Ρ ΡΡΡΠΎΠΉΡΠΈΠ²ΠΎ ΠΊ Π³Π΅Π»Π΅ΠΎΠ±ΡΠ°Π·ΠΎΠ²Π°Π½ΠΈΡ Π² Π½Π°ΠΈΡ ΡΠ΄ΡΠΈΡ ΡΡΠ»ΠΎΠ²ΠΈΡΡ , ΠΏΠΎΠ·Π²ΠΎΠ»ΡΡ Π²Π°ΡΠ΅ΠΌΡ ΠΎΠ±ΠΎΡΡΠ΄ΠΎΠ²Π°Π½ΠΈΡ ΠΏΡΠΎΠ΄ΠΎΠ»ΠΆΠ°ΡΡ ΡΠ°Π±ΠΎΡΠ°ΡΡ Π² Π»ΡΠ±ΠΎΠ΅ Π²ΡΠ΅ΠΌΡ. Π·ΠΈΠΌΠ°.ΠΠ΄ΠΎΠ±Π°Π²ΠΎΠΊ ΠΊ ΡΡΠΎΠΌΡ, HVO ΠΏΡΠΎΠΈΠ·Π²ΠΎΠ΄ΠΈΡΡΡ ΠΈΠ· ΠΎΡΠ³Π°Π½ΠΈΡΠ΅ΡΠΊΠΈΡ ΠΌΠ°ΡΠ΅ΡΠΈΠ°Π»ΠΎΠ², ΡΡΠΎ ΠΏΠΎΠ·Π²ΠΎΠ»ΡΠ΅Ρ ΡΠ½ΠΈΠ·ΠΈΡΡ Π²ΡΠ±ΡΠΎΡΡ ΠΏΠ°ΡΠ½ΠΈΠΊΠΎΠ²ΡΡ Π³Π°Π·ΠΎΠ² Π½Π° 90%. HVO ΡΠ°ΠΊΠΆΠ΅ Π½Π΅ ΡΠΎΠ΄Π΅ΡΠΆΠΈΡ FAME, ΠΏΠΎΡΡΠΎΠΌΡ Π·Π°Π³ΡΡΠ·Π½Π΅Π½ΠΈΠ΅ Π΄ΠΈΠ·Π΅Π»ΡΠ½ΠΎΠ³ΠΎ ΡΠΎΠΏΠ»ΠΈΠ²Π° Π½Π΅ ΡΠ²Π»ΡΠ΅ΡΡΡ ΠΏΡΠΎΠ±Π»Π΅ΠΌΠΎΠΉ.
ΠΡΠΈΡΠ°Π΄ΠΊΠΈ
ΠΡΠΏΠΎΠ»ΡΠ·ΠΎΠ²Π°Π½ΠΈΠ΅ ΠΏΡΠΈΡΠ°Π΄ΠΎΠΊ ΠΌΠΎΠΆΠ΅Ρ ΠΏΠΎΠΌΠΎΡΡ ΡΠ»ΡΡΡΠΈΡΡ ΠΌΠΎΡΠΎΠ·ΠΎΡΡΠΎΠΉΠΊΠΎΡΡΡ Π²Π½Π΅Π΄ΠΎΡΠΎΠΆΠ½ΠΎΠ³ΠΎ ΠΊΡΠ°ΡΠ½ΠΎΠ³ΠΎ Π΄ΠΈΠ·Π΅Π»ΡΠ½ΠΎΠ³ΠΎ ΡΠΎΠΏΠ»ΠΈΠ²Π°, Π½ΠΎ ΡΡΡΠΈΡΠ΅, ΡΡΠΎ ΠΎΠ½ΠΈ Π΄ΠΎΠ»ΠΆΠ½Ρ ΠΏΠΎΡΡΠ°Π²Π»ΡΡΡΡΡ ΠΎΡΠΈΡΠΈΠ°Π»ΡΠ½ΡΠΌ ΠΏΠΎΡΡΠ°Π²ΡΠΈΠΊΠΎΠΌ. ΠΡΠ»ΠΈ Π²Ρ ΠΈΡΠΏΠΎΠ»ΡΠ·ΡΠ΅ΡΠ΅ Π½Π΅ΠΏΠΎΠ΄Ρ ΠΎΠ΄ΡΡΡΡ Π΄ΠΎΠ±Π°Π²ΠΊΡ, ΡΡΠΎ ΠΌΠΎΠΆΠ΅Ρ ΠΈΠΌΠ΅ΡΡ Π½Π΅Π±Π»Π°Π³ΠΎΠΏΡΠΈΡΡΠ½ΡΠΉ ΡΡΡΠ΅ΠΊΡ ΠΈ Π²ΡΠ·Π²Π°ΡΡ ΡΠ°ΠΊΠΈΠ΅ ΠΎΡΠ»ΠΎΠΆΠ½Π΅Π½ΠΈΡ, ΠΊΠ°ΠΊ ΠΏΠΎΠΌΡΡΠ½Π΅Π½ΠΈΠ΅ ΠΈ Π²ΠΎΠ΄Π½Π°Ρ ΡΡΡΠΏΠ΅Π½Π·ΠΈΡ.
ΠΠ°ΠΊ Π΄Π΅ΠΉΡΡΠ²ΡΡΡ ΠΏΡΠΈΡΠ°Π΄ΠΊΠΈ?
Π₯ΠΎΠ»ΠΎΠ΄Π½ΡΠ΅ Π΄ΠΎΠ±Π°Π²ΠΊΠΈ (Π‘ΡΠ΅Π΄Π½ΠΈΠ΅ ΡΠ»ΡΡΡΠΈΡΠ΅Π»ΠΈ ΡΠ΅ΠΊΡΡΠ΅ΡΡΠΈ Π΄ΠΈΡΡΠΈΠ»Π»ΡΡΠ°) Π½Π΅ ΡΠ°ΡΡΠ²ΠΎΡΡΡΡ ΠΊΡΠΈΡΡΠ°Π»Π»Ρ ΠΏΠ°ΡΠ°ΡΠΈΠ½Π°, ΠΊΠΎΡΠΎΡΡΠ΅ ΡΠΆΠ΅ ΠΎΠ±ΡΠ°Π·ΠΎΠ²Π°Π»ΠΈΡΡ Π² ΠΊΡΠ°ΡΠ½ΠΎΠΌ Π΄ΠΈΠ·Π΅Π»ΡΠ½ΠΎΠΌ ΡΠΎΠΏΠ»ΠΈΠ²Π΅.
ΠΠ½ΠΈ ΡΠ°Π±ΠΎΡΠ°ΡΡ, ΠΈΠ·ΠΌΠ΅Π½ΡΡ ΠΊΡΠΈΡΡΠ°Π»Π»ΠΈΡΠ΅ΡΠΊΡΡ ΡΡΡΡΠΊΡΡΡΡ, ΡΡΠΎΠ±Ρ Π³Π°ΡΠ°Π½ΡΠΈΡΠΎΠ²Π°ΡΡ, ΡΡΠΎ ΠΎΠ½ΠΈ ΡΠΌΠ΅Π½ΡΡΠ°ΡΡΡΡ Π² ΡΠ°Π·ΠΌΠ΅ΡΠ΅ ΠΈ Π½Π΅ Π½Π°ΠΊΠ°ΠΏΠ»ΠΈΠ²Π°ΡΡΡΡ ΠΈ Π½Π΅ ΠΎΠ±ΡΠ°Π·ΡΡΡ Π±ΠΎΠ»Π΅Π΅ ΠΊΡΡΠΏΠ½ΡΠ΅ ΠΊΡΠΈΡΡΠ°Π»Π»Ρ, ΠΊΠΎΡΠΎΡΡΠ΅ Π±Π»ΠΎΠΊΠΈΡΡΡΡ ΡΠΈΠ»ΡΡΡΡ.
ΠΠΎΠΏΠΎΠ»Π½ΠΈΡΠ΅Π»ΡΠ½ΡΠ΅ ΠΏΡΠΈΡΠ°Π΄ΠΊΠΈ ΡΠ»Π΅Π΄ΡΠ΅Ρ Π΄ΠΎΠ±Π°Π²Π»ΡΡΡ ΡΠΎΠ»ΡΠΊΠΎ ΡΠΎΠ³Π΄Π°, ΠΊΠΎΠ³Π΄Π° ΡΠ΅ΠΌΠΏΠ΅ΡΠ°ΡΡΡΠ° ΡΠΎΠΏΠ»ΠΈΠ²Π° Π²ΡΡΠ΅ ΡΠ΅ΠΌΠΏΠ΅ΡΠ°ΡΡΡΡ ΠΊΡΠΈΡΡΠ°Π»Π»ΠΎΠΎΠ±ΡΠ°Π·ΠΎΠ²Π°Π½ΠΈΡ (ΡΠΎΡΠΊΠ° ΠΏΠΎΠΌΡΡΠ½Π΅Π½ΠΈΡ), Π² ΠΏΡΠΎΡΠΈΠ²Π½ΠΎΠΌ ΡΠ»ΡΡΠ°Π΅ ΠΎΠ½ΠΈ Π½Π΅ ΡΠΌΠΎΠ³ΡΡ ΠΈΠ·ΠΌΠ΅Π½ΠΈΡΡ ΠΊΡΠΈΡΡΠ°Π»Π»ΠΈΡΠ΅ΡΠΊΡΡ ΡΡΡΡΠΊΡΡΡΡ.
ΠΡΠΎΠ±Π»Π΅ΠΌΠ°, ΠΎΠ΄Π½Π°ΠΊΠΎ, Π² ΡΠΎΠΌ, ΡΡΠΎ Π²ΠΎ Π²ΡΠ΅ΠΌΡ ΠΏΡΠΎΠΈΠ·Π²ΠΎΠ΄ΡΡΠ²Π° ΠΊΡΠ°ΡΠ½ΠΎΠ³ΠΎ Π΄ΠΈΠ·Π΅Π»ΡΠ½ΠΎΠ³ΠΎ ΡΠΎΠΏΠ»ΠΈΠ²Π° ΡΠΆΠ΅ ΠΈΡΠΏΠΎΠ»ΡΠ·ΡΡΡΡΡ Π΄ΠΎΠ±Π°Π²ΠΊΠΈ Π΄Π»Ρ ΡΠ»ΡΡΡΠ΅Π½ΠΈΡ Ρ ΠΎΠ»ΠΎΠ΄Π½ΡΡ ΡΠ²ΠΎΠΉΡΡΠ², Π½ΠΎ Π² ΡΡΡΠΎΠ³ΠΎ ΠΊΠΎΠ½ΡΡΠΎΠ»ΠΈΡΡΠ΅ΠΌΠΎΠΉ ΡΡΠ΅Π΄Π΅ ΠΏΡΠΈ ΠΏΠΎΠ²ΡΡΠ΅Π½Π½ΡΡ ΡΠ΅ΠΌΠΏΠ΅ΡΠ°ΡΡΡΠ°Ρ .ΠΠ·-Π·Π° ΡΡΠΎΠ³ΠΎ ΡΠ»ΠΎΠΆΠ½ΠΎ ΠΎΠΏΡΠ΅Π΄Π΅Π»ΠΈΡΡ, ΠΌΠΎΠΆΠ½ΠΎ Π»ΠΈ ΡΠ»ΡΡΡΠΈΡΡ ΡΠ²ΠΎΠΉΡΡΠ²Π° ΡΠ΅ΠΊΡΡΠ΅ΡΡΠΈ Π½Π° Ρ ΠΎΠ»ΠΎΠ΄Π΅.
ΠΠΎΠ±Π°Π²ΠΊΠ° Π΄ΠΎΠ»ΠΆΠ½Π° Π±ΡΡΡ ΠΏΠΎΠ»Π½ΠΎΡΡΡΡ ΠΏΠ΅ΡΠ΅ΠΌΠ΅ΡΠ°Π½Π°, ΡΡΠΎΠ±Ρ Π³Π°ΡΠ°Π½ΡΠΈΡΠΎΠ²Π°ΡΡ ΡΠ΅Π³ΡΠ»ΠΈΡΡΠ΅ΠΌΡΡ ΡΠΌΠ΅ΡΡ, ΠΈ Π»ΡΠ±Π°Ρ Π²ΡΠΎΡΠΈΡΠ½Π°Ρ ΠΎΠ±ΡΠ°Π±ΠΎΡΠΊΠ° Π΄ΠΎΠ»ΠΆΠ½Π° Π±ΡΡΡ ΠΏΡΠ΅Π΄Π²Π°ΡΠΈΡΠ΅Π»ΡΠ½ΠΎ ΡΠ°Π·Π±Π°Π²Π»Π΅Π½Π½ΠΎΠΉ ΠΈ ΡΡΠΏΡΡΠ΅ΠΉ.
Π ΠΊΠ°ΠΆΠ΄ΠΎΠΌ ΠΊΠΎΠ½ΠΊΡΠ΅ΡΠ½ΠΎΠΌ ΡΠ»ΡΡΠ°Π΅
ΠΠ°ΠΆΠ΄ΡΠΉ ΡΠ»ΡΡΠ°ΠΉ Π΄ΠΎΠ»ΠΆΠ΅Π½ ΠΎΡΠ΅Π½ΠΈΠ²Π°ΡΡΡΡ ΠΈΠ½Π΄ΠΈΠ²ΠΈΠ΄ΡΠ°Π»ΡΠ½ΠΎ, ΠΏΠΎΡΠΊΠΎΠ»ΡΠΊΡ ΡΡΡΠ΅ΡΡΠ²ΡΡΡΠ°Ρ ΠΏΡΠΈΡΠ°Π΄ΠΊΠ° ΠΌΠΎΠ³Π»Π° ΠΈΡΡΠ΅ΡΠΏΠ°ΡΡ ΡΡΠ²ΡΡΠ²ΠΈΡΠ΅Π»ΡΠ½ΠΎΡΡΡ ΠΈ ΡΠ΅Π°ΠΊΡΠΈΡ ΡΠΎΠΏΠ»ΠΈΠ²Π° Π½Π° Π΄Π°Π»ΡΠ½Π΅ΠΉΡΡΡ ΠΎΠ±ΡΠ°Π±ΠΎΡΠΊΡ ΠΏΡΠΈΡΠ°Π΄ΠΊΠΎΠΉ.![]()
ΠΠ»Ρ ΡΠΎΠΏΠ»ΠΈΠ²Π°, Π½Π΅ ΡΠΎΠ΄Π΅ΡΠΆΠ°ΡΠ΅Π³ΠΎ ΠΊΠ°ΠΊΠΈΡ -Π»ΠΈΠ±ΠΎ ΠΏΡΠΈΡΠ°Π΄ΠΎΠΊ, ΠΏΠΎΠ²ΡΡΠ°ΡΡΠΈΡ ΡΠ΅ΠΊΡΡΠ΅ΡΡΡ, ΡΠ΅ΠΌΠΏΠ΅ΡΠ°ΡΡΡΠ° ΠΏΠΎΠΌΡΡΠ½Π΅Π½ΠΈΡ ΠΈ ΡΠ΅Π·ΡΠ»ΡΡΠ°ΡΡ CFFP Π±ΡΠ΄ΡΡ ΠΎΡΠ΅Π½Ρ ΠΏΠΎΡ ΠΎΠΆΠΈΠΌΠΈ.Π’Π΅ΠΌΠΏΠ΅ΡΠ°ΡΡΡΠ° ΠΏΠΎΠΌΡΡΠ½Π΅Π½ΠΈΡ ΡΠΎΠΏΠ»ΠΈΠ²Π°, ΡΠΎΠ΄Π΅ΡΠΆΠ°ΡΠ΅Π³ΠΎ Π΄ΠΎΠ±Π°Π²ΠΊΠΈ, ΠΊΠ°ΠΊ ΠΏΡΠ°Π²ΠΈΠ»ΠΎ, ΠΏΡΠΈΠΌΠ΅ΡΠ½ΠΎ Π½Π° 10 Β° C Π²ΡΡΠ΅ ΡΡΠΎΠ²Π½Ρ CFPP, ΠΏΠΎΡΡΠΎΠΌΡ Π²ΠΎΡΠΊΠΎΠΎΠ±ΡΠ°Π·Π½ΡΠΉ Π²ΠΈΠ΄ ΠΌΠΎΠΆΠ΅Ρ ΠΏΡΠΎΡΠ²Π»ΡΡΡΡΡ, ΠΊΠΎΠ³Π΄Π° ΡΠΎΠΏΠ»ΠΈΠ²ΠΎ Π½ΠΈΠΆΠ΅ ΡΠΎΡΠΊΠΈ ΠΏΠΎΠΌΡΡΠ½Π΅Π½ΠΈΡ.
Π§ΡΠΎ Π΄Π΅Π»Π°Π΅Ρ Crown Oil Π΄Π»Ρ ΠΌΠΈΠ½ΠΈΠΌΠΈΠ·Π°ΡΠΈΠΈ ΠΏΡΠΎΠ±Π»Π΅ΠΌ Ρ Π·ΠΈΠΌΠ½ΠΈΠΌ ΠΊΡΠ°ΡΠ½ΡΠΌ Π΄ΠΈΠ·Π΅Π»ΡΠ½ΡΠΌ ΡΠΎΠΏΠ»ΠΈΠ²ΠΎΠΌ?
Crown Oil ΠΏΠΎΡΡΠ°Π²Π»ΡΠ΅Ρ ΠΊΡΠ°ΡΠ½ΠΎΠ΅ Π΄ΠΈΠ·Π΅Π»ΡΠ½ΠΎΠ΅ ΡΠΎΠΏΠ»ΠΈΠ²ΠΎ, ΠΏΠΎΠ΄Ρ ΠΎΠ΄ΡΡΠ΅Π΅ Π΄Π»Ρ ΡΠ΅Π·ΠΎΠ½Π°, ΠΈΠ·ΠΌΠ΅Π½ΡΡ ΡΠ΅ΠΌΠΏΠ΅ΡΠ°ΡΡΡΡ ΠΏΠΎΠΌΡΡΠ½Π΅Π½ΠΈΡ Π² Π·Π°Π²ΠΈΡΠΈΠΌΠΎΡΡΠΈ ΠΎΡ ΡΠ΅Π·ΠΎΠ½Π° ΠΈ ΠΌΠ΅ΡΡΠΎΠΏΠΎΠ»ΠΎΠΆΠ΅Π½ΠΈΡ.
ΠΠΎΠΊΡΠΏΠΊΠ° ΠΊΡΠ°ΡΠ½ΠΎΠ³ΠΎ Π΄ΠΈΠ·Π΅Π»ΡΠ½ΠΎΠ³ΠΎ ΡΠΎΠΏΠ»ΠΈΠ²Π° Ρ ΡΠ°ΠΌΠΎΠ³ΠΎ Π½Π°Π΄Π΅ΠΆΠ½ΠΎΠ³ΠΎ ΠΏΠΎΡΡΠ°Π²ΡΠΈΠΊΠ° Π² ΠΠ΅Π»ΠΈΠΊΠΎΠ±ΡΠΈΡΠ°Π½ΠΈΠΈ Π΄Π°Π΅Ρ Π²Π°ΠΌ ΡΠ²Π΅ΡΠ΅Π½Π½ΠΎΡΡΡ Π² ΡΠΎΠΌ, ΡΡΠΎ Π²Π°ΠΌ Π³Π°ΡΠ°Π½ΡΠΈΡΠΎΠ²Π°Π½ ΠΏΡΠΎΠ΄ΡΠΊΡ, ΠΊΠΎΡΠΎΡΡΠΉ Π½ΠΈΠΊΠΎΠ³Π΄Π° Π²Π°Ρ Π½Π΅ ΠΏΠΎΠ΄Π²Π΅Π΄Π΅Ρ.ΠΠ»Π°Π³ΠΎΠ΄Π°ΡΡ ΠΎΠ±ΡΠ΅Π½Π°ΡΠΈΠΎΠ½Π°Π»ΡΠ½ΠΎΠΌΡ ΠΎΡ Π²Π°ΡΡ ΠΈ ΠΎΠ±ΡΠ΅ΠΌΠ°ΠΌ, Π΄ΠΎΡΡΡΠΏΠ½ΡΠΌ Π² 205-Π»ΠΈΡΡΠΎΠ²ΡΡ Π±ΠΎΡΠΊΠ°Ρ ΠΎΠ±ΡΠ΅ΠΌΠΎΠΌ Π΄ΠΎ 36 000 Π»ΠΈΡΡΠΎΠ² ΠΈ Π±ΠΎΠ»Π΅Π΅, ΠΌΡ ΠΎΠ±Π΅ΡΠΏΠ΅ΡΠΈΠ²Π°Π΅ΠΌ Π΄ΠΎΡΡΠ°Π²ΠΊΡ Π² ΡΠΎΡ ΠΆΠ΅ Π΄Π΅Π½Ρ ΠΈ Π½Π° ΡΠ»Π΅Π΄ΡΡΡΠΈΠΉ Π΄Π΅Π½Ρ, ΠΊΠΎΠ³Π΄Π° ΠΌΡ Π²Π°ΠΌ Π±ΠΎΠ»ΡΡΠ΅ Π²ΡΠ΅Π³ΠΎ Π½ΡΠΆΠ½Ρ.
Π’ΠΎΠΏΠ»ΠΈΠ²ΠΎ Crown HVO ΠΌΠΎΠΆΠ΅Ρ ΡΠ°Π±ΠΎΡΠ°ΡΡ ΠΊΡΡΠ³Π»ΡΠΉ Π³ΠΎΠ΄.
ΠΠ½ ΠΈΠΌΠ΅Π΅Ρ Π²ΡΡΠΎΠΊΠΎΠ΅ ΡΠ΅ΡΠ°Π½ΠΎΠ²ΠΎΠ΅ ΡΠΈΡΠ»ΠΎ Π΄ΠΎ 90 ΠΈ Π½ΠΈΠ·ΠΊΡΡ ΡΠ΅ΠΌΠΏΠ΅ΡΠ°ΡΡΡΡ ΠΏΠΎΠΌΡΡΠ½Π΅Π½ΠΈΡ -32 O C, ΡΡΠΎ ΠΎΠ±Π΅ΡΠΏΠ΅ΡΠΈΠ²Π°Π΅Ρ ΡΠ»ΡΡΡΠ΅Π½Π½ΡΠ΅ ΠΏΡΡΠΊΠΎΠ²ΡΠ΅ Ρ
Π°ΡΠ°ΠΊΡΠ΅ΡΠΈΡΡΠΈΠΊΠΈ, ΡΠΈΡΡΠΎΠ΅ ΡΠ³ΠΎΡΠ°Π½ΠΈΠ΅ ΠΈ ΠΌΠ΅Π½ΡΡΡΡ Π²Π΅ΡΠΎΡΡΠ½ΠΎΡΡΡ ΠΎΠ±ΡΠ°Π·ΠΎΠ²Π°Π½ΠΈΡ ΠΏΠ°ΡΠ°ΡΠΈΠ½Π°, ΡΠ΅ΠΌ Ρ Π΄ΠΈΠ·Π΅Π»ΡΠ½ΠΎΠ³ΠΎ ΡΠΎΠΏΠ»ΠΈΠ²Π° ΠΏΡΠΈ ΡΠΊΡΡΡΠ΅ΠΌΠ°Π»ΡΠ½ΡΡ
ΡΠ΅ΠΌΠΏΠ΅ΡΠ°ΡΡΡΠ°Ρ
. HVO ΡΠΎΠΎΡΠ²Π΅ΡΡΡΠ²ΡΠ΅Ρ ΡΡΠ°Π½Π΄Π°ΡΡΠ°ΠΌ EN 15940 ΠΈ ΠΠΈΡΠ΅ΠΊΡΠΈΠ²Π΅ ΠΎ ΠΊΠ°ΡΠ΅ΡΡΠ²Π΅ ΡΠΎΠΏΠ»ΠΈΠ²Π° 2009/30 / EC, ΠΏΡΠΈΠ»ΠΎΠΆΠ΅Π½ΠΈΠ΅ II, ΠΏΠΎΡΡΠΎΠΌΡ Π½Π΅Ρ Π½Π΅ΠΎΠ±Ρ
ΠΎΠ΄ΠΈΠΌΠΎΡΡΠΈ ΠΈΠ·ΠΌΠ΅Π½ΡΡΡ ΡΡΡΠ΅ΡΡΠ²ΡΡΡΡΡ ΠΈΠ½ΡΡΠ°ΡΡΡΡΠΊΡΡΡΡ.ΠΠΎΠΆΠ½ΠΎ ΠΏΡΠΎΡΡΠΎ ΠΏΠΎΠΏΠΎΠ»Π½ΠΈΡΡ ΠΈ Π΅Ρ
Π°ΡΡ.
Π£Π·Π½Π°ΠΉΡΠ΅ Π±ΠΎΠ»ΡΡΠ΅ ΠΎ ΡΠΎΠΏΠ»ΠΈΠ²Π΅ Crown HVO Π² Π½Π°ΡΠΈΡ ΠΎΡΠ²Π΅ΡΠ°Ρ Π½Π° ΡΠ°ΡΡΠΎ Π·Π°Π΄Π°Π²Π°Π΅ΠΌΡΠ΅ Π²ΠΎΠΏΡΠΎΡΡ.
ΠΡΠ»ΠΈ Ρ Π²Π°Ρ Π΅ΡΡΡ ΠΊΠ°ΠΊΠΈΠ΅-Π»ΠΈΠ±ΠΎ Π²ΠΎΠΏΡΠΎΡΡ ΠΎΡΠ½ΠΎΡΠΈΡΠ΅Π»ΡΠ½ΠΎ ΠΏΡΠ°Π²ΠΈΠ»ΡΠ½ΠΎΠ³ΠΎ ΡΠΎΡΡΠ° ΠΊΡΠ°ΡΠ½ΠΎΠ³ΠΎ Π΄ΠΈΠ·Π΅Π»ΡΠ½ΠΎΠ³ΠΎ ΡΠΎΠΏΠ»ΠΈΠ²Π° (Π³Π°Π·ΠΎΠΉΠ»Ρ) ΡΡΠΎΠΉ Π·ΠΈΠΌΠΎΠΉ, ΡΠ²ΡΠΆΠΈΡΠ΅ΡΡ Ρ Π½Π°ΠΌΠΈ ΡΠ΅Π³ΠΎΠ΄Π½Ρ ΠΏΠΎ ΡΠ΅Π»Π΅ΡΠΎΠ½Ρ 0330 123 1444, ΡΡΠΎΠ±Ρ ΠΈΠ·Π±Π΅ΠΆΠ°ΡΡ ΠΊΠ°ΠΊΠΈΡ -Π»ΠΈΠ±ΠΎ ΠΏΡΠΎΠ±Π»Π΅ΠΌ Ρ ΡΠΊΡΠΏΠ»ΡΠ°ΡΠ°ΡΠΈΠ΅ΠΉ ΡΡΠΎΠΉ Π·ΠΈΠΌΠΎΠΉ.
ΠΠΈΠ΄Ρ ΡΠΎΠΏΠ»ΠΈΠ²Π°: ΠΠ‘: ΠΠ²ΡΠΎΠΌΠΎΠ±ΠΈΠ»ΡΠ½ΠΎΠ΅ Π΄ΠΈΠ·Π΅Π»ΡΠ½ΠΎΠ΅ ΡΠΎΠΏΠ»ΠΈΠ²ΠΎ
ΠΠ±ΡΠΈΠ΅ ΡΠ²Π΅Π΄Π΅Π½ΠΈΡ
ΠΠ°ΡΠ΅ΡΡΠ²ΠΎ Π΅Π²ΡΠΎΠΏΠ΅ΠΉΡΠΊΠΎΠ³ΠΎ Π΄ΠΈΠ·Π΅Π»ΡΠ½ΠΎΠ³ΠΎ ΡΠΎΠΏΠ»ΠΈΠ²Π° ΠΎΠΏΡΠ΅Π΄Π΅Π»ΡΠ΅ΡΡΡ ΡΡΠ°Π½Π΄Π°ΡΡΠΎΠΌ EN 590. ΠΠ΅ΡΠΌΠΎΡΡΡ Π½Π° ΡΠΎ, ΡΡΠΎ ΡΡΠΈ ΡΠΏΠ΅ΡΠΈΡΠΈΠΊΠ°ΡΠΈΠΈ Π½Π΅ ΡΠ²Π»ΡΡΡΡΡ ΠΎΠ±ΡΠ·Π°ΡΠ΅Π»ΡΠ½ΡΠΌΠΈ, ΠΎΠ½ΠΈ ΡΠΎΠ±Π»ΡΠ΄Π°ΡΡΡΡ Π²ΡΠ΅ΠΌΠΈ ΠΏΠΎΡΡΠ°Π²ΡΠΈΠΊΠ°ΠΌΠΈ ΡΠΎΠΏΠ»ΠΈΠ²Π° Π² ΠΠ²ΡΠΎΠΏΠ΅.
ΠΠ°ΡΠΈΠ½Π°Ρ Ρ ΠΊΠΎΠ½ΡΠ° 1990-Ρ
Π³ΠΎΠ΄ΠΎΠ², Π½Π΅ΠΊΠΎΡΠΎΡΡΠ΅ ΡΠ²ΠΎΠΉΡΡΠ²Π° Π΄ΠΈΠ·Π΅Π»ΡΠ½ΠΎΠ³ΠΎ ΡΠΎΠΏΠ»ΠΈΠ²Π°, Π²ΠΊΠ»ΡΡΠ°Ρ ΡΠ΅ΡΠ°Π½ΠΎΠ²ΠΎΠ΅ ΡΠΈΡΠ»ΠΎ, ΡΠΎΠ΄Π΅ΡΠΆΠ°Π½ΠΈΠ΅ ΡΠ΅ΡΡ ΠΈ ΡΠΎΠ΄Π΅ΡΠΆΠ°Π½ΠΈΠ΅ Π±ΠΈΠΎΠ΄ΠΈΠ·Π΅Π»ΡΠ½ΠΎΠ³ΠΎ ΡΠΎΠΏΠ»ΠΈΠ²Π° FAME, ΡΠ°ΠΊΠΆΠ΅ ΠΏΠΎΠ΄ΠΏΠ°Π΄Π°ΡΡ ΠΏΠΎΠ΄ Π΄Π΅ΠΉΡΡΠ²ΠΈΠ΅ ΡΠΊΠΎΠ»ΠΎΠ³ΠΈΡΠ΅ΡΠΊΠΈΡ
Π½ΠΎΡΠΌ.
ΠΠΎΠΆΠ°Π»ΡΠΉΡΡΠ°, Π°Π²ΡΠΎΡΠΈΠ·ΡΠΉΡΠ΅ΡΡ , ΡΡΠΎΠ±Ρ ΠΏΡΠΎΡΠΌΠΎΡΡΠ΅ΡΡ ΠΏΠΎΠ»Π½ΡΡ Π²Π΅ΡΡΠΈΡ ΡΡΠΎΠΉ ΡΡΠ°ΡΡΠΈ | Π’ΡΠ΅Π±ΡΠ΅ΡΡΡ ΠΏΠΎΠ΄ΠΏΠΈΡΠΊΠ°.
Π ΡΠΎ Π²ΡΠ΅ΠΌΡ ΠΊΠ°ΠΊ EN 590 Π² ΠΏΠ΅ΡΠ²ΡΡ ΠΎΡΠ΅ΡΠ΅Π΄Ρ ΠΎΡΠΈΠ΅Π½ΡΠΈΡΠΎΠ²Π°Π½ Π½Π° ΠΏΡΠΈΠΌΠ΅Π½Π΅Π½ΠΈΠ΅ Π½Π° Π΄ΠΎΡΠΎΠ³Π°Ρ , ΠΌΠ½ΠΎΠ³ΠΈΠ΅ Π΅Π²ΡΠΎΠΏΠ΅ΠΉΡΠΊΠΈΠ΅ Π³ΠΎΡΡΠ΄Π°ΡΡΡΠ²Π°-ΡΠ»Π΅Π½Ρ ΠΎΠΏΡΠ΅Π΄Π΅Π»ΡΡΡ ΡΠΎ ΠΆΠ΅ ΡΠΎΠΏΠ»ΠΈΠ²ΠΎ Π΄Π»Ρ ΠΈΡΠΏΠΎΠ»ΡΠ·ΠΎΠ²Π°Π½ΠΈΡ Π² Π²Π½Π΅Π΄ΠΎΡΠΎΠΆΠ½ΠΎΠΉ ΠΌΠΎΠ±ΠΈΠ»ΡΠ½ΠΎΠΉ ΡΠ΅Ρ Π½ΠΈΠΊΠ΅, Π½ΠΎ Ρ Π΄ΠΎΠ±Π°Π²Π»Π΅Π½ΠΈΠ΅ΠΌ ΠΌΠ°ΡΠΊΠ΅ΡΠ° ΠΈΠ»ΠΈ ΠΊΡΠ°ΡΠΈΡΠ΅Π»Ρ Π΄Π»Ρ ΡΠ΅Π»Π΅ΠΉ Π½Π°Π»ΠΎΠ³ΠΎΠΎΠ±Π»ΠΎΠΆΠ΅Π½ΠΈΡ.Π Π΄ΡΡΠ³ΠΈΡ ΡΡΡΠ°Π½Π°Ρ -ΡΠ»Π΅Π½Π°Ρ Π΅ΡΡΡ ΠΎΡΠ΄Π΅Π»ΡΠ½ΡΠΉ ΡΡΠ°Π½Π΄Π°ΡΡ Π½Π° ΡΠΎΠΏΠ»ΠΈΠ²ΠΎ Π΄Π»Ρ Π²Π½Π΅Π΄ΠΎΡΠΎΠΆΠ½ΡΡ ΠΌΠΎΠ±ΠΈΠ»ΡΠ½ΡΡ ΠΏΡΠΈΠ»ΠΎΠΆΠ΅Π½ΠΈΠΉ. ΠΡΠΈΠΌΠ΅ΡΠΎΠΌ ΠΏΠΎΡΠ»Π΅Π΄Π½Π΅Π³ΠΎ ΡΠ²Π»ΡΠ΅ΡΡΡ ΠΠ΅Π»ΠΈΠΊΠΎΠ±ΡΠΈΡΠ°Π½ΠΈΡ, ΠΊΠΎΡΠΎΡΠ°Ρ ΠΈΡΠΏΠΎΠ»ΡΠ·ΡΠ΅Ρ BS 2869 Π΄Π»Ρ ΠΎΠΏΡΠ΅Π΄Π΅Π»Π΅Π½ΠΈΡ ΡΠΏΠ΅ΡΠΈΡΠΈΠΊΠ°ΡΠΈΠΉ ΠΆΠΈΠ΄ΠΊΠΎΠ³ΠΎ ΡΠΎΠΏΠ»ΠΈΠ²Π° Π΄Π»Ρ ΡΡΠ΄Π° Π²Π½Π΅Π΄ΠΎΡΠΎΠΆΠ½ΡΡ ΠΏΡΠΈΠ»ΠΎΠΆΠ΅Π½ΠΈΠΉ, Π²ΠΊΠ»ΡΡΠ°Ρ Π²Π½Π΅Π΄ΠΎΡΠΎΠΆΠ½ΡΡ ΠΌΠΎΠ±ΠΈΠ»ΡΠ½ΡΡ ΡΠ΅Ρ Π½ΠΈΠΊΡ.
ΠΠ΅ΠΊΠΎΡΠΎΡΡΠ΅ ΠΈΠ· Π²Π°ΠΆΠ½ΡΡ ΠΈΠ·ΠΌΠ΅Π½Π΅Π½ΠΈΠΉ ΡΡΠ°Π½Π΄Π°ΡΡΠ° EN 590:
- EN 590: 1993 — ΠΏΠ΅ΡΠ²Π°Ρ ΡΠΏΠ΅ΡΠΈΡΠΈΠΊΠ°ΡΠΈΡ Π΄ΠΈΠ·Π΅Π»ΡΠ½ΠΎΠ³ΠΎ ΡΠΎΠΏΠ»ΠΈΠ²Π° ΠΠ‘. ΠΠ½ ΡΡΡΠ°Π½ΠΎΠ²ΠΈΠ» ΠΏΡΠ΅Π΄Π΅Π» ΡΠΎΠ΄Π΅ΡΠΆΠ°Π½ΠΈΡ ΡΠ΅ΡΡ Π² 0,2% ΠΈ ΡΠ΅ΡΠ°Π½ΠΎΠ²ΠΎΠ΅ ΡΠΈΡΠ»ΠΎ 49 Π² Π΄ΠΎΡΠΎΠΆΠ½ΠΎΠΌ ΠΈ Π²Π½Π΅Π΄ΠΎΡΠΎΠΆΠ½ΠΎΠΌ Π΄ΠΈΠ·Π΅Π»ΡΠ½ΠΎΠΌ ΡΠΎΠΏΠ»ΠΈΠ²Π΅.
ΠΠ½ΠΎΠ³Π΄Π° ΠΎΠ±ΠΎΠ·Π½Π°ΡΠ°Π΅ΡΡΡ ΠΊΠ°ΠΊ Π΄ΠΈΠ·Π΅Π»ΡΠ½ΠΎΠ΅ ΡΠΎΠΏΠ»ΠΈΠ²ΠΎ ΡΡΠ°Π½Π΄Π°ΡΡΠ° ΠΠ²ΡΠΎ-1. - EN 590: 1996 — ΠΡΠΎΡ ΡΡΠ°Π½Π΄Π°ΡΡ ΠΎΡΡΠ°ΠΆΠ°Π΅Ρ Π½ΠΎΠ²ΡΠΉ ΠΏΡΠ΅Π΄Π΅Π» ΡΠΎΠ΄Π΅ΡΠΆΠ°Π½ΠΈΡ ΡΠ΅ΡΡ Π² 500 ΡΠ°ΡΡΠ΅ΠΉ Π½Π° ΠΌΠΈΠ»Π»ΠΈΠΎΠ½. Π¦Π΅ΡΠ°Π½ΠΎΠ²ΠΎΠ΅ ΡΠΈΡΠ»ΠΎ ΠΎΡΡΠ°Π»ΠΎΡΡ Π½Π° ΡΡΠΎΠ²Π½Π΅ 49. ΠΠ½ΠΎΠ³Π΄Π° Π΅Π³ΠΎ Π½Π°Π·ΡΠ²Π°ΡΡ Π΄ΠΈΠ·Π΅Π»ΡΠ½ΡΠΌ ΡΠΎΠΏΠ»ΠΈΠ²ΠΎΠΌ ΠΠ²ΡΠΎ-2.
- EN 590: 1999 — ΠΡΠΎΡ ΡΡΠ°Π½Π΄Π°ΡΡ ΠΎΡΡΠ°ΠΆΠ°Π΅Ρ ΡΠΏΠ΅ΡΠΈΡΠΈΠΊΠ°ΡΠΈΠΈ ΡΠ΅ΡΡ (350 ppm) ΠΈ ΡΠ΅ΡΠ°Π½ΠΎΠ²ΠΎΠ³ΠΎ ΡΠΈΡΠ»Π° (51) Π² ΡΠΎΠΎΡΠ²Π΅ΡΡΡΠ²ΠΈΠΈ Ρ ΠΠΈΡΠ΅ΠΊΡΠΈΠ²ΠΎΠΉ 98/70 / EC (ΡΠ°ΠΊ Π½Π°Π·ΡΠ²Π°Π΅ΠΌΠΎΠ΅ Π΄ΠΈΠ·Π΅Π»ΡΠ½ΠΎΠ΅ ΡΠΎΠΏΠ»ΠΈΠ²ΠΎ Euro 3).
- EN 590: 2004 — ΠΡΠ΅Π΄Π΅Π»Ρ ΡΠΎΠ΄Π΅ΡΠΆΠ°Π½ΠΈΡ ΡΠ΅ΡΡ 50 ppm (ΡΠ°ΠΊ Π½Π°Π·ΡΠ²Π°Π΅ΠΌΡΠΉ Euro 4) ΠΈ 10 ppm (Euro 5) Π² ΡΠΎΠΎΡΠ²Π΅ΡΡΡΠ²ΠΈΠΈ Ρ ΠΠΈΡΠ΅ΠΊΡΠΈΠ²ΠΎΠΉ 2003/17 / EC. Π‘ΠΎΠ΄Π΅ΡΠΆΠ°Π½ΠΈΠ΅ FAME 5%.
- EN 590: 2009 — ΡΠΎΠ΄Π΅ΡΠΆΠ°Π½ΠΈΠ΅ FAME 7% Π² ΡΠΎΠΎΡΠ²Π΅ΡΡΡΠ²ΠΈΠΈ Ρ ΠΠΈΡΠ΅ΠΊΡΠΈΠ²ΠΎΠΉ 2009/30 / EC. ΠΡΠ° Π΄ΠΈΡΠ΅ΠΊΡΠΈΠ²Π° ΡΠ°ΠΊΠΆΠ΅ ΡΡΡΠ°Π½Π°Π²Π»ΠΈΠ²Π°Π΅Ρ ΠΎΠ±ΡΠ·Π°ΡΠ΅Π»ΡΠ½ΡΠ΅ ΡΡΠ΅Π±ΠΎΠ²Π°Π½ΠΈΡ ΠΊ Π±ΠΈΠΎΡΠΎΠΏΠ»ΠΈΠ²Ρ Π΄Π»Ρ Π½Π΅ΡΡΠ΅ΠΏΠ΅ΡΠ΅ΡΠ°Π±ΠΎΡΡΠΈΠΊΠΎΠ² ΠΈ Π²Π²ΠΎΠ΄ΠΈΡ ΠΎΠ³ΡΠ°Π½ΠΈΡΠ΅Π½ΠΈΠ΅ Π² 10 ppm S Π΄Π»Ρ Π²Π½Π΅Π΄ΠΎΡΠΎΠΆΠ½ΠΎΠ³ΠΎ ΡΠΎΠΏΠ»ΠΈΠ²Π° Ρ 2011 Π³ΠΎΠ΄Π°.
ΠΠΎΡΠΌΠ°ΡΠΈΠ²Π½ΡΠ΅ ΡΡΠ»ΠΎΠ²ΠΈΡ. Π Π½ΠΎΡΠΌΠ°ΡΠΈΠ²Π½ΠΎΠΌ ΡΠ·ΡΠΊΠ΅ ΠΠ‘ Β«Π³Π°Π·ΠΎΠΉΠ»ΡΒ» — ΡΡΠΎ ΡΠ΅ΡΠΌΠΈΠ½, ΠΈΡΠΏΠΎΠ»ΡΠ·ΡΠ΅ΠΌΡΠΉ Π΄Π»Ρ ΠΎΠΏΠΈΡΠ°Π½ΠΈΡ ΡΠΈΡΠΎΠΊΠΎΠ³ΠΎ ΠΊΠ»Π°ΡΡΠ° ΡΠΎΠΏΠ»ΠΈΠ²Π°, Π²ΠΊΠ»ΡΡΠ°Ρ Π΄ΠΈΠ·Π΅Π»ΡΠ½ΠΎΠ΅ ΡΠΎΠΏΠ»ΠΈΠ²ΠΎ Π΄Π»Ρ Π΄ΠΎΡΠΎΠΆΠ½ΡΡ ΡΡΠ°Π½ΡΠΏΠΎΡΡΠ½ΡΡ ΡΡΠ΅Π΄ΡΡΠ², ΡΠΎΠΏΠ»ΠΈΠ²ΠΎ Π΄Π»Ρ Π²Π½Π΅Π΄ΠΎΡΠΎΠΆΠ½ΡΡ ΡΡΠ°Π½ΡΠΏΠΎΡΡΠ½ΡΡ ΡΡΠ΅Π΄ΡΡΠ², Π° ΡΠ°ΠΊΠΆΠ΅ Π΄ΡΡΠ³ΠΈΠ΅ Π΄ΠΈΡΡΠΈΠ»Π»ΡΡΠ½ΡΠ΅ ΡΠΎΠΏΠ»ΠΈΠ²Π°. Π ΡΠ°ΠΌΠΊΠ°Ρ ΠΊΠ»Π°ΡΡΠΈΡΠΈΠΊΠ°ΡΠΈΠΈ Π³Π°Π·ΠΎΠΉΠ»Ρ ΡΠΎΠΏΠ»ΠΈΠ²ΠΎ Π΄Π»Ρ Π΄ΠΎΡΠΎΠΆΠ½ΡΡ ΡΡΠ°Π½ΡΠΏΠΎΡΡΠ½ΡΡ ΡΡΠ΅Π΄ΡΡΠ² (ΠΎΠ±ΡΡΠ½ΠΎ Ρ ΡΠΎΠ΄Π΅ΡΠΆΠ°Π½ΠΈΠ΅ΠΌ ΡΠ΅ΡΡ Π½ΠΈΠΆΠ΅ 0.05%) Π½Π°Π·ΡΠ²Π°ΡΡΡΡ Β«Π΄ΠΈΠ·Π΅Π»ΡΠ½ΡΠΌ ΡΠΎΠΏΠ»ΠΈΠ²ΠΎΠΌΒ», Π° ΡΠΎΠΏΠ»ΠΈΠ²ΠΎ Π΄Π»Ρ Π²Π½Π΅Π΄ΠΎΡΠΎΠΆΠ½ΠΎΠΉ ΠΌΠΎΠ±ΠΈΠ»ΡΠ½ΠΎΠΉ ΡΠ΅Ρ Π½ΠΈΠΊΠΈ (ΠΎΠ±ΡΡΠ½ΠΎ Ρ ΡΠΎΠ΄Π΅ΡΠΆΠ°Π½ΠΈΠ΅ΠΌ ΡΠ΅ΡΡ Π΄ΠΎ 0,2%) Π½Π°Π·ΡΠ²Π°Π΅ΡΡΡ Β«Π³Π°Π·ΠΎΠΉΠ»Π΅ΠΌ, ΠΏΡΠ΅Π΄Π½Π°Π·Π½Π°ΡΠ΅Π½Π½ΡΠΌ Π΄Π»Ρ ΠΈΡΠΏΠΎΠ»ΡΠ·ΠΎΠ²Π°Π½ΠΈΡ Π² Π²Π½Π΅Π΄ΠΎΡΠΎΠΆΠ½ΠΎΠΉ ΠΌΠΎΠ±ΠΈΠ»ΡΠ½ΠΎΠΉ ΡΠ΅Ρ Π½ΠΈΠΊΠ΅ (Π²ΠΊΠ»ΡΡΠ°Ρ ΡΡΠ΄Π° Π²Π½ΡΡΡΠ΅Π½Π½Π΅Π³ΠΎ ΠΏΠ»Π°Π²Π°Π½ΠΈΡ). , ΡΠ΅Π»ΡΡΠΊΠΎΡ ΠΎΠ·ΡΠΉΡΡΠ²Π΅Π½Π½ΡΠ΅ ΠΈ Π»Π΅ΡΠ½ΡΠ΅ ΡΡΠ°ΠΊΡΠΎΡΡ, ΠΏΡΠΎΠ³ΡΠ»ΠΎΡΠ½ΡΠ΅ ΡΡΠ΄Π° Β».
ΠΡΠΈ ΡΠ΅ΡΠΌΠΈΠ½Ρ ΡΠ°ΠΊΠΆΠ΅ ΡΠ²ΡΠ·Π°Π½Ρ Ρ ΡΠ΅ΡΠΌΠΈΠ½ΠΎΠ»ΠΎΠ³ΠΈΠ΅ΠΉ, ΠΈΡΠΏΠΎΠ»ΡΠ·ΡΠ΅ΠΌΠΎΠΉ Π² ΠΠ΄ΠΈΠ½ΠΎΠΌ ΡΠ°ΠΌΠΎΠΆΠ΅Π½Π½ΠΎΠΌ ΡΠ°ΡΠΈΡΠ΅ ΠΠ‘. Π Π°Π·Π»ΠΈΡΠ½ΡΠΌ ΡΠΎΠ²Π°ΡΠ°ΠΌ ΠΏΡΠΈΡΠ²Π°ΠΈΠ²Π°ΡΡΡΡ ΡΠ½ΠΈΠΊΠ°Π»ΡΠ½ΡΠ΅ ΠΊΠΎΠ΄Ρ CN (ΠΠΎΠΌΠ±ΠΈΠ½ΠΈΡΠΎΠ²Π°Π½Π½Π°Ρ Π½ΠΎΠΌΠ΅Π½ΠΊΠ»Π°ΡΡΡΠ°) Π΄Π»Ρ ΠΎΠΏΡΠ΅Π΄Π΅Π»Π΅Π½ΠΈΡ ΠΏΡΠΈΠΌΠ΅Π½ΡΠ΅ΠΌΡΡ ΡΠ°ΡΠΈΡΠΎΠ².ΠΠΈΠ·Π΅Π»ΡΠ½ΠΎΠ΅ ΡΠΎΠΏΠ»ΠΈΠ²ΠΎ Π΄Π»Ρ Π°Π²ΡΠΎΠΌΠΎΠ±ΠΈΠ»ΡΠ½ΡΡ Π΄ΠΎΡΠΎΠ³ ΠΈΠΌΠ΅Π΅Ρ ΠΊΠΎΠ΄ CN 2710 19 41. ΠΠ°Π·ΠΎΠΉΠ»ΠΈ Π΄Π»Ρ Π²Π½Π΅Π΄ΠΎΡΠΎΠΆΠ½ΠΎΠΉ ΠΌΠΎΠ±ΠΈΠ»ΡΠ½ΠΎΠΉ ΡΠ΅Ρ Π½ΠΈΠΊΠΈ ΠΌΠΎΠ³ΡΡ ΠΈΠΌΠ΅ΡΡ ΠΊΠΎΠ΄ CN 2710 19 41 ΠΈΠ»ΠΈ 2710 19 45 Π² Π·Π°Π²ΠΈΡΠΈΠΌΠΎΡΡΠΈ ΠΎΡ ΡΡΠΎΠ²Π½Ρ ΡΠ΅ΡΡ.
ExxonMobil Π‘ΡΠ΄ΠΎΠ²ΠΎΠ΅ Π΄ΠΈΡΡΠΈΠ»Π»ΡΡΠ½ΠΎΠ΅ ΡΠΎΠΏΠ»ΠΈΠ²ΠΎ
ΠΠΏΠΈΡΠ°Π½ΠΈΠ΅ ΠΏΡΠΎΠ΄ΡΠΊΡΠ°
ΠΠΎΡΠΏΠΎΡΠ°ΡΠΈΡ EXXON MOBIL ΠΏΠΎΡΡΠ°Π²Π»ΡΠ΅Ρ ΡΡΠ΄ΠΎΠ²ΠΎΠ΅ ΡΠΎΠΏΠ»ΠΈΠ²ΠΎ ΠΏΠΎ Π²ΡΠ΅ΠΌΡ ΠΌΠΈΡΡ ΡΠ΅ΡΠ΅Π· ΡΠΏΠ΅ΡΠΈΠ°Π»ΠΈΠ·ΠΈΡΠΎΠ²Π°Π½Π½ΠΎΠ΅ ΠΏΠΎΠ΄ΡΠ°Π·Π΄Π΅Π»Π΅Π½ΠΈΠ΅ ExxonMobil ΠΏΠΎ ΡΡΠ΄ΠΎΠ²ΠΎΠΌΡ Π΄ΠΈΡΡΠΈΠ»Π»ΡΡΠ½ΠΎΠΌΡ ΡΠΎΠΏΠ»ΠΈΠ²Ρ (EMMF). ΠΡΠ»ΠΈ Π²Π°ΠΌ ΠΏΠΎΡΡΠ΅Π±ΡΠ΅ΡΡΡ ΠΈΠ½ΡΠΎΡΠΌΠ°ΡΠΈΡ ΠΎ ΡΠΈΠΏΠΈΡΠ½ΡΡ ΡΠ²ΠΎΠΉΡΡΠ²Π°Ρ ΡΠΎΠΏΠ»ΠΈΠ²Π°, Π΄ΠΎΡΡΡΠΏΠ½ΠΎΠ³ΠΎ Π² Π½Π°ΡΡΠΎΡΡΠ΅Π΅ Π²ΡΠ΅ΠΌΡ Π² ΠΎΠΏΡΠ΅Π΄Π΅Π»Π΅Π½Π½ΡΡ ΠΌΠ΅ΡΡΠ°Ρ , ΠΎΠ±ΡΠ°ΡΠΈΡΠ΅ΡΡ ΠΊ ΠΏΡΠ΅Π΄ΡΡΠ°Π²ΠΈΡΠ΅Π»Ρ EMMF, ΠΊΠΎΡΠΎΡΡΠΉ ΡΠΌΠΎΠΆΠ΅Ρ Π²Π°ΠΌ ΠΏΠΎΠΌΠΎΡΡ.
ΠΡ ΠΌΠΎΠΆΠ΅ΡΠ΅ Π±ΡΡΡ ΡΠ²Π΅ΡΠ΅Π½Ρ, ΡΡΠΎ ΡΠΎΠΏΠ»ΠΈΠ²ΠΎ, ΠΊΠΎΡΠΎΡΠΎΠ΅ Π²Ρ ΠΏΠΎΠΊΡΠΏΠ°Π΅ΡΠ΅ ΡΠ΅ΡΠ΅Π· EMMF, ΡΠΎΠΎΡΠ²Π΅ΡΡΡΠ²ΡΠ΅Ρ ΡΡΡΠΎΠ³ΠΈΠΌ ΡΡΠ΅Π±ΠΎΠ²Π°Π½ΠΈΡΠΌ ΠΊ ΠΊΠ°ΡΠ΅ΡΡΠ²Ρ, Π³Π΄Π΅ Π±Ρ ΠΎΠ½ΠΎ Π½ΠΈ Π±ΡΠ»ΠΎ Π΄ΠΎΡΡΠ°Π²Π»Π΅Π½ΠΎ. ΠΠ»Ρ ΡΡΠΎΠ³ΠΎ EMMF ΠΏΠΎΡΡΠ°Π²Π»ΡΠ΅Ρ ΡΡΠ΄ΠΎΠ²ΠΎΠ΅ ΡΠΎΠΏΠ»ΠΈΠ²ΠΎ, ΡΠΎΠΎΡΠ²Π΅ΡΡΡΠ²ΡΡΡΠ΅Π΅ ΠΎΠΏΡΠ΅Π΄Π΅Π»Π΅Π½Π½ΡΠΌ ΡΠΏΠ΅ΡΠΈΡΠΈΠΊΠ°ΡΠΈΡΠΌ. ΠΡΠΈ ΡΠΏΠ΅ΡΠΈΡΠΈΠΊΠ°ΡΠΈΠΈ ΠΏΡΠΈΠΌΠ΅Π½ΡΡΡΡΡ ΠΊ ΡΠΎΠΏΠ»ΠΈΠ²Ρ, ΠΏΡΠΎΠΈΠ·Π²ΠΎΠ΄ΠΈΠΌΠΎΠΌΡ ExxonMobil, Π° ΡΠ°ΠΊΠΆΠ΅ ΠΊ ΡΠ΅ΠΌ Π²ΠΈΠ΄Π°ΠΌ ΡΠΎΠΏΠ»ΠΈΠ²Π°, ΠΊΠΎΡΠΎΡΡΠ΅ EMMF ΠΏΡΠΈΠΎΠ±ΡΠ΅ΡΠ°Π΅Ρ Π΄Π»Ρ ΠΏΠ΅ΡΠ΅ΠΏΡΠΎΠ΄Π°ΠΆΠΈ ΠΏΡΡΠ΅ΠΌ ΠΏΠΎΠΊΡΠΏΠΊΠΈ ΠΈΠ»ΠΈ ΠΎΠ±ΠΌΠ΅Π½Π° ΠΈΠ· Π΄ΡΡΠ³ΠΈΡ ΠΈΡΡΠΎΡΠ½ΠΈΠΊΠΎΠ².
Π‘ΠΏΠ΅ΡΠΈΡΠΈΠΊΠ°ΡΠΈΠΈ EMMF ΡΠ΅Π³ΡΠ»ΡΡΠ½ΠΎ ΠΏΠ΅ΡΠ΅ΡΠΌΠ°ΡΡΠΈΠ²Π°ΡΡΡΡ Ρ ΡΠ΅Π»ΡΡ Π²ΠΊΠ»ΡΡΠ΅Π½ΠΈΡ Π² Π½ΠΈΡ Π½ΠΎΠ²Π΅ΠΉΡΠ΅Π³ΠΎ ΠΎΠ±ΠΎΡΡΠ΄ΠΎΠ²Π°Π½ΠΈΡ ΠΈ ΠΎΡΡΠ°ΡΠ»Π΅Π²ΡΡ ΡΡΠ΅Π±ΠΎΠ²Π°Π½ΠΈΠΉ, Π²ΠΊΠ»ΡΡΠ°Ρ ΡΡΠ°Π½Π΄Π°ΡΡΡ, ΡΡΡΠ°Π½ΠΎΠ²Π»Π΅Π½Π½ΡΠ΅ ΡΠ°ΠΊΠΈΠΌΠΈ ΠΎΡΠ³Π°Π½ΠΈΠ·Π°ΡΠΈΡΠΌΠΈ, ΠΊΠ°ΠΊ ASTM ΠΈ ISO.
Π‘ΡΠ΄ΠΎΠ²ΠΎΠΉ Π³Π°Π·ΠΎΠΉΠ»Ρ (MGO) — Π±Π»ΠΈΠΆΠ°ΠΉΡΠΈΠΉ ΡΠΊΠ²ΠΈΠ²Π°Π»Π΅Π½Ρ ΠΊΠ»Π°ΡΡΠ° ISO — DMA. DMA ΠΈ DMZ — ΡΡΠΎ Π΄ΠΈΡΡΠΈΠ»Π»ΡΡ Π²ΡΡΠΎΡΠ°ΠΉΡΠ΅Π³ΠΎ ΠΊΠ°ΡΠ΅ΡΡΠ²Π°, ΠΎΠ±ΡΡΠ½ΠΎ ΠΏΠΎΡΡΠ°Π²Π»ΡΠ΅ΠΌΡΠΉ Π΄Π»Ρ ΠΈΡΠΏΠΎΠ»ΡΠ·ΠΎΠ²Π°Π½ΠΈΡ Π½Π° ΠΌΠΎΡΠ΅, ΠΏΠΎ Π²ΡΠ΄Π΅Π»Π΅Π½Π½ΡΠΌ ΡΡΡΠ±ΠΎΠΏΡΠΎΠ²ΠΎΠ΄Π°ΠΌ ΠΈΠ»ΠΈ Π±Π°ΡΠΆΠ°ΠΌ.
Π‘ΡΠ΄ΠΎΠ²ΠΎΠ΅ Π΄ΠΈΠ·Π΅Π»ΡΠ½ΠΎΠ΅ ΡΠΎΠΏΠ»ΠΈΠ²ΠΎ (MDO) — Π±Π»ΠΈΠΆΠ°ΠΉΡΠΈΠΉ ΡΠΊΠ²ΠΈΠ²Π°Π»Π΅Π½Ρ ΠΌΠ°ΡΠΊΠΈ ISO — DMB. ΠΠΠ — ΡΡΠΎ Π΄ΠΈΡΡΠΈΠ»Π»ΡΡΠ½ΠΎΠ΅ ΡΠΎΠΏΠ»ΠΈΠ²ΠΎ. ΠΠ΄Π½Π°ΠΊΠΎ ΠΎΠ½ ΠΌΠΎΠΆΠ΅Ρ Π±ΡΡΡ ΡΠ΅ΡΠ½ΠΎΠ³ΠΎ ΡΠ²Π΅ΡΠ°, ΠΏΠΎΡΠΊΠΎΠ»ΡΠΊΡ Π΄ΠΎΡΡΠ°Π²Π»ΡΠ΅ΡΡΡ ΠΏΠΎ ΡΡΡΠ±ΠΎΠΏΡΠΎΠ²ΠΎΠ΄Π°ΠΌ ΠΈΠ»ΠΈ Π±Π°ΡΠΆΠ°ΠΌΠΈ, ΠΈΡΠΏΠΎΠ»ΡΠ·ΡΠ΅ΠΌΡΠΌΠΈ Π΄Π»Ρ ΠΌΠ°Π·ΡΡΠ°, ΡΠ°ΠΊΠΎΠ³ΠΎ ΠΊΠ°ΠΊ RMFO.
Π’Π΅Ρ Π½ΠΈΡΠ΅ΡΠΊΠΈΠ΅ Ρ Π°ΡΠ°ΠΊΡΠ΅ΡΠΈΡΡΠΈΠΊΠΈ
| ΠΠ°ΡΠΊΠ° | DMX | DMA | DMZ | DMB |
| ΠΡΠ·ΠΊΠΎΡΡΡ ΠΏΡΠΈ 40ΒΊC, ΡΠ‘Ρ | 5.500 ΠΠ°ΠΊΡ. 1,400 ΠΠΈΠ½. | 6.000 ΠΠ°ΠΊΡ. 2.000 ΠΠΈΠ½. | 6.000 ΠΠ°ΠΊΡ. 2.000 ΠΠΈΠ½. | 11,00 ΠΠ°ΠΊΡ. 2.000 ΠΠΈΠ½. |
| ΠΠ»ΠΎΡΠ½ΠΎΡΡΡ ΠΏΡΠΈ 15ΒΊC, ΠΊΠ³ / ΠΌ3 | — | 890,0 ΠΠ°ΠΊΡ. | 890,0 ΠΠ°ΠΊΡ. | 890,0 ΠΠ°ΠΊΡ. |
| Π¦Π΅ΡΠ°Π½ΠΎΠ²ΡΠΉ ΠΈΠ½Π΄Π΅ΠΊΡ | 45 ΠΠΈΠ½. | 40 ΠΌΠΈΠ½. | 40 ΠΌΠΈΠ½. | 35 ΠΌΠΈΠ½. |
| Π‘Π΅ΡΠ°, ΠΌΠ°Ρ.% | 1,00 ΠΠ°ΠΊΡ. | 1,50 ΠΠ°ΠΊΡ. | 1,50 ΠΠ°ΠΊΡ. | 2,00 ΠΠ°ΠΊΡ. |
| Π’Π΅ΠΌΠΏΠ΅ΡΠ°ΡΡΡΠ° Π²ΡΠΏΡΡΠΊΠΈ, ΒΊC | 43 ΠΠΈΠ½. | 60 ΠΌΠΈΠ½. | 60 ΠΌΠΈΠ½. | 60 ΠΌΠΈΠ½. |
| Π‘Π΅ΡΠΎΠ²ΠΎΠ΄ΠΎΡΠΎΠ΄, ΠΌΠ³ / ΠΊΠ³ | 2,00 ΠΠ°ΠΊΡ. | 2,00 ΠΠ°ΠΊΡ. | 2,00 ΠΠ°ΠΊΡ. | 2,00 ΠΠ°ΠΊΡ. |
| ΠΠΈΡΠ»ΠΎΡΠ½ΠΎΠ΅ ΡΠΈΡΠ»ΠΎ, ΠΌΠ³ ΠΠΠ / Π³ | 0,5 ΠΠ°ΠΊΡ. | 0,5 ΠΠ°ΠΊΡ. | 0,5 ΠΠ°ΠΊΡ. | 0,5 ΠΠ°ΠΊΡ. |
| ΠΠ±ΡΠΈΠΉ ΠΎΡΠ°Π΄ΠΎΠΊ, Π³ΠΎΡΡΡΠ°Ρ ΡΠΈΠ»ΡΡΡΠ°ΡΠΈΡ, ΠΌΠ°Ρ.% | — | — | — | 0.10 ΠΌΠ°ΠΊΡ. |
| ΠΠΊΠΈΡΠ»ΠΈΡΠ΅Π»ΡΠ½Π°Ρ ΡΡΠ°Π±ΠΈΠ»ΡΠ½ΠΎΡΡΡ, Π³ / ΠΌ3 | 25 ΠΠ°ΠΊΡ. | 25 ΠΠ°ΠΊΡ. | 25 ΠΠ°ΠΊΡ. | 25 ΠΠ°ΠΊΡ. * |
| Π£Π³Π»Π΅ΡΠΎΠ΄Π½ΡΠΉ ΠΎΡΡΠ°ΡΠΎΠΊ, ΠΌΠΈΠΊΡΠΎ, ΠΌΠ°Ρ.% | 0,30 ΠΠ°ΠΊΡ. | 0,30 ΠΠ°ΠΊΡ. | 0,30 ΠΠ°ΠΊΡ. | 0,30 ΠΠ°ΠΊΡ. |
| Π’ΠΎΡΠΊΠ° ΠΏΠΎΠΌΡΡΠ½Π΅Π½ΠΈΡ, ΒΊC | -16 ΠΠ°ΠΊΡ. | — | — | — |
Π’Π΅ΠΌΠΏΠ΅ΡΠ°ΡΡΡΠ° Π·Π°ΡΡΡΠ²Π°Π½ΠΈΡ | ||||
| ΠΠ°ΡΠ΅ΡΡΠ²ΠΎ Π·ΠΈΠΌΡ, ΒΊC | -6 ΠΠ°ΠΊΡ. | -6 ΠΠ°ΠΊΡ. | -6 ΠΠ°ΠΊΡ. | 0 ΠΠ°ΠΊΡ. |
| ΠΠ΅ΡΠ½Π΅Π΅ ΠΊΠ°ΡΠ΅ΡΡΠ²ΠΎ, ΒΊC | 0 ΠΠ°ΠΊΡ. | 0 ΠΠ°ΠΊΡ. | 0 ΠΠ°ΠΊΡ. | 6 ΠΠ°ΠΊΡ. |
| ΠΠ½Π΅ΡΠ½ΠΈΠΉ Π²ΠΈΠ΄ | Clear & Bright | Clear & Bright | Clear & Bright | — |
| ΠΠΎΠ΄Π°, ΠΎΠ±.% | — | — | — | 0,30 ΠΠ°ΠΊΡ. |
| ΠΠΎΠ»Π°, ΠΌΠ°Ρ.% | 0.010 ΠΠ°ΠΊΡ. | 0,010 ΠΠ°ΠΊΡ. | 0,010 ΠΠ°ΠΊΡ. | 0,010 ΠΠ°ΠΊΡ. |
| Π‘ΠΌΠ°Π·ΡΠ²Π°ΡΡΠ°Ρ ΡΠΏΠΎΡΠΎΠ±Π½ΠΎΡΡΡ, ΠΌΠΊΠΌ ** | 520 ΠΠ°ΠΊΡ. | 520 ΠΠ°ΠΊΡ. | 520 ΠΠ°ΠΊΡ. | 520 ΠΠ°ΠΊΡ. * |
* ΠΡΠ»ΠΈ ΠΎΠ±ΡΠ°Π·Π΅Ρ Π½Π΅ΡΠ΅ΡΠΊΠΈΠΉ ΠΈ Π½Π΅ΠΏΡΠΎΠ·ΡΠ°ΡΠ½ΡΠΉ, ΠΈΡΠΏΡΡΠ°Π½ΠΈΠ΅ Π½Π΅ ΠΌΠΎΠΆΠ΅Ρ Π±ΡΡΡ Π²ΡΠΏΠΎΠ»Π½Π΅Π½ΠΎ ΠΈ ΠΏΡΠ΅Π΄Π΅Π» Π½Π΅ ΠΏΡΠΈΠΌΠ΅Π½ΡΠ΅ΡΡΡ.
** ΠΡΠΎ ΡΡΠ΅Π±ΠΎΠ²Π°Π½ΠΈΠ΅ ΠΏΡΠΈΠΌΠ΅Π½ΠΈΠΌΠΎ ΠΊ ΡΠΎΠΏΠ»ΠΈΠ²Ρ Ρ ΡΠΎΠ΄Π΅ΡΠΆΠ°Π½ΠΈΠ΅ΠΌ ΡΠ΅ΡΡ Π½ΠΈΠΆΠ΅ 0,05%
ΠΠ΄ΠΎΡΠΎΠ²ΡΠ΅ ΠΈ Π±Π΅Π·ΠΎΠΏΠ°ΡΠ½ΠΎΡΡΡ
ΠΠ° ΠΎΡΠ½ΠΎΠ²Π°Π½ΠΈΠΈ ΠΈΠΌΠ΅ΡΡΠ΅ΠΉΡΡ ΠΈΠ½ΡΠΎΡΠΌΠ°ΡΠΈΠΈ ΠΎΠΆΠΈΠ΄Π°Π΅ΡΡΡ, ΡΡΠΎ ΡΡΠΎΡ ΠΏΡΠΎΠ΄ΡΠΊΡ Π½Π΅ ΠΎΠΊΠ°ΠΆΠ΅Ρ Π½Π΅Π±Π»Π°Π³ΠΎΠΏΡΠΈΡΡΠ½ΠΎΠ³ΠΎ Π²ΠΎΠ·Π΄Π΅ΠΉΡΡΠ²ΠΈΡ Π½Π° Π·Π΄ΠΎΡΠΎΠ²ΡΠ΅ ΠΏΡΠΈ ΠΈΡΠΏΠΎΠ»ΡΠ·ΠΎΠ²Π°Π½ΠΈΠΈ ΠΏΠΎ Π½Π°Π·Π½Π°ΡΠ΅Π½ΠΈΡ ΠΈ ΡΠ΅ΠΊΠΎΠΌΠ΅Π½Π΄Π°ΡΠΈΡΠΌ. ΠΏΡΠ΅Π΄ΡΡΠ°Π²Π»Π΅Π½Π½ΡΠ΅ Π² ΠΏΠ°ΡΠΏΠΎΡΡΠ΅ Π±Π΅Π·ΠΎΠΏΠ°ΡΠ½ΠΎΡΡΠΈ ΠΌΠ°ΡΠ΅ΡΠΈΠ°Π»Π° (MSDS), ΡΠΎΠ±Π»ΡΠ΄Π°ΡΡΡΡ.ΠΠ°ΡΠΏΠΎΡΡΠ° Π±Π΅Π·ΠΎΠΏΠ°ΡΠ½ΠΎΡΡΠΈ ΠΌΠ°ΡΠ΅ΡΠΈΠ°Π»ΠΎΠ² Π΄ΠΎΡΡΡΠΏΠ½Ρ Π² ΠΠ½ΡΠ΅ΡΠ½Π΅ΡΠ΅ Π½Π° ΡΠ°ΠΉΡΠ΅ ExxonMobil.com. ΠΡΠΎΡ ΠΏΡΠΎΠ΄ΡΠΊΡ Π½Π΅ ΡΠ»Π΅Π΄ΡΠ΅Ρ ΠΈΡΠΏΠΎΠ»ΡΠ·ΠΎΠ²Π°ΡΡ Π΄Π»Ρ ΡΠ΅Π»Π΅ΠΉ, ΠΎΡΠ»ΠΈΡΠ½ΡΡ ΠΎΡ Π΅Π³ΠΎ ΠΏΡΠ΅Π΄ΠΏΠΎΠ»Π°Π³Π°Π΅ΠΌΠΎΠ³ΠΎ ΠΈΡΠΏΠΎΠ»ΡΠ·ΠΎΠ²Π°Π½ΠΈΡ.
ΠΠ‘ΠΠΠΠΠΠ― ΠΠΠΠ‘ΠΠΠ‘Π’Π¬: ΠΠΠΠΠ
Π₯ΡΠ°Π½ΠΈΡΡ Π²Π΄Π°Π»ΠΈ ΠΎΡ ΠΈΡΡΠΎΡΠ½ΠΈΠΊΠΎΠ² Π²ΠΎΠ·Π³ΠΎΡΠ°Π½ΠΈΡ.
Π‘Π½ΠΈΠΌΠΈΡΠ΅ ΡΡΠ°ΡΠΈΡΠ΅ΡΠΊΠΎΠ΅ ΡΠ»Π΅ΠΊΡΡΠΈΡΠ΅ΡΡΠ²ΠΎ ΠΏΠ΅ΡΠ΅Π΄ Π·Π°ΠΏΡΠ°Π²ΠΊΠΎΠΉ.
ΠΠ°ΠΏΠΎΠ»Π½ΠΈΡΠ΅ ΠΏΠ΅ΡΠ΅Π½ΠΎΡΠ½ΡΠ΅ ΠΊΠΎΠ½ΡΠ΅ΠΉΠ½Π΅ΡΡ Π½Π° Π·Π΅ΠΌΠ»Π΅.
ΠΠ±ΡΠ°ΡΠ΅Π½ΠΈΠ΅ / Π’ΡΠ°Π½ΡΠΏΠΎΡΡΠΈΡΠΎΠ²ΠΊΠ° Π² Π·Π°ΠΊΡΡΡΡΡ
ΠΈΠ»ΠΈ ΠΏΡΠ°Π²ΠΈΠ»ΡΠ½ΠΎ Π²Π΅Π½ΡΠΈΠ»ΠΈΡΡΠ΅ΠΌΡΡ
ΠΊΠΎΠ½ΡΠ΅ΠΉΠ½Π΅ΡΠ°Ρ
ΠΈ ΡΠΈΡΡΠ΅ΠΌΠ°Ρ
Π² ΡΠΎΠΎΡΠ²Π΅ΡΡΡΠ²ΠΈΠΈ ΡΠΎ Π²ΡΠ΅ΠΌΠΈ ΠΏΡΠΈΠΌΠ΅Π½ΠΈΠΌΡΠΌΠΈ Π·Π°ΠΊΠΎΠ½Π°ΠΌΠΈ.
ΠΡΠ΅Π΄Π½ΠΎ Π΄Π»Ρ ΠΆΠΈΠ·Π½ΠΈ ΠΏΡΠΈ ΠΏΡΠΎΠ³Π»Π°ΡΡΠ²Π°Π½ΠΈΠΈ.
ΠΠ·Π±Π΅Π³Π°ΡΡ Π²Π΄ΡΡ
Π°Π½ΠΈΡ ΠΏΠ°ΡΠΎΠ² ΠΈ ΠΊΠΎΠ½ΡΠ°ΠΊΡΠ° Ρ ΠΊΠΎΠΆΠ΅ΠΉ.
ΠΠ΅ ΡΠΌΡΠ²Π°ΡΡ ΠΏΡΠΎΠ»ΠΈΡΡΡ Π²ΠΎΠ΄Ρ. ΠΠ΅ Π΄ΠΎΠΏΡΡΠΊΠ°ΠΉΡΠ΅ ΠΏΠΎΠΏΠ°Π΄Π°Π½ΠΈΡ ΠΏΡΠΎΠ»ΠΈΡΠΎΠΉ ΠΆΠΈΠ΄ΠΊΠΎΡΡΠΈ Π² Π²ΠΎΠ΄Ρ.
AMF
ΠΠΎΠΏΡΠΎΡΡ, ΡΠ²ΡΠ·Π°Π½Π½ΡΠ΅ Ρ ΠΏΡΠΎΠΈΠ·Π²ΠΎΠ΄ΡΡΠ²ΠΎΠΌ, Π½Π΅ ΡΠ²Π»ΡΡΡΡΡ ΡΠ°ΡΡΡΡ ΡΡΠΎΠΉ ΡΠΈΡΡΠ΅ΠΌΡ ΡΠΎΠΏΠ»ΠΈΠ²Π½ΠΎΠΉ ΠΈΠ½ΡΠΎΡΠΌΠ°ΡΠΈΠΈ. ΠΠ°ΠΏΠΎΠΌΠ½ΠΈΠΌ, ΡΡΠΎ ΠΡΠΈΠ»ΠΎΠΆΠ΅Π½ΠΈΠ΅ 45 IEA-AMF (Stengel and Vium 2015), ΠΡΠΈΠ»ΠΎΠΆΠ΅Π½ΠΈΠ΅ 34-1 (McGill et al. 2008) ΠΈ ΠΡΠΈΠ»ΠΎΠΆΠ΅Π½ΠΈΠ΅ 30 (Greene and Dawson 2007) ΠΈΠ·ΡΡΠ°Π»ΠΈ Π°ΡΠΏΠ΅ΠΊΡΡ ΠΏΡΠΎΠΈΠ·Π²ΠΎΠ΄ΡΡΠ²Π° ΠΈ ΡΡΡΠΎΠΉΡΠΈΠ²ΠΎΡΡΠΈ HVO.
ΠΠ°ΡΠ°ΡΠΈΠ½Ρ — Π½Π°ΠΈΠ±ΠΎΠ»Π΅Π΅ Π±Π»Π°Π³ΠΎΠΏΡΠΈΡΡΠ½ΡΠ΅ ΠΊΠΎΠΌΠΏΠΎΠ½Π΅Π½ΡΡ Π΄Π»Ρ Π΄ΠΈΠ·Π΅Π»ΡΠ½ΠΎΠ³ΠΎ ΡΠΎΠΏΠ»ΠΈΠ²Π°. ΠΠ°ΡΠ°ΡΠΈΠ½ΠΎΠ²ΠΎΠ΅ Π΄ΠΈΠ·Π΅Π»ΡΠ½ΠΎΠ΅ ΡΠΎΠΏΠ»ΠΈΠ²ΠΎ ΠΎΠ±ΡΡΠ½ΠΎ ΠΈΠΌΠ΅Π΅Ρ ΠΎΡΠ΅Π½Ρ Π²ΡΡΠΎΠΊΠΎΠ΅ ΡΠ΅ΡΠ°Π½ΠΎΠ²ΠΎΠ΅ ΡΠΈΡΠ»ΠΎ, Π½Π΅ ΡΠΎΠ΄Π΅ΡΠΆΠΈΡ ΡΠ΅ΡΡ, Π°Π·ΠΎΡΠ°, ΠΊΠΈΡΠ»ΠΎΡΠΎΠ΄Π° ΠΈ Π°ΡΠΎΠΌΠ°ΡΠΈΡΠ΅ΡΠΊΠΈΡ ΡΠ³Π»Π΅Π²ΠΎΠ΄ΠΎΡΠΎΠ΄ΠΎΠ².ΠΠ°ΡΠ°ΡΠΈΠ½ΠΎΠ²ΠΎΠ΅ Π΄ΠΈΠ·Π΅Π»ΡΠ½ΠΎΠ΅ ΡΠΎΠΏΠ»ΠΈΠ²ΠΎ ΡΠ²Π»ΡΠ΅ΡΡΡ ΡΠ³Π»Π΅Π²ΠΎΠ΄ΠΎΡΠΎΠ΄Π½ΡΠΌ ΡΠΎΠΏΠ»ΠΈΠ²ΠΎΠΌ ΡΠ°ΠΊ ΠΆΠ΅, ΠΊΠ°ΠΊ ΠΈ ΠΎΠ±ΡΡΠ½ΠΎΠ΅ Π΄ΠΈΠ·Π΅Π»ΡΠ½ΠΎΠ΅ ΡΠΎΠΏΠ»ΠΈΠ²ΠΎ. Π‘Π°ΠΌΠΎ Π΄ΠΈΠ·Π΅Π»ΡΠ½ΠΎΠ΅ ΡΠΎΠΏΠ»ΠΈΠ²ΠΎ ΠΏΠΎΠΌΠΈΠΌΠΎ Π΄ΡΡΠ³ΠΈΡ ΡΠ³Π»Π΅Π²ΠΎΠ΄ΠΎΡΠΎΠ΄Π½ΡΡ Π³ΡΡΠΏΠΏ ΡΠΎΠ΄Π΅ΡΠΆΠΈΡ ΠΏΠ°ΡΠ°ΡΠΈΠ½Ρ. ΠΠ΄Π½Π°ΠΊΠΎ Π΄ΠΈΠ·Π΅Π»ΡΠ½ΠΎΠ΅ ΡΠΎΠΏΠ»ΠΈΠ²ΠΎ ΡΠΎΠ΄Π΅ΡΠΆΠΈΡ ΡΠ°ΠΊΠΆΠ΅ Π½Π°ΡΡΠ΅Π½ΠΎΠ²ΡΠ΅ ΠΈ Π°ΡΠΎΠΌΠ°ΡΠΈΡΠ΅ΡΠΊΠΈΠ΅ ΡΠΎΠ΅Π΄ΠΈΠ½Π΅Π½ΠΈΡ, ΠΊΠΎΡΠΎΡΡΠ΅ Π½Π΅ ΡΠ°ΠΊ Π±Π»Π°Π³ΠΎΠΏΡΠΈΡΡΠ½Ρ Π΄Π»Ρ Π³ΠΎΡΠ΅Π½ΠΈΡ. ΠΠ°ΡΠ°ΡΠΈΠ½Ρ — Π½Π°ΠΈΠ±ΠΎΠ»Π΅Π΅ ΡΠ΄ΠΎΠ±Π½ΡΠΉ ΡΠΈΠΏ ΡΠ³Π»Π΅Π²ΠΎΠ΄ΠΎΡΠΎΠ΄Π½ΡΡ ΠΌΠΎΠ»Π΅ΠΊΡΠ» Ρ ΡΠΎΡΠΊΠΈ Π·ΡΠ΅Π½ΠΈΡ ΡΠΈΡΡΠΎΠ³ΠΎ ΠΈ ΠΏΠΎΠ»Π½ΠΎΠ³ΠΎ ΡΠ³ΠΎΡΠ°Π½ΠΈΡ Π² Π΄Π²ΠΈΠ³Π°ΡΠ΅Π»ΡΡ Ρ Π²ΠΎΡΠΏΠ»Π°ΠΌΠ΅Π½Π΅Π½ΠΈΠ΅ΠΌ ΠΎΡ ΡΠΆΠ°ΡΠΈΡ.
ΠΠ°ΡΠ°ΡΠΈΠ½Ρ ΠΌΠΎΠΆΠ½ΠΎ ΠΏΡΠΎΠΈΠ·Π²ΠΎΠ΄ΠΈΡΡ ΡΠ°Π·Π»ΠΈΡΠ½ΡΠΌΠΈ ΡΠΏΠΎΡΠΎΠ±Π°ΠΌΠΈ ΠΈΠ· ΠΈΡΠΊΠΎΠΏΠ°Π΅ΠΌΠΎΠ³ΠΎ ΠΈΠ»ΠΈ Π²ΠΎΠ·ΠΎΠ±Π½ΠΎΠ²Π»ΡΠ΅ΠΌΠΎΠ³ΠΎ ΡΡΡΡΡ.Π‘ΠΈΠ½ΡΠ΅ΡΠΈΡΠ΅ΡΠΊΠΈΠ΅ ΡΠΎΠΏΠ»ΠΈΠ²Π° ΠΏΡΠΎΠΈΠ·Π²ΠΎΠ΄ΡΡΡΡ ΠΏΡΡΠ΅ΠΌ Π³Π°Π·ΠΈΡΠΈΠΊΠ°ΡΠΈΠΈ ΠΈ ΡΠΆΠΈΠΆΠ΅Π½ΠΈΡ ΠΏΠΎ ΠΌΠ΅ΡΠΎΠ΄Ρ Π€ΠΈΡΠ΅ΡΠ°-Π’ΡΠΎΠΏΡΠ° (FT) ΠΈΠ· ΠΏΡΠΈΡΠΎΠ΄Π½ΠΎΠ³ΠΎ Π³Π°Π·Π° (Π³Π°Π· ΠΏΡΠ΅Π²ΡΠ°ΡΠ°Π΅ΡΡΡ Π² ΠΆΠΈΠ΄ΠΊΠΎΡΡΡ, GTL) ΠΈ ΡΠ³Π»Ρ (ΠΈΠ· ΡΠ³Π»Ρ Π² ΠΆΠΈΠ΄ΠΊΠΎΡΡΡ, CTL). BTL Π½Π° ΠΎΡΠ½ΠΎΠ²Π΅ Π±ΠΈΠΎΠΌΠ°ΡΡΡ (ΠΏΡΠ΅ΠΎΠ±ΡΠ°Π·ΠΎΠ²Π°Π½ΠΈΠ΅ Π±ΠΈΠΎΠΌΠ°ΡΡΡ Π² ΠΆΠΈΠ΄ΠΊΠΎΡΡΡ) Π΅ΡΠ΅ Π½Π΅ ΠΊΠΎΠΌΠΌΠ΅ΡΡΠ΅ΡΠΊΠΈ Π΄ΠΎΡΡΡΠΏΠ΅Π½. ΠΠΈΠ·ΠΊΠΎΡΠ΅ΠΌΠΏΠ΅ΡΠ°ΡΡΡΠ½ΡΠΉ ΠΏΡΠΎΡΠ΅ΡΡ FT ΠΌΠ°ΠΊΡΠΈΠΌΠΈΠ·ΠΈΡΡΠ΅Ρ ΠΏΡΠΎΠΈΠ·Π²ΠΎΠ΄ΡΡΠ²ΠΎ ΠΏΠ°ΡΠ°ΡΠΈΠ½ΠΎΠ²ΡΡ ΡΡΠ΅Π΄Π½ΠΈΡ Π΄ΠΈΡΡΠΈΠ»Π»ΡΡΠΎΠ², ΡΠΎΠ³Π΄Π° ΠΊΠ°ΠΊ Π²ΡΡΠΎΠΊΠΎΡΠ΅ΠΌΠΏΠ΅ΡΠ°ΡΡΡΠ½ΡΠΉ ΠΏΡΠΎΡΠ΅ΡΡ FT Π΄Π°Π΅Ρ ΡΠ°Π·Π»ΠΈΡΠ½ΡΠ΅ ΡΠ³Π»Π΅Π²ΠΎΠ΄ΠΎΡΠΎΠ΄Π½ΡΠ΅ ΡΠΌΠ΅ΡΠΈ (Alleman et al. 2003).
ΠΠΈΠ΄ΡΠΎΠΎΡΠΈΡΡΠΊΠ° ΠΌΠ°ΡΠ΅Π» ΠΈ ΠΆΠΈΡΠΎΠ² — ΡΡΠΎ Π½ΠΎΠ²ΡΠΉ ΠΏΡΠΎΡΠ΅ΡΡ ΠΏΡΠΎΠΈΠ·Π²ΠΎΠ΄ΡΡΠ²Π° Π²ΠΎΠ·ΠΎΠ±Π½ΠΎΠ²Π»ΡΠ΅ΠΌΠΎΠ³ΠΎ ΠΏΠ°ΡΠ°ΡΠΈΠ½ΠΎΠ²ΠΎΠ³ΠΎ Π΄ΠΈΠ·Π΅Π»ΡΠ½ΠΎΠ³ΠΎ ΡΠΎΠΏΠ»ΠΈΠ²Π°, ΡΠΎΠΊΡΠ°ΡΠ΅Π½Π½ΠΎ HVO.Π ΠΏΡΠΎΠΈΠ·Π²ΠΎΠ΄ΡΡΠ²Π΅ Π²ΠΎΠ΄ΠΎΡΠΎΠ΄ ΠΈΡΠΏΠΎΠ»ΡΠ·ΡΠ΅ΡΡΡ Π΄Π»Ρ ΡΠ΄Π°Π»Π΅Π½ΠΈΡ ΠΊΠΈΡΠ»ΠΎΡΠΎΠ΄Π° ΠΈΠ· ΠΌΠΎΠ»Π΅ΠΊΡΠ» ΡΡΠΈΠ³Π»ΠΈΡΠ΅ΡΠΈΠ΄ΠΎΠ² ΡΠ°ΡΡΠΈΡΠ΅Π»ΡΠ½ΠΎΠ³ΠΎ ΠΌΠ°ΡΠ»Π° ΠΈΠ»ΠΈ ΠΆΠΈΠ²ΠΎΡΠ½ΠΎΠ³ΠΎ ΠΆΠΈΡΠ°. ΠΡΠΎΠΌΠ΅ ΡΠΎΠ³ΠΎ, Π² ΠΊΠ°ΡΠ΅ΡΡΠ²Π΅ ΡΡΡΡΡ ΠΌΠΎΠΆΠ½ΠΎ ΠΈΡΠΏΠΎΠ»ΡΠ·ΠΎΠ²Π°ΡΡ ΡΠ°Π»Π»ΠΎΠ²ΠΎΠ΅ ΠΌΠ°ΡΠ»ΠΎ, ΠΎΡΡΠ°ΡΠΊΠΈ ΠΎΡ ΠΏΡΠΎΠΈΠ·Π²ΠΎΠ΄ΡΡΠ²Π° ΡΠ΅Π»Π»ΡΠ»ΠΎΠ·Ρ. ΠΠΎΠ΄ΠΎΡΠΎΠ΄, Π½Π΅ΠΎΠ±Ρ ΠΎΠ΄ΠΈΠΌΡΠΉ Π΄Π»Ρ ΠΏΡΠΎΡΠ΅ΡΡΠ° HVO, ΡΠ΅Π³ΠΎΠ΄Π½Ρ ΠΏΡΠΎΠΈΠ·Π²ΠΎΠ΄ΠΈΡΡΡ ΠΈΠ· ΠΏΡΠΈΡΠΎΠ΄Π½ΠΎΠ³ΠΎ Π³Π°Π·Π°, Π½ΠΎ ΠΎΠ½ ΡΠ°ΠΊΠΆΠ΅ ΠΌΠΎΠΆΠ΅Ρ Π±ΡΡΡ ΠΏΠΎΠ»ΡΡΠ΅Π½ ΠΈΠ· Π±ΠΈΠΎΠ³Π°Π·Π° ΠΈΠ»ΠΈ Π΄ΡΡΠ³ΠΈΡ Π²ΠΎΠ·ΠΎΠ±Π½ΠΎΠ²Π»ΡΠ΅ΠΌΡΡ ΠΈΡΡΠΎΡΠ½ΠΈΠΊΠΎΠ². ΠΡΠΈ ΡΡΠ°Π²Π½Π΅Π½ΠΈΠΈ ΠΏΡΠΎΡΠ΅ΡΡΠΎΠ² ΠΏΡΠΎΠΈΠ·Π²ΠΎΠ΄ΡΡΠ²Π° HVO ΠΈ Π±ΠΈΠΎΠ΄ΠΈΠ·Π΅Π»Ρ (FAME) ΠΌΠΎΠΆΠ½ΠΎ ΡΠ΄Π΅Π»Π°ΡΡ Π²ΡΠ²ΠΎΠ΄, ΡΡΠΎ ΠΎΠ±Π° ΡΡΠ΅Π±ΡΡΡ ΠΏΡΠΈΠΌΠ΅ΡΠ½ΠΎ ΠΎΠ΄ΠΈΠ½Π°ΠΊΠΎΠ²ΠΎΠ³ΠΎ ΠΊΠΎΠ»ΠΈΡΠ΅ΡΡΠ²Π° ΠΈΡΠΊΠΎΠΏΠ°Π΅ΠΌΠΎΠ³ΠΎ ΡΡΡΡΡ, ΡΠΎ Π΅ΡΡΡ H 2 Π΄Π»Ρ HVO ΠΈ ΠΌΠ΅ΡΠ°Π½ΠΎΠ»Π° Π΄Π»Ρ FAME.
ΠΠ±Π° ΠΏΡΠΎΡΠ΅ΡΡΠ°, Π€ΠΈΡΠ΅ΡΠ°-Π’ΡΠΎΠΏΡΠ° ΠΈ Π³ΠΈΠ΄ΡΠΎΠΎΡΠΈΡΡΠΊΠ°, ΠΌΠΎΠ³ΡΡ Π±ΡΡΡ ΠΎΠΏΡΠΈΠΌΠΈΠ·ΠΈΡΠΎΠ²Π°Π½Ρ Π΄Π»Ρ ΡΠ°Π·Π»ΠΈΡΠ½ΡΡ ΠΏΡΠΎΠ΄ΡΠΊΡΠΎΠ² / ΡΠΎΡΡΠ°Π²ΠΎΠ². Π‘Π΅Π³ΠΎΠ΄Π½Ρ ΠΏΡΠΎΡΠ΅ΡΡΡ ΠΎΠΏΡΠΈΠΌΠΈΠ·ΠΈΡΠΎΠ²Π°Π½Ρ Π΄Π»Ρ ΠΏΡΠΎΠΈΠ·Π²ΠΎΠ΄ΡΡΠ²Π° Π½-ΠΏΠ°ΡΠ°ΡΠΈΠ½ΠΎΠ² ΠΈ ΠΈΠ·ΠΎΠΏΠ°ΡΠ°ΡΠΈΠ½ΠΎΠ² Π΄Π»Ρ Π΄ΠΈΠ·Π΅Π»ΡΠ½ΠΎΠ³ΠΎ ΡΠΎΠΏΠ»ΠΈΠ²Π°, Π½Π΅ΠΊΠΎΡΠΎΡΡΠ΅ ΠΏΡΠΎΡΠ΅ΡΡΡ ΡΠ°ΠΊΠΆΠ΅ ΠΏΡΠΎΠΈΠ·Π²ΠΎΠ΄ΡΡ ΡΠΈΠΊΠ»ΠΎΠΏΠ°ΡΠ°ΡΠΈΠ½Ρ.
ΠΠ°ΠΊΠΎΠ½ΠΎΠ΄Π°ΡΠ΅Π»ΡΡΡΠ²ΠΎ ΠΈ ΡΡΠ°Π½Π΄Π°ΡΡΡ
ΠΠ°ΡΠ°ΡΠΈΠ½ΠΎΠ²ΠΎΠ΅ Π΄ΠΈΠ·Π΅Π»ΡΠ½ΠΎΠ΅ ΡΠΎΠΏΠ»ΠΈΠ²ΠΎ ΠΎΠΏΡΠ΅Π΄Π΅Π»Π΅Π½ΠΎ Π² ΡΡΠ°Π½Π΄Π°ΡΡΠ΅ EN 15940: 2016, ΠΊΠΎΡΠΎΡΡΠΉ ΡΠ°ΡΠΏΡΠΎΡΡΡΠ°Π½ΡΠ΅ΡΡΡ Π½Π° Π³ΠΈΠ΄ΡΠΎΠΎΡΠΈΡΠ΅Π½Π½ΡΠ΅ ΠΏΡΠΎΠ΄ΡΠΊΡΡ HVO ΠΈ Fischer-Tropsch GTL, ΡΠΎΠ΄Π΅ΡΠΆΠ°ΡΠΈΠ΅ Π΄ΠΎ 7,0% (ΠΎΠ±. / ΠΠ±.) ΠΠ΅ΡΠΈΠ»ΠΎΠ²ΠΎΠ³ΠΎ ΡΡΠΈΡΠ° ΠΆΠΈΡΠ½ΡΡ ΠΊΠΈΡΠ»ΠΎΡ (FAME).(Π’Π°Π±Π»ΠΈΡΠ° 1). Π‘ΠΎΠ΄Π΅ΡΠΆΠ°Π½ΠΈΠ΅ ΠΏΠ°ΡΠ°ΡΠΈΠ½Π° Π² ΡΡΠΎΠΌ ΡΡΠ°Π½Π΄Π°ΡΡΠ΅ ΡΠΎΡΡΠ°Π²Π»ΡΠ΅Ρ Π½Π΅ ΠΌΠ΅Π½Π΅Π΅ 98,5 ΠΌΠ°Ρ.%, Π§ΡΠΎ ΠΊΠΎΠ½ΡΡΠΎΠ»ΠΈΡΡΠ΅ΡΡΡ ΠΎΠ³ΡΠ°Π½ΠΈΡΠ΅Π½ΠΈΠ΅ΠΌ ΡΠΎΠ΄Π΅ΡΠΆΠ°Π½ΠΈΡ Π°ΡΠΎΠΌΠ°ΡΠΈΡΠ΅ΡΠΊΠΈΡ Π²Π΅ΡΠ΅ΡΡΠ² ΠΈ ΠΎΠ»Π΅ΡΠΈΠ½ΠΎΠ² ΠΏΡΠ°ΠΊΡΠΈΡΠ΅ΡΠΊΠΈ Π΄ΠΎ Π½ΡΠ»Ρ, ΠΏΠΎΡΠΊΠΎΠ»ΡΠΊΡ Π½Π°Π΄Π»Π΅ΠΆΠ°ΡΠΈΡ ΠΌΠ΅ΡΠΎΠ΄ΠΎΠ² Π°Π½Π°Π»ΠΈΠ·Π° ΠΏΠ°ΡΠ°ΡΠΈΠ½ΠΎΠ² Π½Π΅ ΡΡΡΠ΅ΡΡΠ²ΡΠ΅Ρ. (ΠΠΈΠΊΠΊΠΎΠ½Π΅Π½ ΠΈ Π΄Ρ., 2012 Π³.). ΠΠ²Π° ΠΊΠ»Π°ΡΡΠ° ΠΎΠΏΡΠ΅Π΄Π΅Π»Π΅Π½Ρ Ρ ΡΠ°Π·Π½ΡΠΌΠΈ Π΄ΠΈΠ°ΠΏΠ°Π·ΠΎΠ½Π°ΠΌΠΈ ΡΠ΅ΡΠ°Π½ΠΎΠ²ΠΎΠ³ΠΎ ΡΠΈΡΠ»Π°. Π¦Π΅ΡΠ°Π½ΠΎΠ²ΠΎΠ΅ ΡΠΈΡΠ»ΠΎ ΠΏΠ°ΡΠ°ΡΠΈΠ½ΠΎΠ²ΠΎΠ³ΠΎ ΡΠΎΠΏΠ»ΠΈΠ²Π° Π·Π°Π²ΠΈΡΠΈΡ ΠΎΡ ΡΠΎΠΎΡΠ½ΠΎΡΠ΅Π½ΠΈΡ Π½-, ΠΈΠ·ΠΎ- ΠΈ ΡΠΈΠΊΠ»ΠΎΠΏΠ°ΡΠ°ΡΠΈΠ½ΠΎΠ².
Π‘ΡΠ°Π½Π΄Π°ΡΡΡ Π΄ΠΈΠ·Π΅Π»ΡΠ½ΠΎΠ³ΠΎ ΡΠΎΠΏΠ»ΠΈΠ²Π°, ΡΠ°ΠΊΠΈΠ΅ ΠΊΠ°ΠΊ EN 590 ΠΈ ASTM D 975, ΡΠΎΠΎΡΠ²Π΅ΡΡΡΠ²ΡΡΡ Π²ΡΡΠΎΠΊΠΈΠΌ ΠΎΡΠ½ΠΎΡΠ΅Π½ΠΈΡΠΌ ΠΊΠΎΠΌΠΏΠΎΠ½Π΅Π½ΡΠΎΠ² ΠΏΠ°ΡΠ°ΡΠΈΠ½ΠΎΠ²ΠΎΠ³ΠΎ Π΄ΠΈΠ·Π΅Π»ΡΠ½ΠΎΠ³ΠΎ ΡΠΎΠΏΠ»ΠΈΠ²Π°.ΠΠ΄Π½Π°ΠΊΠΎ ΠΏΠ°ΡΠ°ΡΠΈΠ½ΠΎΠ²ΡΠ΅ Π΄ΠΈΠ·Π΅Π»ΡΠ½ΡΠ΅ ΡΠΎΠΏΠ»ΠΈΠ²Π° ΠΊΠ°ΠΊ ΡΠ°ΠΊΠΎΠ²ΡΠ΅ Π½Π΅ ΡΠΎΠΎΡΠ²Π΅ΡΡΡΠ²ΡΡΡ ΡΡΠ΅Π±ΠΎΠ²Π°Π½ΠΈΡΠΌ ΠΊ ΠΏΠ»ΠΎΡΠ½ΠΎΡΡΠΈ ΡΡΠ°Π½Π΄Π°ΡΡΠ° EN 590, Π² ΡΠΎ Π²ΡΠ΅ΠΌΡ ΠΊΠ°ΠΊ ΠΎΠ½ΠΈ ΡΠ΄ΠΎΠ²Π»Π΅ΡΠ²ΠΎΡΡΡΡ ΡΡΠ΅Π±ΠΎΠ²Π°Π½ΠΈΡΠΌ, Π½Π°ΠΏΡΠΈΠΌΠ΅Ρ, ΡΡΠ°Π½Π΄Π°ΡΡΠ° ASTM D 975. Π‘ΠΌΠ°Π·ΡΠ²Π°ΡΡΠ°Ρ Π΄ΠΎΠ±Π°Π²ΠΊΠ° Π½Π΅ΠΎΠ±Ρ ΠΎΠ΄ΠΈΠΌΠ° Π΄Π»Ρ ΡΠΈΡΡΠΎΠ³ΠΎ ΠΏΠ°ΡΠ°ΡΠΈΠ½ΠΎΠ²ΠΎΠ³ΠΎ ΡΠΎΠΏΠ»ΠΈΠ²Π°. ΠΡΠΎ ΡΠΈΠΏΠΈΡΠ½Π°Ρ ΠΏΡΠΈΡΠ°Π΄ΠΊΠ°, Π½Π°ΠΏΡΠΈΠΌΠ΅Ρ, ΠΊ ΠΎΠ±ΡΡΠ½ΠΎΠΌΡ Π·ΠΈΠΌΠ½Π΅ΠΌΡ Π΄ΠΈΠ·Π΅Π»ΡΠ½ΠΎΠΌΡ ΡΠΎΠΏΠ»ΠΈΠ²Ρ.
ΠΠΎΠ»Π½ΡΠ΅ ΡΡΠ΅Π±ΠΎΠ²Π°Π½ΠΈΡ ΠΈ ΡΡΠ°Π½Π΄Π°ΡΡΡ Π΄ΠΎΡΡΡΠΏΠ½Ρ Π² ΡΠΎΠΎΡΠ²Π΅ΡΡΡΠ²ΡΡΡΠΈΡ ΠΎΡΠ³Π°Π½ΠΈΠ·Π°ΡΠΈΡΡ .
Π’Π°Π±Π»ΠΈΡΠ° 1. ΠΡΠΈΠΌΠ΅ΡΡ ΡΠ²ΠΎΠΉΡΡΠ² ΠΏΠ°ΡΠ°ΡΠΈΠ½ΠΎΠ²ΡΡ HVO ΠΈ GTL Π²ΠΌΠ΅ΡΡΠ΅ ΡΠΎ ΡΡΠ°Π½Π΄Π°ΡΡΠΎΠΌ.
* Π‘ΠΎΠΎΡΠ²Π΅ΡΡΡΠ²ΡΡΡΠ°Ρ Π·Π°ΡΠΈΡΠ° ΠΎΡ ΡΡ
Π²Π°ΡΡΠ²Π°Π½ΠΈΡ Π΄ΠΎΠ»ΠΆΠ½Π° Π±ΡΡΡ ΠΎΠ±Π΅ΡΠΏΠ΅ΡΠ΅Π½Π° Π·Π° ΡΡΠ΅Ρ ΠΈΡΠΏΠΎΠ»ΡΠ·ΠΎΠ²Π°Π½ΠΈΡ ΠΏΠΎΠ΄Ρ
ΠΎΠ΄ΡΡΠΈΡ
ΡΠΎΠΏΠ»ΠΈΠ²Π½ΡΡ
ΠΏΡΠΈΡΠ°Π΄ΠΎΠΊ ΠΈΠ»ΠΈ ΡΠΌΠ΅ΡΠΈΠ²Π°Π½ΠΈΡ ΠΌΠΈΠ½ΠΈΠΌΡΠΌ 2% (ΠΎΠ±. / ΠΠ±.) FAME.
** Π₯ΠΎΠ»ΠΎΠ΄Π½ΡΠ΅ ΡΠ²ΠΎΠΉΡΡΠ²Π° ΠΌΠΎΠΆΠ½ΠΎ ΡΠ΅Π³ΡΠ»ΠΈΡΠΎΠ²Π°ΡΡ *** ΠΠΎΠΏΠΎΠ»Π½ΠΈΡΠ΅Π»ΡΠ½ΡΠ΅ ΡΡΠ΅Π±ΠΎΠ²Π°Π½ΠΈΡ, ΠΊΠΎΠ³Π΄Π° ΡΠΎΠ΄Π΅ΡΠΆΠ°Π½ΠΈΠ΅ FAME Π²ΡΡΠ΅ 2 ΠΎΠ±.%
a Mikkonen et al. 2011, ΠΏΠ°ΡΠΏΠΎΡΡ Π±Π΅Π·ΠΎΠΏΠ°ΡΠ½ΠΎΡΡΠΈ ΠΌΠ°ΡΠ΅ΡΠΈΠ°Π»Π° NExBTL b Abu-Jrai et al. 2009 Π³., ΠΠΈΠ±ΠΈΡ ΠΈ Π΄Ρ. 2009 Π³., McGill et al. 2008, Nishiumi et al. 2009, Π Π°Π½ΡΠ°Π½Π΅Π½ ΠΈ Π΄Ρ. 2005 c Neste (2016)
ΠΠ»ΠΎΡΠ½ΠΎΡΡΡ ΠΈ ΡΠ½Π΅ΡΠ³ΠΎΠ΅ΠΌΠΊΠΎΡΡΡ
ΠΠ»ΠΎΡΠ½ΠΎΡΡΡ ΠΏΠ°ΡΠ°ΡΠΈΠ½ΠΎΠ²ΠΎΠ³ΠΎ Π΄ΠΈΠ·Π΅Π»ΡΠ½ΠΎΠ³ΠΎ ΡΠΎΠΏΠ»ΠΈΠ²Π° Π½ΠΈΠΆΠ΅, ΡΠ΅ΠΌ Ρ ΠΎΠ±ΡΡΠ½ΠΎΠ³ΠΎ Π΄ΠΈΠ·Π΅Π»ΡΠ½ΠΎΠ³ΠΎ ΡΠΎΠΏΠ»ΠΈΠ²Π°.ΠΠ»ΠΎΡΠ½ΠΎΡΡΡ ΡΡΠ°Π΄ΠΈΡΠΈΠΎΠ½Π½ΠΎ Π±ΡΠ»Π° ΡΠ°ΠΊΡΠΎΡΠΎΠΌ, Π½Π°ΠΏΡΡΠΌΡΡ Π²Π»ΠΈΡΡΡΠΈΠΌ Π½Π° ΠΌΠ°ΠΊΡΠΈΠΌΠ°Π»ΡΠ½ΡΡ Π²ΡΡ ΠΎΠ΄Π½ΡΡ ΠΌΠΎΡΠ½ΠΎΡΡΡ Π΄Π²ΠΈΠ³Π°ΡΠ΅Π»Ρ ΠΈ ΠΎΠ±ΡΠ΅ΠΌΠ½ΡΠΉ ΡΠ°ΡΡ ΠΎΠ΄ ΡΠΎΠΏΠ»ΠΈΠ²Π°. ΠΡΠ»ΠΈ ΠΏΠ»ΠΎΡΠ½ΠΎΡΡΡ ΡΠΌΠ΅Π½ΡΡΠ°Π΅ΡΡΡ, ΡΠ΅ΠΏΠ»ΠΎΡΠ²ΠΎΡΠ½Π°Ρ ΡΠΏΠΎΡΠΎΠ±Π½ΠΎΡΡΡ Π½Π° Π΅Π΄ΠΈΠ½ΠΈΡΡ ΠΎΠ±ΡΠ΅ΠΌΠ° ΡΠΌΠ΅Π½ΡΡΠ°Π΅ΡΡΡ, ΠΈ Π΄Π²ΠΈΠ³Π°ΡΠ΅Π»ΡΠΌ ΡΡΠ΅Π±ΡΠ΅ΡΡΡ Π±ΠΎΠ»ΡΡΠΈΠΉ ΠΎΠ±ΡΠ΅ΠΌ ΡΠΎΠΏΠ»ΠΈΠ²Π°, ΡΡΠΎΠ±Ρ ΠΎΠ±Π΅ΡΠΏΠ΅ΡΠΈΡΡ ΡΠ°ΠΊΡΡ ββΠΆΠ΅ Π²ΡΡ ΠΎΠ΄Π½ΡΡ ΠΌΠΎΡΠ½ΠΎΡΡΡ.
Π‘ ΠΏΠ°ΡΠ°ΡΠΈΠ½ΠΎΠ²ΡΠΌ ΡΠΎΠΏΠ»ΠΈΠ²ΠΎΠΌ Π΄Π΅Π»ΠΎ ΠΎΠ±ΡΡΠΎΠΈΡ ΠΈΠ½Π°ΡΠ΅. ΠΠ°ΡΡΠΎΠ²Π°Ρ ΡΠ½Π΅ΡΠ³ΠΎΠ΅ΠΌΠΊΠΎΡΡΡ ΠΏΠ°ΡΠ°ΡΠΈΠ½ΠΎΠ²ΠΎΠ³ΠΎ ΡΠΎΠΏΠ»ΠΈΠ²Π° Π²ΡΡΠ΅, ΡΠ΅ΠΌ Ρ Π΄ΠΈΠ·Π΅Π»ΡΠ½ΠΎΠ³ΠΎ ΡΠΎΠΏΠ»ΠΈΠ²Π°, ΡΡΠΎ ΡΠ°ΡΡΠΈΡΠ½ΠΎ ΠΊΠΎΠΌΠΏΠ΅Π½ΡΠΈΡΡΠ΅Ρ ΡΡΡΠ΅ΠΊΡ Π±ΠΎΠ»Π΅Π΅ Π½ΠΈΠ·ΠΊΠΎΠΉ ΠΏΠ»ΠΎΡΠ½ΠΎΡΡΠΈ. Π‘ΠΎΠ΄Π΅ΡΠΆΠ°Π½ΠΈΠ΅ Π²ΠΎΠ΄ΠΎΡΠΎΠ΄Π° Π² ΠΏΠ°ΡΠ°ΡΠΈΠ½ΠΎΠ²ΠΎΠΌ Π΄ΠΈΠ·Π΅Π»ΡΠ½ΠΎΠΌ ΡΠΎΠΏΠ»ΠΈΠ²Π΅, Π½Π°ΠΏΡΠΈΠΌΠ΅Ρ HVO, Π²ΡΡΠ΅, ΡΠ΅ΠΌ Π² Π΄ΠΈΠ·Π΅Π»ΡΠ½ΠΎΠΌ ΡΠΎΠΏΠ»ΠΈΠ²Π΅ (ΠΎΠΊΠΎΠ»ΠΎ 15.2 ΠΏΡΠΎΡΠΈΠ² 13,5 ΠΌΠ°Ρ.%), Π§ΡΠΎ ΠΏΡΠΈΠ²ΠΎΠ΄ΠΈΡ ΠΊ Π±ΠΎΠ»Π΅Π΅ Π²ΡΡΠΎΠΊΠΎΠΉ ΡΠ΅ΠΏΠ»ΠΎΡΠ²ΠΎΡΠ½ΠΎΠΉ ΡΠΏΠΎΡΠΎΠ±Π½ΠΎΡΡΠΈ ΠΏΠ°ΡΠ°ΡΠΈΠ½ΠΎΠ²ΠΎΠ³ΠΎ ΡΠΎΠΏΠ»ΠΈΠ²Π° ΠΏΠΎ ΠΌΠ°ΡΡΠ΅.
Π‘Π²ΠΎΠΉΡΡΠ²Π° Ρ ΠΎΠ»ΠΎΠ΄Π°
ΠΠΎΡΡΠ°ΡΠΎΡΠ½Π°Ρ Ρ ΠΎΠ»ΠΎΠ΄ΠΎΠΏΡΠΎΠΈΠ·Π²ΠΎΠ΄ΠΈΡΠ΅Π»ΡΠ½ΠΎΡΡΡ ΠΊΡΡΠ³Π»ΡΠΉ Π³ΠΎΠ΄ ΡΠ²Π»ΡΠ΅ΡΡΡ Π²Π°ΠΆΠ½ΡΠΌ ΡΡΠ΅Π±ΠΎΠ²Π°Π½ΠΈΠ΅ΠΌ Π΄Π»Ρ Π΄ΠΈΠ·Π΅Π»ΡΠ½ΠΎΠ³ΠΎ ΡΠΎΠΏΠ»ΠΈΠ²Π°. Π₯ΠΎΠ»ΠΎΠ΄Π½ΡΠ΅ ΡΠ²ΠΎΠΉΡΡΠ²Π° Π½-ΠΏΠ°ΡΠ°ΡΠΈΠ½ΠΎΠ² ΠΏΠ»ΠΎΡ ΠΈΠ΅. ΠΠ΄Π½Π°ΠΊΠΎ Ρ ΠΎΠ»ΠΎΠ΄Π½ΡΠ΅ ΡΠ²ΠΎΠΉΡΡΠ²Π° ΠΌΠΎΠ³ΡΡ Π±ΡΡΡ ΡΠ»ΡΡΡΠ΅Π½Ρ Ρ ΠΏΠΎΠΌΠΎΡΡΡ ΠΏΡΠΎΡΠ΅ΡΡΠ° ΠΈΠ·ΠΎΠΌΠ΅ΡΠΈΠ·Π°ΡΠΈΠΈ, ΠΊΠΎΡΠΎΡΡΠΉ ΠΌΠΎΠΆΠ΅Ρ ΡΠ½ΠΈΠ·ΠΈΡΡ ΡΠ΅ΠΌΠΏΠ΅ΡΠ°ΡΡΡΡ ΠΏΠΎΠΌΡΡΠ½Π΅Π½ΠΈΡ HVO Π΄ΠΎ -40 Β° C. Π‘ ΠΏΠ°ΡΠ°ΡΠΈΠ½ΠΎΠ²ΡΠΌ ΡΠΎΠΏΠ»ΠΈΠ²ΠΎΠΌ Π²ΠΎΠ·ΠΌΠΎΠΆΠ½ΠΎ Π΄Π°ΠΆΠ΅ ΠΏΡΠΎΠΈΠ·Π²ΠΎΠ΄ΡΡΠ²ΠΎ Π°Π²ΠΈΠ°ΡΠΈΠΎΠ½Π½ΠΎΠ³ΠΎ ΠΊΠ΅ΡΠΎΡΠΈΠ½Π°. Π’Π΅ΠΌ Π½Π΅ ΠΌΠ΅Π½Π΅Π΅, Π»ΡΡΡΠ΅ ΠΈΠ·Π±Π΅Π³Π°ΡΡ Ρ ΠΎΠ»ΠΎΠ΄Π½ΡΡ ΡΠ²ΠΎΠΉΡΡΠ², ΡΠ΅ΠΌ Π½Π΅ΠΎΠ±Ρ ΠΎΠ΄ΠΈΠΌΠΎ, ΡΡΠΎΠ±Ρ Π΄ΠΎΡΡΠΈΡΡ ΠΎΠΏΡΠΈΠΌΠ°Π»ΡΠ½ΠΎΠ³ΠΎ ΡΠΎΠΎΡΠ½ΠΎΡΠ΅Π½ΠΈΡ ΠΏΡΠΈΠ±ΡΠ»ΠΈ ΠΈ ΡΡΠΎΠΆΠ°Ρ.ΠΡΠ΅ HVO, ΠΏΡΠ΅Π΄ΡΡΠ°Π²Π»Π΅Π½Π½ΡΠ΅ Π½Π° ΡΡΠ½ΠΊΠ΅, Π½Π΅ ΠΈΠ·ΠΎΠΌΠ΅ΡΠΈΠ·ΠΎΠ²Π°Π½Ρ.
Π ΡΡΠ°Π΄ΠΈΡΠΈΠΎΠ½Π½ΠΎΠΌ Π΄ΠΈΠ·Π΅Π»ΡΠ½ΠΎΠΌ ΠΏΡΠΎΡΠ΅ΡΡΠ΅ Ρ ΠΎΠ»ΠΎΠ΄Π½ΡΠ΅ ΡΠ²ΠΎΠΉΡΡΠ²Π° ΠΌΠΎΠ³ΡΡ Π±ΡΡΡ ΡΠ»ΡΡΡΠ΅Π½Ρ ΠΏΡΡΠ΅ΠΌ ΠΏΠ΅ΡΠ΅Π³ΠΎΠ½ΠΊΠΈ ΡΠΎΠΏΠ»ΠΈΠ²Π° Π΄ΠΎ Π±ΠΎΠ»Π΅Π΅ Π»Π΅Π³ΠΊΠΈΡ ΡΡΠ°ΠΊΡΠΈΠΉ ΠΈ ΠΈΡΠΏΠΎΠ»ΡΠ·ΠΎΠ²Π°Π½ΠΈΡ Π΄ΠΎΠ±Π°Π²ΠΎΠΊ, ΠΏΠΎΠ²ΡΡΠ°ΡΡΠΈΡ ΡΠ΅ΠΊΡΡΠ΅ΡΡΡ Π½Π° Ρ ΠΎΠ»ΠΎΠ΄Π΅. ΠΡΠΎ ΠΏΡΠΈΠ²ΠΎΠ΄ΠΈΡ ΠΊ Π½ΠΈΠ·ΠΊΠΎΠΉ ΠΏΠ»ΠΎΡΠ½ΠΎΡΡΠΈ ΠΈ Π²ΡΠ·ΠΊΠΎΡΡΠΈ Π·ΠΈΠΌΠ½Π΅Π³ΠΎ ΡΠΎΠΏΠ»ΠΈΠ²Π°, ΡΡΠΎ ΠΌΠΎΠΆΠ΅Ρ ΠΏΡΠΈΠ²Π΅ΡΡΠΈ ΠΊ ΡΠ½ΠΈΠΆΠ΅Π½ΠΈΡ ΠΏΡΠΎΠΈΠ·Π²ΠΎΠ΄ΠΈΡΠ΅Π»ΡΠ½ΠΎΡΡΠΈ Π΄Π²ΠΈΠ³Π°ΡΠ΅Π»Ρ ΠΈ ΡΠ²Π΅Π»ΠΈΡΠ΅Π½ΠΈΡ ΠΎΠ±ΡΠ΅ΠΌΠ½ΠΎΠ³ΠΎ ΡΠ°ΡΡ ΠΎΠ΄Π° ΡΠΎΠΏΠ»ΠΈΠ²Π°. ΠΡΠΎ Π½Π΅ ΠΎΡΠ½ΠΎΡΠΈΡΡΡ ΠΊ ΠΏΠ°ΡΠ°ΡΠΈΠ½ΠΎΠ²ΡΠΌ ΡΠΎΠΏΠ»ΠΈΠ²Π°ΠΌ, ΡΠ°ΠΊΠΈΠΌ ΠΊΠ°ΠΊ HVO, ΠΏΠΎΡΠΎΠΌΡ ΡΡΠΎ ΠΏΡΠΎΡΠ΅ΡΡ ΠΈΠ·ΠΎΠΌΠ΅ΡΠΈΠ·Π°ΡΠΈΠΈ Π½Π΅ ΠΈΠ·ΠΌΠ΅Π½ΡΠ΅Ρ ΠΏΠ»ΠΎΡΠ½ΠΎΡΡΡ ΠΈΠ»ΠΈ Π²ΡΠ·ΠΊΠΎΡΡΡ. Π ΠΏΡΠΎΡΠ΅ΡΡΠ΅ ΠΈΠ·ΠΎΠΌΠ΅ΡΠΈΠ·Π°ΡΠΈΠΈ ΠΏΠ΅ΡΠ΅Π³ΡΡΠΏΠΏΠΈΡΠΎΠ²ΡΠ²Π°ΡΡΡΡ ΡΠΎΠ»ΡΠΊΠΎ Π°ΡΠΎΠΌΡ.
ΠΡΠΈΡΠ°Π΄ΠΊΠΈ, ΡΠ»ΡΡΡΠ°ΡΡΠΈΠ΅ Ρ Π»Π°Π΄ΠΎΡΠ΅ΠΊΡΡΠ΅ΡΡΡ, ΡΠ΅Π°Π³ΠΈΡΡΡΡ Π½Π° ΠΏΠ°ΡΠ°ΡΠΈΠ½Ρ Π½Π΅ ΡΠ°ΠΊ Ρ ΠΎΡΠΎΡΠΎ, ΠΊΠ°ΠΊ Π½Π° ΡΡΠ°Π΄ΠΈΡΠΈΠΎΠ½Π½ΡΠ΅ Π΄ΠΈΠ·Π΅Π»ΡΠ½ΡΠ΅ ΡΠΎΠΏΠ»ΠΈΠ²Π°. ΠΠ΅Π³ΠΊΠΈΠΉ ΠΈ ΡΠ·ΠΊΠΈΠΉ Π΄ΠΈΠ°ΠΏΠ°Π·ΠΎΠ½ ΠΏΠ΅ΡΠ΅Π³ΠΎΠ½ΠΊΠΈ ΠΏΠ°ΡΠ°ΡΠΈΠ½ΠΎΠ²ΡΡ ΡΠ³Π»Π΅Π²ΠΎΠ΄ΠΎΡΠΎΠ΄ΠΎΠ² Π½Π΅ ΠΏΠΎΠ΄Ρ ΠΎΠ΄ΠΈΡ Π΄Π»Ρ ΡΠ°Π±ΠΎΡΡ ΡΡΡΠ΅ΡΡΠ²ΡΡΡΠΈΡ Ρ Π»Π°Π΄ΠΎΡΠ΅ΠΊΡΡΠ΅ΡΡΠΈ.
ΠΠΎ ΡΠΌΠΎΠ»ΡΠ°Π½ΠΈΡ Π²ΡΠ·ΠΊΠΎΡΡΡ ΡΠ²Π΅Π»ΠΈΡΠΈΠ²Π°Π΅ΡΡΡ Ρ ΠΏΠΎΠ½ΠΈΠΆΠ΅Π½ΠΈΠ΅ΠΌ ΡΠ΅ΠΌΠΏΠ΅ΡΠ°ΡΡΡΡ. ΠΡΠ·ΠΊΠΎΡΡΡ ΠΏΠ°ΡΠ°ΡΠΈΠ½ΠΎΠ²ΠΎΠ³ΠΎ ΡΠΎΠΏΠ»ΠΈΠ²Π° Π±Π»ΠΈΠ·ΠΊΠ° ΠΊ Π²ΡΠ·ΠΊΠΎΡΡΠΈ ΠΎΠ±ΡΡΠ½ΠΎΠ³ΠΎ Π΄ΠΈΠ·Π΅Π»ΡΠ½ΠΎΠ³ΠΎ ΡΠΎΠΏΠ»ΠΈΠ²Π° ΠΏΡΠΈ Π½ΠΈΠ·ΠΊΠΈΡ ΡΠ΅ΠΌΠΏΠ΅ΡΠ°ΡΡΡΠ°Ρ . ΠΠ°ΠΏΡΠΈΠΌΠ΅Ρ, Π²ΡΠ·ΠΊΠΎΡΡΡ HVO ΡΠΎΡΡΠ°Π²Π»ΡΠ΅Ρ ΠΎΠΊΠΎΠ»ΠΎ 15 ΠΌΠΌ 2 / Ρ ΠΏΡΠΈ -15 Β° C, Π²ΡΠ·ΠΊΠΎΡΡΡ ΡΡΠ°Π΄ΠΈΡΠΈΠΎΠ½Π½ΠΎΠ³ΠΎ Π»Π΅ΡΠ½Π΅Π³ΠΎ Π΄ΠΈΠ·Π΅Π»ΡΠ½ΠΎΠ³ΠΎ ΡΠΎΠΏΠ»ΠΈΠ²Π° ΠΎΠΊΠΎΠ»ΠΎ 20 ΠΌΠΌ 2 / Ρ ΠΈ Π·ΠΈΠΌΠ½Π΅Π³ΠΎ ΡΠΎΡΡΠ° 6 ΠΌΠΌ 2 / Ρ, ΡΠΎΠΎΡΠ²Π΅ΡΡΡΠ²Π΅Π½Π½ΠΎ.ΠΡΠ·ΠΊΠΎΡΡΡ ΡΠ°ΠΊΠΆΠ΅ ΠΌΠΎΠΆΠ΅Ρ Π²Π»ΠΈΡΡΡ Π½Π° ΡΠ°Π±ΠΎΡΠΎΡΠΏΠΎΡΠΎΠ±Π½ΠΎΡΡΡ Π² Ρ ΠΎΠ»ΠΎΠ΄Π½ΠΎΠΌ ΡΠΎΡΡΠΎΡΠ½ΠΈΠΈ Π² Π½Π΅ΠΊΠΎΡΠΎΡΡΡ ΠΎΠ±Π»Π°ΡΡΡΡ ΠΏΡΠΈΠΌΠ΅Π½Π΅Π½ΠΈΡ. (ΠΠΈΠΊΠΊΠΎΠ½Π΅Π½ ΠΈ Π΄Ρ., 2011).
Π¦Π΅ΡΠ°Π½ΠΎΠ²ΠΎΠ΅ ΡΠΈΡΠ»ΠΎ
ΠΠ»Π°Π³ΠΎΠ΄Π°ΡΡ ΡΠ²ΠΎΠ΅ΠΉ ΠΏΡΠΈΡΠΎΠ΄Π΅ ΡΠΌΠ΅ΡΠΈ Π½- ΠΈ ΠΈΠ·ΠΎΠΏΠ°ΡΠ°ΡΠΈΠ½ΠΎΠ², HVO, ΠΎΡΠ²Π΅ΡΠ°ΡΡΠΈΠΉ ΡΡΠ΅Π±ΠΎΠ²Π°Π½ΠΈΡΠΌ ΠΊΠ»Π°ΡΡΠ° A EN 15940: 2016, ΠΈΠΌΠ΅Π΅Ρ ΠΎΡΠ΅Π½Ρ Π²ΡΡΠΎΠΊΠΎΠ΅ ΡΠ΅ΡΠ°Π½ΠΎΠ²ΠΎΠ΅ ΡΠΈΡΠ»ΠΎ, ΠΎΡ 70 Π΄ΠΎ 95. ΠΠ΅ΠΊΠΎΡΠΎΡΡΠ΅ Π΄ΡΡΠ³ΠΈΠ΅ ΠΏΡΠΎΡΠ΅ΡΡΡ ΠΌΠΎΠ³ΡΡ ΠΏΡΠΈΠ²ΠΎΠ΄ΠΈΡΡ ΠΊ ΠΏΠΎΠ»ΡΡΠ΅Π½ΠΈΡ ΡΠΌΠ΅ΡΠ΅ΠΉ ΠΏΠ°ΡΠ°ΡΠΈΠ½ΠΎΠ² Ρ Π±ΠΎΠ»Π΅Π΅ Π½ΠΈΠ·ΠΊΠΈΠΌ ΡΠ΅ΡΠ°Π½ΠΎΠ²ΡΠΌ ΡΠΈΡΠ»ΠΎΠΌ.
HVO ΠΊΠ°ΠΊ ΠΊΠΎΠΌΠΏΠΎΠ½Π΅Π½Ρ ΡΠΌΠ΅ΡΠΈ ΡΠ²Π΅Π»ΠΈΡΠΈΠ²Π°Π΅Ρ ΡΠ΅ΡΠ°Π½ΠΎΠ²ΠΎΠ΅ ΡΠΈΡΠ»ΠΎ Π»ΠΈΠ½Π΅ΠΉΠ½ΠΎ. Π‘ΡΠΈΡΠ°Π΅ΡΡΡ, ΡΡΠΎ ΠΏΡΠΈΡΠΎΠ΄Π½ΠΎΠ΅ ΡΠ΅ΡΠ°Π½ΠΎΠ²ΠΎΠ΅ ΡΠΈΡΠ»ΠΎ ΠΏΠ°ΡΠ°ΡΠΈΠ½ΠΎΠ² Π±ΠΎΠ»Π΅Π΅ ΡΠ΅Π½Π½ΠΎ, ΡΠ΅ΠΌ ΠΏΡΠ΅ΠΈΠΌΡΡΠ΅ΡΡΠ²Π° Π΄ΠΎΠ±Π°Π²ΠΎΠΊ, ΡΠ»ΡΡΡΠ°ΡΡΠΈΡ ΡΠ΅ΡΠ°Π½ΠΎΠ²ΠΎΠ΅ ΡΠΈΡΠ»ΠΎ.ΠΠ°ΠΏΡΠΈΠΌΠ΅Ρ, ΡΡΡΠ΅ΠΊΡΠΈΠ²Π½ΠΎΡΡΡ Π΄ΠΎΠ±Π°Π²ΠΎΠΊ ΠΎΠ³ΡΠ°Π½ΠΈΡΠ΅Π½Π° ΠΏΡΠΈΠΌΠ΅ΡΠ½ΠΎ ΡΠ΅ΡΡΡΡΠΌΡ ΡΠ΅ΡΠ°Π½ΠΎΠ²ΡΠΌΠΈ Π΅Π΄ΠΈΠ½ΠΈΡΠ°ΠΌΠΈ, ΠΎΡΠΎΠ±Π΅Π½Π½ΠΎ Π² Π·ΠΈΠΌΠ½ΠΈΡ Π²ΠΈΠ΄Π°Ρ ΡΠΎΠΏΠ»ΠΈΠ²Π°.
Π¦Π΅ΡΠ°Π½ΠΎΠ²ΠΎΠ΅ ΡΠΈΡΠ»ΠΎ ΠΏΠ°ΡΠ°ΡΠΈΠ½ΠΎΠ²ΠΎΠ³ΠΎ ΡΠΎΠΏΠ»ΠΈΠ²Π° ΠΎΠ±ΡΡΠ½ΠΎ Π²ΡΡΠ΅ Π²Π΅ΡΡ Π½Π΅Π³ΠΎ ΠΏΡΠ΅Π΄Π΅Π»Π° ΠΌΠ΅ΡΠΎΠ΄Π° ΠΈΠ·ΠΌΠ΅ΡΠ΅Π½ΠΈΡ Ρ ΡΠ΅ΡΠ°Π½ΠΎΠ²ΡΠΌ Π΄Π²ΠΈΠ³Π°ΡΠ΅Π»Π΅ΠΌ. Π’Π°ΠΊΠΈΠΌ ΠΎΠ±ΡΠ°Π·ΠΎΠΌ, ΡΠΎΠΏΠ»ΠΈΠ²ΠΎ Ρ Π²ΡΡΠΎΠΊΠΈΠΌ ΡΠ΅ΡΠ°Π½ΠΎΠ²ΡΠΌ ΡΠΈΡΠ»ΠΎΠΌ Π΄ΠΎΠ»ΠΆΠ½ΠΎ Π±ΡΡΡ ΡΠΌΠ΅ΡΠ°Π½ΠΎ Ρ ΠΈΠ·Π²Π΅ΡΡΠ½ΡΠΌ ΡΠΎΠΏΠ»ΠΈΠ²ΠΎΠΌ Ρ Π½ΠΈΠ·ΠΊΠΈΠΌ ΡΠ΅ΡΠ°Π½ΠΎΠ²ΡΠΌ ΡΠΈΡΠ»ΠΎΠΌ, ΠΈ ΡΠ΅ΡΠ°Π½ΠΎΠ²ΠΎΠ΅ ΡΠΈΡΠ»ΠΎ ΠΎΡΠ΅Π½ΠΈΠ²Π°Π΅ΡΡΡ ΠΌΠ΅ΡΠΎΠ΄ΠΎΠΌ Π»ΠΈΠ½Π΅ΠΉΠ½ΠΎΠΉ ΡΠΊΡΡΡΠ°ΠΏΠΎΠ»ΡΡΠΈΠΈ. Π‘Π»Π΅Π΄ΠΎΠ²Π°ΡΠ΅Π»ΡΠ½ΠΎ, ΡΠ΅ΡΠ°Π½ΠΎΠ²ΠΎΠ΅ ΡΠΈΡΠ»ΠΎ, ΠΏΠΎΠ»ΡΡΠ΅Π½Π½ΠΎΠ΅ Ρ ΠΏΠΎΠΌΠΎΡΡΡ Π΄ΡΡΠ³ΠΎΠ³ΠΎ ΠΌΠ΅ΡΠΎΠ΄Π° ΠΈΡΠΏΡΡΠ°Π½ΠΈΠΉ (DCN, EN 15195), Π±ΠΎΠ»ΡΡΠ΅ ΠΏΠΎΠ΄Ρ ΠΎΠ΄ΠΈΡ Π΄Π»Ρ ΡΠΎΠΏΠ»ΠΈΠ²Π° Ρ Π²ΡΡΠΎΠΊΠΈΠΌ ΡΠ΅ΡΠ°Π½ΠΎΠ²ΡΠΌ ΡΠΈΡΠ»ΠΎΠΌ. Π¦Π΅ΡΠ°Π½ΠΎΠ²ΡΠΉ ΠΈΠ½Π΄Π΅ΠΊΡ Π½Π΅ΠΏΡΠΈΠΌΠ΅Π½ΠΈΠΌ Π΄Π»Ρ ΠΏΠ°ΡΠ°ΡΠΈΠ½ΠΎΠ²ΠΎΠ³ΠΎ Π΄ΠΈΠ·Π΅Π»ΡΠ½ΠΎΠ³ΠΎ ΡΠΎΠΏΠ»ΠΈΠ²Π°.
ΠΠΈΡΡΠΈΠ»Π»ΡΡΠΈΡ
ΠΠ΅ΡΠ΅Π³ΠΎΠ½ΠΊΠ° ΠΏΠ°ΡΠ°ΡΠΈΠ½ΠΎΠ² HVO Ρ ΠΎΡΠΎΡΠΎ ΠΏΠΎΠ΄Ρ ΠΎΠ΄ΠΈΡ Π΄Π»Ρ Π΄ΠΈΠ°ΠΏΠ°Π·ΠΎΠ½Π° ΠΏΠ΅ΡΠ΅Π³ΠΎΠ½ΠΊΠΈ Π΄ΠΈΠ·Π΅Π»ΡΠ½ΠΎΠ³ΠΎ ΡΠΎΠΏΠ»ΠΈΠ²Π°, Ρ ΠΎΡΡ Π΄ΠΈΠ°ΠΏΠ°Π·ΠΎΠ½ ΠΏΠ΅ΡΠ΅Π³ΠΎΠ½ΠΊΠΈ ΡΠ·ΠΎΠΊ (ΡΠΈΡ. 1).
Π ΠΈΡ. 1. ΠΡΠΈΠ²ΡΠ΅ ΠΏΠ΅ΡΠ΅Π³ΠΎΠ½ΠΊΠΈ ΡΠΈΠΏΠΈΡΠ½ΠΎΠ³ΠΎ Π΄ΠΈΠ·Π΅Π»ΡΠ½ΠΎΠ³ΠΎ ΡΠΎΠΏΠ»ΠΈΠ²Π° (EN 590), FAME, HVO ΠΈ Π΄ΠΈΠ·Π΅Π»ΡΠ½ΠΎΠ³ΠΎ ΡΠΎΠΏΠ»ΠΈΠ²Π°, ΡΠΎΠ΄Π΅ΡΠΆΠ°ΡΠ΅Π³ΠΎ 30 ΠΎΠ±.% HVO. (Neste 2016).
Π‘ΠΎΠ΄Π΅ΡΠΆΠ°Π½ΠΈΠ΅ ΡΠ΅ΡΡ ΠΈ ΠΌΠΈΠΊΡΠΎΡΠ»Π΅ΠΌΠ΅Π½ΡΡ
Π‘ΠΎΠ΄Π΅ΡΠΆΠ°Π½ΠΈΠ΅ ΡΠ΅ΡΡ Π² ΠΏΠ°ΡΠ°ΡΠΈΠ½ΠΎΠ²ΠΎΠΌ ΡΠΎΠΏΠ»ΠΈΠ²Π΅ ΠΎΠ±ΡΡΠ½ΠΎ ΠΎΡΠ΅Π½Ρ Π½ΠΈΠ·ΠΊΠΎΠ΅, Π½Π°ΠΏΡΠΈΠΌΠ΅Ρ, Π΄Π»Ρ HVO, Π²ΡΡ ΠΎΠ΄ΡΡΠ΅Π³ΠΎ ΠΈΠ· ΠΏΡΠΎΠΈΠ·Π²ΠΎΠ΄ΡΡΠ²Π΅Π½Π½ΠΎΠ³ΠΎ ΠΏΡΠΎΡΠ΅ΡΡΠ°, Π½ΠΈΠΆΠ΅ 1 ΠΌΠ³ / ΠΊΠ³.ΠΠΎ ΠΌΠ½ΠΎΠ³ΠΈΡ ΡΠ΅Π³ΠΈΠΎΠ½Π°Ρ ΡΠ΅Π³ΠΎΠ΄Π½Ρ ΠΏΡΠ΅Π΄Π΅Π» ΡΠΎΠ΄Π΅ΡΠΆΠ°Π½ΠΈΡ ΡΠ΅ΡΡ Π² Π΄ΠΈΠ·Π΅Π»ΡΠ½ΠΎΠΌ ΡΠΎΠΏΠ»ΠΈΠ²Π΅ ΡΠΎΡΡΠ°Π²Π»ΡΠ΅Ρ ΠΌΠ°ΠΊΡΠΈΠΌΡΠΌ 10 ΠΈΠ»ΠΈ 15 ΠΌΠ³ / ΠΊΠ³.
ΠΠΎΠ»ΡΠ½ΠΎΡΡΡ ΠΏΠ°ΡΠ°ΡΠΈΠ½ΠΎΠ²ΠΎΠ³ΠΎ ΡΠΎΠΏΠ»ΠΈΠ²Π° Π½ΠΈΠ·ΠΊΠ°Ρ, Π½Π°ΠΏΡΠΈΠΌΠ΅Ρ, Π΄Π»Ρ HVO Π½ΠΈΠΆΠ΅ <0,001%. Π‘ΡΡΡΠ΅ Π±ΠΈΠΎΠ»ΠΎΠ³ΠΈΡΠ΅ΡΠΊΠΎΠ³ΠΎ ΠΏΡΠΎΠΈΡΡ ΠΎΠΆΠ΄Π΅Π½ΠΈΡ ΠΌΠΎΠΆΠ΅Ρ ΡΠΎΠ΄Π΅ΡΠΆΠ°ΡΡ Π·ΠΎΠ»ΠΎΠΎΠ±ΡΠ°Π·ΡΡΡΠΈΠ΅ ΡΠ»Π΅ΠΌΠ΅Π½ΡΡ, ΡΠ°ΠΊΠΈΠ΅ ΠΊΠ°ΠΊ ΡΠΎΡΡΠΎΡ (P), ΠΊΠ°Π»ΡΡΠΈΠΉ (Ca) ΠΈ ΠΌΠ°Π³Π½ΠΈΠΉ (Mg). ΠΠ΄Π½Π°ΠΊΠΎ Π² ΠΏΠ°ΡΠ°ΡΠΈΠ½ΠΎΠ²ΠΎΠΌ Π΄ΠΈΠ·Π΅Π»ΡΠ½ΠΎΠΌ ΡΠΎΠΏΠ»ΠΈΠ²Π΅ HVO ΠΈ FT ΡΡΠΈ ΡΠ»Π΅ΠΌΠ΅Π½ΡΡ Π·Π½Π°ΡΠΈΡΠ΅Π»ΡΠ½ΠΎ Π½ΠΈΠΆΠ΅ ΠΏΡΠ΅Π΄Π΅Π»ΠΎΠ² ΠΎΠ±Π½Π°ΡΡΠΆΠ΅Π½ΠΈΡ Π°Π½Π°Π»ΠΈΡΠΈΡΠ΅ΡΠΊΠΈΡ ΠΌΠ΅ΡΠΎΠ΄ΠΎΠ² (<1 ΠΌΠ³ / ΠΊΠ³), ΠΏΠΎΡΠΊΠΎΠ»ΡΠΊΡ ΠΎΠ½ΠΈ ΡΠ΄Π°Π»ΡΡΡΡΡ Π² ΡΡΡΠ°Π½ΠΎΠ²ΠΊΠ΅ ΠΏΡΠ΅Π΄Π²Π°ΡΠΈΡΠ΅Π»ΡΠ½ΠΎΠΉ ΠΎΠ±ΡΠ°Π±ΠΎΡΠΊΠΈ ΡΡΡΡΡ. ΠΠΈΠ·ΠΊΠΈΠΉ ΡΡΠΎΠ²Π΅Π½Ρ ΡΠΎΠ΄Π΅ΡΠΆΠ°Π½ΠΈΡ ΡΡΠΈΡ ΡΠ»Π΅ΠΌΠ΅Π½ΡΠΎΠ² ΠΎΠ±Π΅ΡΠΏΠ΅ΡΠΈΠ²Π°Π΅Ρ Π±Π΅Π·Π·ΠΎΠ»ΡΠ½ΠΎΠ΅ ΡΠ³ΠΎΡΠ°Π½ΠΈΠ΅ ΠΈ Π΄Π»ΠΈΡΠ΅Π»ΡΠ½ΡΠΉ ΡΡΠΎΠΊ ΡΠ»ΡΠΆΠ±Ρ ΡΠΈΡΡΠ΅ΠΌ Π΄ΠΎΠΎΡΠΈΡΡΠΊΠΈ Π²ΡΡ Π»ΠΎΠΏΠ½ΡΡ Π³Π°Π·ΠΎΠ².(Neste 2016).
Π£ΡΡΠΎΠΉΡΠΈΠ²ΠΎΡΡΡ ΠΈ Π²ΠΎΠ΄Π°
ΠΡΠΈ ΡΠ΅ΠΌΠΏΠ΅ΡΠ°ΡΡΡΠ°Ρ Π²ΡΡΠ΅ ΡΠΎΡΠΊΠΈ ΠΏΠΎΠΌΡΡΠ½Π΅Π½ΠΈΡ ΠΏΠ°ΡΠ°ΡΠΈΠ½ΠΎΠ²ΡΠ΅ ΡΠΎΠΏΠ»ΠΈΠ²Π° ΠΏΡΠΎΠ·ΡΠ°ΡΠ½ΡΠ΅ ΠΈ ΡΠ²Π΅ΡΠ»ΡΠ΅ , ΠΈ ΠΎΠ½ΠΈ Π½Π΅ ΠΈΠΌΠ΅ΡΡ Π·Π°ΠΏΠ°Ρ Π° Π΄ΠΈΠ·Π΅Π»ΡΠ½ΠΎΠ³ΠΎ ΡΠΎΠΏΠ»ΠΈΠ²Π°. Π¦Π²Π΅Ρ HVO Π½Π°ΠΏΠΎΠΌΠΈΠ½Π°Π΅Ρ Π²ΠΎΠ΄Ρ. ΠΠΎΠ΄ΠΎΠ±Π½ΠΎ ΠΈΡΠΊΠΎΠΏΠ°Π΅ΠΌΠΎΠΌΡ ΡΠΎΠΏΠ»ΠΈΠ²Ρ, ΠΏΠ°ΡΠ°ΡΠΈΠ½ΠΎΠ²ΠΎΠ΅ ΡΠΎΠΏΠ»ΠΈΠ²ΠΎ ΡΡΠ°Π½ΠΎΠ²ΠΈΡΡΡ ΠΌΡΡΠ½ΡΠΌ ΠΏΡΠΈ ΡΠ΅ΠΌΠΏΠ΅ΡΠ°ΡΡΡΠ°Ρ Π½ΠΈΠΆΠ΅ ΡΠΎΡΠΊΠΈ ΠΏΠΎΠΌΡΡΠ½Π΅Π½ΠΈΡ, ΠΈ ΠΊΡΠΈΡΡΠ°Π»Π»ΠΈΠ·ΠΎΠ²Π°Π½Π½ΡΠ΅ ΠΏΠ°ΡΠ°ΡΠΈΠ½Ρ ΠΌΠΎΠ³ΡΡ ΠΎΡΠ΅Π΄Π°ΡΡ ΠΏΡΠΈ Π΄Π»ΠΈΡΠ΅Π»ΡΠ½ΠΎΠΌ Ρ ΡΠ°Π½Π΅Π½ΠΈΠΈ.
Π‘ΡΠ°Π±ΠΈΠ»ΡΠ½ΠΎΡΡΡ ΠΏΠ°ΡΠ°ΡΠΈΠ½ΠΎΠ²ΠΎΠ³ΠΎ ΡΠΎΠΏΠ»ΠΈΠ²Π° ΠΎΡΠ»ΠΈΡΠ½Π°Ρ, ΠΈ Π΄Π°ΡΠ° Β«ΠΈΡΠΏΠΎΠ»ΡΠ·ΠΎΠ²Π°Π½ΠΈΡ Π΄ΠΎΒ» Π½Π΅ ΡΡΠ΅Π±ΡΠ΅ΡΡΡ.ΠΡΠΎ ΠΏΡΠΎΠ±Π»Π΅ΠΌΠ° Π΄Π»Ρ ΠΏΡΠΈΠ»ΠΎΠΆΠ΅Π½ΠΈΠΉ, ΠΊΠΎΡΠΎΡΡΠ΅ ΠΏΡΠΈΠΏΠ°ΡΠΊΠΎΠ²Π°Π½Ρ Π½Π° Π΄Π»ΠΈΡΠ΅Π»ΡΠ½ΡΠ΅ ΠΏΠ΅ΡΠΈΠΎΠ΄Ρ Π²ΡΠ΅ΠΌΠ΅Π½ΠΈ, Π½Π°ΠΏΡΠΈΠΌΠ΅Ρ Π΄ΠΎΠ»Π³ΠΎΡΡΠΎΡΠ½Π°Ρ ΠΏΠ°ΡΠΊΠΎΠ²ΠΊΠ°, ΡΠ΅Π·ΠΎΠ½Π½Π°Ρ ΡΠ΅Ρ Π½ΠΈΠΊΠ°, Π»ΠΎΠ΄ΠΊΠΈ, Π°Π²Π°ΡΠΈΠΉΠ½ΡΠ΅ Π³Π΅Π½Π΅ΡΠ°ΡΠΎΡΠ½ΡΠ΅ ΡΡΡΠ°Π½ΠΎΠ²ΠΊΠΈ ΠΈ Ρ. Π΄. ΠΠΎΡΠΊΠΎΠ»ΡΠΊΡ Π½ΠΎΠ²ΡΠ΅ ΡΠ»ΠΎΠΆΠ½ΡΠ΅ ΡΠΈΡΡΠ΅ΠΌΡ Π²ΠΏΡΡΡΠΊΠ° ΡΠΎΠΏΠ»ΠΈΠ²Π° ΠΌΠΎΠ³ΡΡ Π±ΡΡΡ Π½Π°ΠΌΠ½ΠΎΠ³ΠΎ Π±ΠΎΠ»Π΅Π΅ ΡΡΠ²ΡΡΠ²ΠΈΡΠ΅Π»ΡΠ½Ρ ΠΊ ΠΎΡΠ»ΠΎΠΆΠ΅Π½ΠΈΡ, ΡΠ΅ΠΌ ΡΡΠ°ΡΡΠ΅, ΡΡΠ°Π±ΠΈΠ»ΡΠ½ΠΎΡΡΡ ΡΠΎΠΏΠ»ΠΈΠ²Π° ΡΠ΅Π³ΠΎΠ΄Π½Ρ Π΄Π°ΠΆΠ΅ Π±ΠΎΠ»Π΅Π΅ Π²Π°ΠΆΠ½Π°, ΡΠ΅ΠΌ ΡΠ°Π½ΡΡΠ΅.
Π’ΡΠ°Π΄ΠΈΡΠΈΠΎΠ½Π½ΡΠ΅ ΠΌΠ΅ΡΠΎΠ΄Ρ ΡΡΠ°Π±ΠΈΠ»ΠΈΠ·Π°ΡΠΈΠΈ , ΠΈΡΠΏΠΎΠ»ΡΠ·ΡΠ΅ΠΌΡΠ΅ Π΄Π»Ρ Π΄ΠΈΠ·Π΅Π»ΡΠ½ΠΎΠ³ΠΎ ΡΠΎΠΏΠ»ΠΈΠ²Π°, Π΄Π΅ΠΉΡΡΠ²ΠΈΡΠ΅Π»ΡΠ½Ρ ΡΠ°ΠΊΠΆΠ΅ Π΄Π»Ρ ΠΏΠ°ΡΠ°ΡΠΈΠ½ΠΎΠ²ΠΎΠ³ΠΎ ΡΠΎΠΏΠ»ΠΈΠ²Π°. ΠΡΠΎ ΠΎΡΠ»ΠΈΡΠ°Π΅ΡΡΡ ΠΎΡ ΠΊΠΈΡΠ»ΠΎΡΠΎΠ΄ΡΠΎΠ΄Π΅ΡΠΆΠ°ΡΠ΅Π³ΠΎ ΡΠΎΠΏΠ»ΠΈΠ²Π°, Π΄Π»Ρ ΠΊΠΎΡΠΎΡΠΎΠ³ΠΎ ΠΌΠΎΠ³ΡΡ ΠΏΠΎΡΡΠ΅Π±ΠΎΠ²Π°ΡΡΡΡ ΡΠΏΠ΅ΡΠΈΠ°Π»ΡΠ½ΡΠ΅ ΠΌΠ΅ΡΠΎΠ΄Ρ.ΠΠ°ΠΏΡΠΈΠΌΠ΅Ρ, ΠΌΠ΅ΡΠΎΠ΄ ΡΡΡΠΎΠΉΡΠΈΠ²ΠΎΡΡΠΈ ΠΊ ΠΎΠΊΠΈΡΠ»Π΅Π½ΠΈΡ Β«RancimatΒ», ΡΠ°Π·ΡΠ°Π±ΠΎΡΠ°Π½Π½ΡΠΉ Π΄Π»Ρ FAME, Π½Π΅ ΠΏΡΠΈΠΌΠ΅Π½ΠΈΠΌ Π΄Π»Ρ ΡΠ³Π»Π΅Π²ΠΎΠ΄ΠΎΡΠΎΠ΄Π½ΠΎΠ³ΠΎ Π΄ΠΈΠ·Π΅Π»ΡΠ½ΠΎΠ³ΠΎ ΡΠΎΠΏΠ»ΠΈΠ²Π°, ΠΏΠΎΡΠΎΠΌΡ ΡΡΠΎ ΡΡΠΎΡ ΡΠ΅ΡΡ ΠΌΠΎΠΆΠ΅Ρ Π½Π΅ Π½Π°ΠΉΡΠΈ ΡΠΎΡΠ½ΠΎΠΉ ΡΠΎΡΠΊΠΈ, ΠΊΠΎΠ³Π΄Π° ΡΠΎΠΏΠ»ΠΈΠ²ΠΎ ΡΠ΅ΡΡΠ΅Ρ ΡΠ²ΠΎΡ ΡΠΏΠΎΡΠΎΠ±Π½ΠΎΡΡΡ ΡΠΎΠΏΡΠΎΡΠΈΠ²Π»ΡΡΡΡΡ ΠΎΠΊΠΈΡΠ»Π΅Π½ΠΈΡ.
Π Π°ΡΡΠ²ΠΎΡΠΈΠΌΠΎΡΡΡ Π²ΠΎΠ΄Ρ Π² ΠΏΠ°ΡΠ°ΡΠΈΠ½ΠΎΠ²ΠΎΠΌ Π΄ΠΈΠ·Π΅Π»ΡΠ½ΠΎΠΌ ΡΠΎΠΏΠ»ΠΈΠ²Π΅ Π°Π½Π°Π»ΠΎΠ³ΠΈΡΠ½Π° ΡΠ°ΡΡΠ²ΠΎΡΠΈΠΌΠΎΡΡΠΈ ΡΡΠ°Π΄ΠΈΡΠΈΠΎΠ½Π½ΠΎΠ³ΠΎ Π΄ΠΈΠ·Π΅Π»ΡΠ½ΠΎΠ³ΠΎ ΡΠΎΠΏΠ»ΠΈΠ²Π° ΠΈΠ»ΠΈ Π΄Π°ΠΆΠ΅ Π½ΠΈΠΆΠ΅, ΠΏΠΎΡΠΊΠΎΠ»ΡΠΊΡ ΠΏΠ°ΡΠ°ΡΠΈΠ½Ρ ΡΠ²Π»ΡΡΡΡΡ Π½Π΅ΠΏΠΎΠ»ΡΡΠ½ΡΠΌΠΈ ΡΠ³Π»Π΅Π²ΠΎΠ΄ΠΎΡΠΎΠ΄Π°ΠΌΠΈ. Π’Π°ΠΊΠΈΠΌ ΠΎΠ±ΡΠ°Π·ΠΎΠΌ, ΠΏΡΠΎΠ±Π»Π΅ΠΌΡ, ΡΠ²ΡΠ·Π°Π½Π½ΡΠ΅ Ρ Π²ΠΎΠ΄ΠΎΠΉ, Π½Π΅ ΡΡΠ΅Π±ΡΡΡ ΠΊΠ°ΠΊΠΈΡ -Π»ΠΈΠ±ΠΎ Π΄ΠΎΠΏΠΎΠ»Π½ΠΈΡΠ΅Π»ΡΠ½ΡΡ ΠΌΠ΅Ρ ΠΏΠΎ ΡΡΠ°Π²Π½Π΅Π½ΠΈΡ Ρ ΡΡΠ°Π΄ΠΈΡΠΈΠΎΠ½Π½ΡΠΌ Π΄ΠΈΠ·Π΅Π»ΡΠ½ΡΠΌ ΡΠΎΠΏΠ»ΠΈΠ²ΠΎΠΌ.(ΠΠΈΠΊΠΊΠΎΠ½Π΅Π½ ΠΈ Π΄Ρ., 2012 Π³.).
Π‘ΠΌΠ°Π·ΡΠ²Π°ΡΡΠ°Ρ ΡΠΏΠΎΡΠΎΠ±Π½ΠΎΡΡΡ
Π‘ΠΌΠ°Π·ΡΠ²Π°ΡΡΠ°Ρ ΡΠΏΠΎΡΠΎΠ±Π½ΠΎΡΡΡ ΠΏΠ°ΡΠ°ΡΠΈΠ½ΠΎΠ²ΠΎΠ³ΠΎ ΡΠΎΠΏΠ»ΠΈΠ²Π° ΡΠΎΠΎΡΠ²Π΅ΡΡΡΠ²ΡΠ΅Ρ ΡΠΌΠ°Π·ΠΎΡΠ½ΠΎΠΉ ΡΠΏΠΎΡΠΎΠ±Π½ΠΎΡΡΠΈ Π·ΠΈΠΌΠ½Π΅Π³ΠΎ Π΄ΠΈΠ·Π΅Π»ΡΠ½ΠΎΠ³ΠΎ ΡΠΎΠΏΠ»ΠΈΠ²Π°, Π½Π΅ ΡΠΎΠ΄Π΅ΡΠΆΠ°ΡΠ΅Π³ΠΎ ΡΠ΅ΡΡ. ΠΠ±Π° ΠΎΠ½ΠΈ Π½ΡΠΆΠ΄Π°ΡΡΡΡ Π² ΡΠΌΠ°Π·ΡΠ²Π°ΡΡΠ΅ΠΉ ΠΏΡΠΈΡΠ°Π΄ΠΊΠ΅, ΡΡΠΎΠ±Ρ Π·Π°ΡΠΈΡΠΈΡΡ ΠΎΠ±ΠΎΡΡΠ΄ΠΎΠ²Π°Π½ΠΈΠ΅ Π΄Π»Ρ Π²ΠΏΡΡΡΠΊΠ° ΡΠΎΠΏΠ»ΠΈΠ²Π° ΠΎΡ ΡΡΠ΅Π·ΠΌΠ΅ΡΠ½ΠΎΠ³ΠΎ ΠΈΠ·Π½ΠΎΡΠ°. Π‘ΠΌΠ°Π·ΡΠ²Π°ΡΡΠΈΠ΅ Π΄ΠΎΠ±Π°Π²ΠΊΠΈ, ΠΎΠ±ΡΡΠ½ΠΎ ΠΈΡΠΏΠΎΠ»ΡΠ·ΡΠ΅ΠΌΡΠ΅ Π² Π΄ΠΈΠ·Π΅Π»ΡΠ½ΠΎΠΌ ΡΠΎΠΏΠ»ΠΈΠ²Π΅, Π΄Π΅ΠΉΡΡΠ²ΡΡΡ ΡΠ°ΠΊΠΆΠ΅ ΠΈ Π² ΠΏΠ°ΡΠ°ΡΠΈΠ½ΠΎΠ²ΠΎΠΌ ΡΠΎΠΏΠ»ΠΈΠ²Π΅, ΡΠ°ΠΊΠΎΠΌ ΠΊΠ°ΠΊ HVO. Π’Π°ΠΊΠΆΠ΅ Π΄ΠΎΠ·ΠΈΡΠΎΠ²ΠΊΠ° ΠΏΡΠΈΡΠ°Π΄ΠΊΠΈ ΠΎΠ±ΡΡΠ½ΠΎ ΠΏΡΠΈΠΌΠ΅ΡΠ½ΠΎ ΡΠ°ΠΊΠ°Ρ ΠΆΠ΅ Π΄Π»Ρ HVO, ΠΈΡΠΏΠΎΠ»ΡΠ·ΡΠ΅ΠΌΠΎΠ³ΠΎ ΠΊΠ°ΠΊ ΡΠ°ΠΊΠΎΠ²Π°Ρ, ΠΊΠ°ΠΊ ΠΈ Π΄Π»Ρ Π·ΠΈΠΌΠ½Π΅Π³ΠΎ Π΄ΠΈΠ·Π΅Π»ΡΠ½ΠΎΠ³ΠΎ ΡΠΎΠΏΠ»ΠΈΠ²Π°.
Π‘ΠΌΠ°Π·ΡΠ²Π°ΡΡΡΡ ΡΠΏΠΎΡΠΎΠ±Π½ΠΎΡΡΡ Π΄ΠΈΠ·Π΅Π»ΡΠ½ΠΎΠ³ΠΎ ΡΠΎΠΏΠ»ΠΈΠ²Π° ΠΎΠ±ΡΡΠ½ΠΎ ΠΎΡΠ΅Π½ΠΈΠ²Π°ΡΡ Ρ ΠΏΠΎΠΌΠΎΡΡΡ ΡΠΏΠ΅ΡΠΈΠ°Π»ΡΠ½ΠΎΠΉ Π½Π΅Π±ΠΎΠ»ΡΡΠΎΠΉ Π»Π°Π±ΠΎΡΠ°ΡΠΎΡΠ½ΠΎΠΉ Π²ΡΡΠΎΠΊΠΎΡΠ°ΡΡΠΎΡΠ½ΠΎΠΉ ΠΏΠΎΡΡΠ½Π΅Π²ΠΎΠΉ ΡΡΡΠ°Π½ΠΎΠ²ΠΊΠΈ (HFRR).ΠΠΎΠ»Π΅Π΅ ΡΠ΅Π°Π»ΠΈΡΡΠΈΡΠ½ΡΠΉ 1000-ΡΠ°ΡΠΎΠ²ΠΎΠΉ ΠΏΡΠΎΠ±Π½ΡΠΉ Π·Π°ΠΏΡΡΠΊ Ρ ΡΠΎΠΏΠ»ΠΈΠ²Π½ΡΠΌ Π½Π°ΡΠΎΡΠΎΠΌ Π²ΠΏΡΡΡΠΊΠ° ΡΠ°ΡΠΏΡΠ΅Π΄Π΅Π»ΠΈΡΠ΅Π»ΡΠ½ΠΎΠ³ΠΎ ΡΠΈΠΏΠ° Π±ΡΠ» ΡΠ°ΠΊΠΆΠ΅ ΠΏΡΠΎΠ²Π΅Π΄Π΅Π½ Π΄Π»Ρ ΠΏΠ°ΡΠ°ΡΠΈΠ½ΠΎΠ²ΠΎΠ³ΠΎ Π΄ΠΈΠ·Π΅Π»ΡΠ½ΠΎΠ³ΠΎ ΡΠΎΠΏΠ»ΠΈΠ²Π° HVO. ΠΡΠΎΡ ΡΠ΅ΡΡ ΠΎΡΠ½ΠΎΠ²Π°Π½ Π½Π° ΠΏΡΠΎΡΠ΅Π΄ΡΡΠ΅ CEC / Bosch, ΠΊΠΎΡΠΎΡΠ°Ρ Π·Π°ΠΏΡΡΠΊΠ°Π΅Ρ Π½Π°ΡΠΎΡ ΡΠΈΠΏΠ° VE Ρ ΡΠΎΡΡΡΠ½ΠΊΠ°ΠΌΠΈ ΠΎΡ ΡΠ»Π΅ΠΊΡΡΠΎΠ΄Π²ΠΈΠ³Π°ΡΠ΅Π»Ρ ΠΏΡΠΈ ΠΏΠ΅ΡΠ΅ΠΌΠ΅Π½Π½ΡΡ Π½Π°Π³ΡΡΠ·ΠΊΠ°Ρ ΠΈ ΡΠ΅ΠΌΠΏΠ΅ΡΠ°ΡΡΡΠ΅ ΡΠΎΠΏΠ»ΠΈΠ²Π° +60 Β° C. ΠΠ»Ρ ΠΈΡΠΏΡΡΠ°Π½ΠΈΡ HVO ΠΎΠ±ΡΠ°Π±Π°ΡΡΠ²Π°Π»ΠΈ ΠΌΠΈΠ½ΠΈΠΌΠ°Π»ΡΠ½ΠΎΠΉ Π΄ΠΎΠ·ΠΈΡΠΎΠ²ΠΊΠΎΠΉ ΡΠΌΠ°Π·ΡΠ²Π°ΡΡΠ΅ΠΉ Π΄ΠΎΠ±Π°Π²ΠΊΠΈ Π΄Π»Ρ Π΄ΠΎΡΡΠΈΠΆΠ΅Π½ΠΈΡ ΠΏΡΠ΅Π΄Π΅Π»Π° HFRR. ΠΠΎΡΠ»Π΅ 1000 ΡΠ°ΡΠΎΠ² ΠΈΡΠΏΡΡΠ°Π½ΠΈΡ Π²ΡΠ΅ Π²Π½ΡΡΡΠ΅Π½Π½ΠΈΠ΅ ΡΠ°ΡΡΠΈ Π½Π°ΡΠΎΡΠ° Π±ΡΠ»ΠΈ Π² Ρ ΠΎΡΠΎΡΠ΅ΠΌ ΡΠΎΡΡΠΎΡΠ½ΠΈΠΈ, ΠΈ ΠΎΠ±ΡΠΈΠΉ ΡΠ΅ΠΉΡΠΈΠ½Π³ ΠΏΡΠ΅Π²ΡΡΠΈΠ» ΠΏΡΠ΅Π΄Π΅Π».Π ΠΈΡΠΏΡΡΠ°Π½ΠΈΠΈ ΠΈΡΠΏΠΎΠ»ΡΠ·ΠΎΠ²Π°Π»ΠΈΡΡ ΡΠ°ΡΠΏΡΠ΅Π΄Π΅Π»ΠΈΡΠ΅Π»ΡΠ½ΡΠ΅ Π½Π°ΡΠΎΡΡ, ΠΏΠΎΡΠΊΠΎΠ»ΡΠΊΡ ΠΎΠ½ΠΈ ΡΡΠ²ΡΡΠ²ΠΈΡΠ΅Π»ΡΠ½Ρ ΠΊ ΡΠΌΠ°Π·ΡΠ²Π°ΡΡΠΈΠΌ ΡΠ²ΠΎΠΉΡΡΠ²Π°ΠΌ ΡΠΎΠΏΠ»ΠΈΠ²Π°. ΠΡΠΎ ΠΈΡΠΏΡΡΠ°Π½ΠΈΠ΅ Π½Π°ΡΠΎΡΠ° Π΄Π°Π΅Ρ Π΄ΠΎΠΏΠΎΠ»Π½ΠΈΡΠ΅Π»ΡΠ½ΡΡ ΡΠ²Π΅ΡΠ΅Π½Π½ΠΎΡΡΡ Π² ΡΠΌΠ°Π·ΡΠ²Π°ΡΡΠ΅ΠΉ ΡΠΏΠΎΡΠΎΠ±Π½ΠΎΡΡΠΈ HVO, ΠΎΠ±ΡΠ°Π±ΠΎΡΠ°Π½Π½ΠΎΠ³ΠΎ ΡΠΌΠ°Π·ΡΠ²Π°ΡΡΠ΅ΠΉ ΠΏΡΠΈΡΠ°Π΄ΠΊΠΎΠΉ. (ΠΠΈΠΊΠΊΠΎΠ½Π΅Π½ ΠΈ Π΄Ρ., 2012 Π³.).
ΠΠ·ΠΌΠ΅ΡΠ΅Π½ΠΈΠ΅ Π±ΠΈΠΎΡΠΎΠ΄Π΅ΡΠΆΠ°Π½ΠΈΡ Π² ΡΠΎΠΏΠ»ΠΈΠ²Π΅
ΠΠ°ΡΠ°ΡΠΈΠ½ΠΎΠ²ΡΠ΅ ΡΠ³Π»Π΅Π²ΠΎΠ΄ΠΎΡΠΎΠ΄Ρ Π΅ΡΡΠ΅ΡΡΠ²Π΅Π½Π½ΡΠΌ ΠΎΠ±ΡΠ°Π·ΠΎΠΌ ΠΏΡΠΈΡΡΡΡΡΠ²ΡΡΡ Π² ΡΡΠ°Π΄ΠΈΡΠΈΠΎΠ½Π½ΠΎΠΌ ΠΈΡΠΊΠΎΠΏΠ°Π΅ΠΌΠΎΠΌ Π΄ΠΈΠ·Π΅Π»ΡΠ½ΠΎΠΌ ΡΠΎΠΏΠ»ΠΈΠ²Π΅. Π‘Π»Π΅Π΄ΠΎΠ²Π°ΡΠ΅Π»ΡΠ½ΠΎ, ΠΈΠ·ΠΌΠ΅ΡΠ΅Π½ΠΈΠ΅ ΡΠΎΠ΄Π΅ΡΠΆΠ°Π½ΠΈΡ ΠΏΠ°ΡΠ°ΡΠΈΠ½ΠΎΠ² Π±ΠΈΠΎΠ»ΠΎΠ³ΠΈΡΠ΅ΡΠΊΠΎΠ³ΠΎ ΠΏΡΠΎΠΈΡΡ ΠΎΠΆΠ΄Π΅Π½ΠΈΡ (HVO, BTL) Π² Π΄ΠΈΠ·Π΅Π»ΡΠ½ΠΎΠΌ ΡΠΎΠΏΠ»ΠΈΠ²Π΅ ΡΠ²Π»ΡΠ΅ΡΡΡ ΡΠ»ΠΎΠΆΠ½ΠΎΠΉ Π·Π°Π΄Π°ΡΠ΅ΠΉ. Π‘ΠΎΠ΄Π΅ΡΠΆΠ°Π½ΠΈΠ΅ Π±ΠΈΠΎΠΏΠ°ΡΠ°ΡΠΈΠ½Π° Π² ΡΠΌΠ΅ΡΠΈ ΠΎΠΏΡΠ΅Π΄Π΅Π»ΡΠ΅ΡΡΡ Π½Π° ΠΎΡΠ½ΠΎΠ²Π°Π½ΠΈΠΈ Π΄Π΅ΠΊΠ»Π°ΡΠ°ΡΠΈΠΈ ΠΈ Π±ΡΡ Π³Π°Π»ΡΠ΅ΡΡΠΊΠΎΠ³ΠΎ ΡΡΠ΅ΡΠ° ΠΏΡΠΎΠ΄Π°Π²ΡΠ°.ΠΡΠ»ΠΈ ΠΈΠ·Π²Π΅ΡΡΠ½Ρ ΡΠ΅Π·ΡΠ»ΡΡΠ°ΡΡ Π°Π½Π°Π»ΠΈΠ·Π° ΠΎΠ±ΠΎΠΈΡ ΠΊΠΎΠΌΠΏΠΎΠ½Π΅Π½ΡΠΎΠ² ΡΠΌΠ΅ΡΠΈ, Π½Π°ΠΏΡΠΈΠΌΠ΅Ρ ΠΏΠ»ΠΎΡΠ½ΠΎΡΡΡ, ΡΠΎΠΎΡΠ½ΠΎΡΠ΅Π½ΠΈΠ΅ ΠΌΠΎΠΆΠ½ΠΎ ΠΎΡΠ΅Π½ΠΈΡΡ ΡΠ°ΡΡΠ΅ΡΠ½ΡΠΌ ΠΏΡΡΠ΅ΠΌ.
ΠΡΠΈ Π½Π΅ΠΎΠ±Ρ ΠΎΠ΄ΠΈΠΌΠΎΡΡΠΈ ΡΠΎΠ΄Π΅ΡΠΆΠ°Π½ΠΈΠ΅ Π±ΠΈΠΎΠΏΠ°ΡΠ°ΡΠΈΠ½ΠΎΠ² Π² ΡΠΌΠ΅ΡΠΈ Π΄ΠΈΠ·Π΅Π»ΡΠ½ΠΎΠ³ΠΎ ΡΠΎΠΏΠ»ΠΈΠ²Π° ΠΌΠΎΠΆΠ½ΠΎ ΠΎΠΏΡΠ΅Π΄Π΅Π»ΠΈΡΡ Ρ ΠΏΠΎΠΌΠΎΡΡΡ ΠΈΠ·ΠΎΡΠΎΠΏΠ½ΡΡ ΠΌΠ΅ΡΠΎΠ΄ΠΎΠ² 14 C, ΠΊΠΎΡΠΎΡΡΠ΅ ΡΠ°ΠΊΠΆΠ΅ ΠΈΡΠΏΠΎΠ»ΡΠ·ΡΡΡΡΡ, Π½Π°ΠΏΡΠΈΠΌΠ΅Ρ, Π΄Π»Ρ Π°ΡΡ Π΅ΠΎΠ»ΠΎΠ³ΠΈΡΠ΅ΡΠΊΠΈΡ ΠΈΡΡΠ»Π΅Π΄ΠΎΠ²Π°Π½ΠΈΠΉ. CO 2 Π² Π°ΡΠΌΠΎΡΡΠ΅ΡΠ΅ ΡΠΎΠ΄Π΅ΡΠΆΠΈΡ Π½Π΅ΡΡΠ°Π±ΠΈΠ»ΡΠ½ΡΠ΅ ΠΈΠ·ΠΎΡΠΎΠΏΡ ΡΠ³Π»Π΅ΡΠΎΠ΄Π° 14 C ΠΈ ΡΡΠ°Π±ΠΈΠ»ΡΠ½ΡΠ΅ 12 C ΠΈΠ·ΠΎΡΠΎΠΏΠΎΠ² ΡΠ³Π»Π΅ΡΠΎΠ΄Π° Π² ΡΠΈΠΊΡΠΈΡΠΎΠ²Π°Π½Π½ΠΎΠΌ ΡΠΎΠΎΡΠ½ΠΎΡΠ΅Π½ΠΈΠΈ, ΡΠ°ΠΊΠΎΠ΅ ΠΆΠ΅ ΡΠΎΠΎΡΠ½ΠΎΡΠ΅Π½ΠΈΠ΅ Π½Π°Π±Π»ΡΠ΄Π°Π΅ΡΡΡ Ρ ΠΆΠΈΠ²ΡΡ ΡΠ°ΡΡΠ΅Π½ΠΈΠΉ ΠΈ ΠΆΠΈΠ²ΠΎΡΠ½ΡΡ . ΠΠ΅ΡΠΈΠΎΠ΄ ΠΏΠΎΠ»ΡΡΠ°ΡΠΏΠ°Π΄Π° 14 C ΡΠΎΡΡΠ°Π²Π»ΡΠ΅Ρ 5730 Π»Π΅Ρ, ΡΡΠΎ ΠΌΠΎΠΆΠ½ΠΎ ΠΈΡΠΏΠΎΠ»ΡΠ·ΠΎΠ²Π°ΡΡ Π΄Π»Ρ Π΄ΠΈΡΡΠ΅ΡΠ΅Π½ΡΠΈΠ°ΡΠΈΠΈ ΠΈΡΠΊΠΎΠΏΠ°Π΅ΠΌΠΎΠ³ΠΎ ΠΈ Π²ΠΎΠ·ΠΎΠ±Π½ΠΎΠ²Π»ΡΠ΅ΠΌΠΎΠ³ΠΎ ΡΠ³Π»Π΅ΡΠΎΠ΄Π°.ΠΡΠΈΠ½ΡΠΈΠΏΡ ΠΌΠΎΠΆΠ½ΠΎ Π½Π°ΠΉΡΠΈ Π² ΡΡΠ°Π½Π΄Π°ΡΡΠ΅ ASTM D 6866. 14 C ΠΠ΅ΡΠΎΠ΄Ρ Π½Π΅ ΠΎΡΠ½ΠΎΡΡΡΡΡ ΠΊ ΠΏΠΎΠ²ΡΠ΅Π΄Π½Π΅Π²Π½ΠΎΠΉ Π»Π°Π±ΠΎΡΠ°ΡΠΎΡΠ½ΠΎΠΉ ΠΏΡΠ°ΠΊΡΠΈΠΊΠ΅ Π½Π΅ΡΡΡΠ½ΡΡ ΠΊΠΎΠΌΠΏΠ°Π½ΠΈΠΉ ΠΈΠ»ΠΈ ΠΎΡΠ³Π°Π½ΠΎΠ² Π²Π»Π°ΡΡΠΈ, Π½ΠΎ ΠΈΡ ΠΌΠΎΠΆΠ½ΠΎ ΠΈΡΠΏΠΎΠ»ΡΠ·ΠΎΠ²Π°ΡΡ, Π½Π°ΠΏΡΠΈΠΌΠ΅Ρ, Π² ΠΊΠΎΠ½ΡΡΠΎΠ»ΡΠ½ΡΡ ΠΏΡΠΎΠ²Π΅ΡΠΊΠ°Ρ . ΠΠ²ΡΠΎΠΏΠ΅ΠΉΡΠΊΠ°Ρ ΡΠ°ΠΌΠΎΠΆΠ΅Π½Π½Π°Ρ Π°Π΄ΠΌΠΈΠ½ΠΈΡΡΡΠ°ΡΠΈΡ Π½Π°ΡΠ°Π»Π° ΠΊΡΡΠ³ΠΎΠ²ΠΎΠ΅ ΡΠ΅ΡΡΠΈΡΠΎΠ²Π°Π½ΠΈΠ΅ Ρ ΠΈΡΠΏΠΎΠ»ΡΠ·ΠΎΠ²Π°Π½ΠΈΠ΅ΠΌ ΡΡΠΈΡ ΠΌΠ΅ΡΠΎΠ΄ΠΎΠ².
ΠΡΠ»ΠΈ ΠΎΠ±ΡΠ°Π·Π΅Ρ ΡΠΎΠ΄Π΅ΡΠΆΠΈΡ ΠΊΠ°ΠΊ FAME, ΡΠ°ΠΊ ΠΈ Π±ΠΈΠΎΠΏΠ°ΡΠ°ΡΠΈΠ½Ρ (HVO), ΠΊΠΎΠ»ΠΈΡΠ΅ΡΡΠ²ΠΎ FAME ΠΈΠ·ΠΌΠ΅ΡΡΠ΅ΡΡΡ ΡΡΠ°Π΄ΠΈΡΠΈΠΎΠ½Π½ΡΠΌΠΈ ΠΌΠ΅ΡΠΎΠ΄Π°ΠΌΠΈ ΠΈ Π²ΡΡΠΈΡΠ°Π΅ΡΡΡ ΠΈΠ· ΠΎΠ±ΡΠ΅Π³ΠΎ Π±ΠΈΠΎΡΠΎΠ΄Π΅ΡΠΆΠ°Π½ΠΈΡ, ΡΡΠΎΠ±Ρ ΠΎΠΏΡΠ΅Π΄Π΅Π»ΠΈΡΡ ΡΠΎΠ΄Π΅ΡΠΆΠ°Π½ΠΈΠ΅ HVO.(ΠΠΈΠΊΠΊΠΎΠ½Π΅Π½ ΠΈ Π΄Ρ., 2012 Π³.).
Π‘ΡΠ°Π²Π½Π΅Π½ΠΈΠ΅ Ρ Π°ΡΠ°ΠΊΡΠ΅ΡΠΈΡΡΠΈΠΊ ΡΡΠ°Π±ΠΈΠ»ΡΠ½ΠΎΡΡΠΈ ΡΠΌΠ΅ΡΠ΅ΠΉ ΠΏΠ°ΡΠ°ΡΠΈΠ½ΠΎΠ²ΠΎΠ³ΠΎ Π΄ΠΈΠ·Π΅Π»ΡΠ½ΠΎΠ³ΠΎ ΡΠΎΠΏΠ»ΠΈΠ²Π° ΠΈ Π½Π΅ΡΡΡΠ½ΠΎΠ³ΠΎ Π΄ΠΈΠ·Π΅Π»ΡΠ½ΠΎΠ³ΠΎ ΡΠΎΠΏΠ»ΠΈΠ²Π° Ρ Π±ΠΈΠΎΠ΄ΠΈΠ·Π΅Π»Π΅ΠΌ RME Ρ ΠΈΡΠΏΠΎΠ»ΡΠ·ΠΎΠ²Π°Π½ΠΈΠ΅ΠΌ Π»Π°Π±ΠΎΡΠ°ΡΠΎΡΠ½ΡΡ ΠΌΠ΅ΡΠΎΠ΄ΠΎΠ² ΠΈΠ·ΠΌΠ΅ΡΠ΅Π½ΠΈΡ ΡΡΠ°Π±ΠΈΠ»ΡΠ½ΠΎΡΡΠΈ
Π 2012 Π³ΠΎΠ΄Ρ Π±ΡΠ»Π° ΡΡΠ²Π΅ΡΠΆΠ΄Π΅Π½Π° Π½ΠΎΠ²Π°Ρ ΡΠΏΠ΅ΡΠΈΡΠΈΠΊΠ°ΡΠΈΡ ΡΠΈΠ½ΡΠ΅ΡΠΈΡΠ΅ΡΠΊΠΎΠ³ΠΎ ΡΠΎΠΏΠ»ΠΈΠ²Π°, ΡΠΎΠ΄Π΅ΡΠΆΠ°ΡΠ΅Π³ΠΎ Π΄ΠΎ 7% Π±ΠΈΠΎΠ΄ΠΈΠ·Π΅Π»Ρ (FAME) (CEN Π’Π‘ 15940). ΠΡΠ° ΡΠΏΠ΅ΡΠΈΡΠΈΠΊΠ°ΡΠΈΡ ΠΏΠΎΠ·Π²ΠΎΠ»ΡΠ΅Ρ ΠΏΡΠΎΠ΄Π°Π²Π°ΡΡ ΡΠΈΡΡΠΎΠ΅ ΠΏΠ°ΡΠ°ΡΠΈΠ½ΠΎΠ²ΠΎΠ΅ Π΄ΠΈΠ·Π΅Π»ΡΠ½ΠΎΠ΅ ΡΠΎΠΏΠ»ΠΈΠ²ΠΎ, ΡΠ°ΠΊΠΎΠ΅ ΠΊΠ°ΠΊ Π΄ΠΈΠ·Π΅Π»ΡΠ½ΠΎΠ΅ ΡΠΎΠΏΠ»ΠΈΠ²ΠΎ, ΡΠ°Π±ΠΎΡΠ°ΡΡΠ΅Π΅ Π½Π° ΠΆΠΈΠ΄ΠΊΠΎΠΌ ΡΠΎΠΏΠ»ΠΈΠ²Π΅ (GTL), Π΄Π»Ρ ΠΎΠ±ΡΠ»ΡΠΆΠΈΠ²Π°Π΅ΠΌΡΡ Π°Π²ΡΠΎΠΏΠ°ΡΠΊΠΎΠ² Π² ΠΠ²ΡΠΎΠΏΠ΅. Π ΠΊΠΎΠ½Π΅ΡΠ½ΠΎΠΌ ΠΊΠΎΠ½Π΅ΡΠ½ΠΎΠΌ ΠΏΡΠΈΠΌΠ΅Π½Π΅Π½ΠΈΠΈ Π²Π°ΠΆΠ½Ρ Π½Π΅ΡΠΊΠΎΠ»ΡΠΊΠΎ Π°ΡΠΏΠ΅ΠΊΡΠΎΠ², Π²ΠΊΠ»ΡΡΠ°Ρ ΡΡΠ°Π±ΠΈΠ»ΡΠ½ΠΎΡΡΡ ΡΠΎΠΏΠ»ΠΈΠ²Π°.Π ΡΠ΅ΠΊΡΡΠ΅ΠΌ ΠΈΡΡΠ»Π΅Π΄ΠΎΠ²Π°Π½ΠΈΠΈ ΠΎΡΠ΅Π½ΠΈΠ²Π°Π»Π°ΡΡ ΡΡΠ°Π±ΠΈΠ»ΡΠ½ΠΎΡΡΡ ΡΠΈΡΡΠΎΠ³ΠΎ GTL Π΄ΠΈΠ·Π΅Π»ΡΠ½ΠΎΠ³ΠΎ ΡΠΎΠΏΠ»ΠΈΠ²Π° ΠΈ ΡΠΌΠ΅ΡΠ΅ΠΉ FAME / ΠΏΠ°ΡΠ°ΡΠΈΠ½ΠΎΠ²ΠΎΠ³ΠΎ ΡΠΎΠΏΠ»ΠΈΠ²Π° Ρ ΠΏΠΎΠΌΠΎΡΡΡ ΡΡΠ°Π½Π΄Π°ΡΡΠ½ΡΡ Π»Π°Π±ΠΎΡΠ°ΡΠΎΡΠ½ΡΡ ΡΠ΅ΡΡΠΎΠ² ΡΡΠ°Π±ΠΈΠ»ΡΠ½ΠΎΡΡΠΈ, ΠΎΠ±ΡΡΠ½ΠΎ ΠΈΡΠΏΠΎΠ»ΡΠ·ΡΠ΅ΠΌΡΡ Π΄Π»Ρ ΠΈΠ·ΡΡΠ΅Π½ΠΈΡ ΡΠΎΠΏΠ»ΠΈΠ²Π°, ΠΏΠΎΠ»ΡΡΠ΅Π½Π½ΠΎΠ³ΠΎ ΠΈΠ· Π½Π΅ΡΡΠΈ. Π‘ΡΠ°Π±ΠΈΠ»ΡΠ½ΠΎΡΡΡ Π΄ΠΈΠ·Π΅Π»ΡΠ½ΠΎΠ³ΠΎ ΡΠΎΠΏΠ»ΠΈΠ²Π° GTL, ΡΠΎΠ΄Π΅ΡΠΆΠ°ΡΠ΅Π³ΠΎ Π±ΠΈΠΎΠ΄ΠΈΠ·Π΅Π»ΡΠ½ΠΎΠ΅ ΡΠΎΠΏΠ»ΠΈΠ²ΠΎ, ΠΎΡΠ΅Π½ΠΈΠ²Π°Π»ΠΈ Ρ ΠΏΠΎΠΌΠΎΡΡΡ ΡΠ΅ΡΡΠΎΠ² Rancimat, PetroOxy ΠΈ ASTMD2274. ΠΡΠΎΠ±ΡΠ°Π½Π½ΡΠ΅ ΠΎΠ±ΡΠ°Π·ΡΡ ΡΠ°ΠΊΠΆΠ΅ ΠΎΡΠ΅Π½ΠΈΠ²Π°Π»ΠΈΡΡ Ρ ΠΈΡΠΏΠΎΠ»ΡΠ·ΠΎΠ²Π°Π½ΠΈΠ΅ΠΌ ASTM D5304. Π Π΅Π·ΡΠ»ΡΡΠ°ΡΡ Rancimat ΠΏΠΎΠΊΠ°Π·Π°Π»ΠΈ, ΡΡΠΎ Π΄ΠΈΠ·Π΅Π»ΡΠ½ΡΠ΅ ΡΠΌΠ΅ΡΠΈ FAME / GTL ΡΠ°Π±ΠΎΡΠ°ΡΡ Π°Π½Π°Π»ΠΎΠ³ΠΈΡΠ½ΠΎ ΡΠΎΠΏΠ»ΠΈΠ²Π½ΡΠΌ ΡΠΌΠ΅ΡΡΠΌ, ΠΏΠΎΠ»ΡΡΠ΅Π½Π½ΡΠΌ ΠΈΠ· FAME / Π½Π΅ΡΡΠΈ. Π ΡΠ΅ΡΡΠ΅ PetroOxy Π΄ΠΎΠ±Π°Π²Π»Π΅Π½ΠΈΠ΅ Π±ΠΎΠ»Π΅Π΅ 2 ΠΎΠ±.% ΠΡΡΠΎΠΊΠΎΡΡΠ°Π±ΠΈΠ»ΡΠ½ΠΎΠ³ΠΎ FAME ΠΏΡΠΈΠ²Π΅Π»ΠΎ ΠΊ Π½Π΅ΠΎΠΆΠΈΠ΄Π°Π½Π½ΠΎΠΌΡ ΠΏΠΎΠ²ΡΡΠ΅Π½ΠΈΡ ΡΡΠ°Π±ΠΈΠ»ΡΠ½ΠΎΡΡΠΈ Π΄ΠΈΠ·Π΅Π»ΡΠ½ΠΎΠΉ ΡΠΌΠ΅ΡΠΈ FAME / GTL.Π Π΅Π·ΡΠ»ΡΡΠ°ΡΡ ASTM D2274 ΠΎΠ±ΡΡΠ½ΠΎ Π½Π΅ΡΡΠ²ΡΡΠ²ΠΈΡΠ΅Π»ΡΠ½Ρ ΠΊ Π΄ΠΎΠ±Π°Π²Π»Π΅Π½ΠΈΡ FAME. ΠΡΠ»Π° ΠΏΡΠΎΠ²Π΅Π΄Π΅Π½Π° ΠΎΡΠ΅Π½ΠΊΠ° ΠΊΠΎΡΡΠ΅Π»ΡΡΠΈΠΈ ΠΌΠ΅ΠΆΠ΄Ρ ΡΠ΅ΡΡΠ°ΠΌΠΈ PetroOxy ΠΈ Rancimant, ΠΊΠΎΡΠΎΡΡΠ΅ ΠΎΠΊΠ°Π·Π°Π»ΠΈΡΡ Π·Π°Π²ΠΈΡΠΈΠΌΡΠΌΠΈ ΠΎΡ Π±Π°Π·ΠΎΠ²ΠΎΠ³ΠΎ ΡΠΎΠΏΠ»ΠΈΠ²Π°. ΠΠ· ΡΡΠΎΠ³ΠΎ ΠΈΡΡΠ»Π΅Π΄ΠΎΠ²Π°Π½ΠΈΡ Π±ΡΠ» ΡΠ΄Π΅Π»Π°Π½ Π²ΡΠ²ΠΎΠ΄, ΡΡΠΎ Π΄ΠΈΠ·Π΅Π»ΡΠ½ΠΎΠ΅ ΡΠΎΠΏΠ»ΠΈΠ²ΠΎ GTL (Π² ΡΠΌΠ΅ΡΡΡ Ρ FAME) ΡΠ°Π±ΠΎΡΠ°Π΅Ρ Π°Π½Π°Π»ΠΎΠ³ΠΈΡΠ½ΠΎ ΡΡΠ°Π»ΠΎΠ½Π½ΡΠΌ ΡΠΎΠΏΠ»ΠΈΠ²Π°ΠΌ, ΠΏΠΎΠ»ΡΡΠ΅Π½Π½ΡΠΌ ΠΈΠ· Π½Π΅ΡΡΠΈ, ΠΏΠΎ ΡΡΠ°Π½Π΄Π°ΡΡΠ½ΠΎΠΉ Π»Π°Π±ΠΎΡΠ°ΡΠΎΡΠ½ΠΎΠΉ ΡΡΠ°Π±ΠΈΠ»ΡΠ½ΠΎΡΡΠΈ.
1. Π‘ΠΏΡΠ°Π²ΠΎΡΠ½Π°Ρ ΠΈΠ½ΡΠΎΡΠΌΠ°ΡΠΈΡ
1.1. ΠΠ±ΡΠ΅Π΅ Π²Π²Π΅Π΄Π΅Π½ΠΈΠ΅
ΠΠΈΠ·Π΅Π»ΡΠ½ΠΎΠ΅ ΡΠΎΠΏΠ»ΠΈΠ²ΠΎ ΡΠ²Π»ΡΠ΅ΡΡΡ Π²Π°ΠΆΠ½ΡΠΌ ΡΡΠ°Π½ΡΠΏΠΎΡΡΠ½ΡΠΌ ΡΠΎΠΏΠ»ΠΈΠ²ΠΎΠΌ, ΠΈ Π² Π½Π΅ΠΊΠΎΡΠΎΡΡΡ ΡΡΡΠ°Π½Π°Ρ ΡΠΏΡΠΎΡ Π½Π° Π΄ΠΈΠ·Π΅Π»ΡΠ½ΠΎΠ΅ ΡΠΎΠΏΠ»ΠΈΠ²ΠΎ Π½Π°ΠΌΠ½ΠΎΠ³ΠΎ ΠΏΡΠ΅Π²ΡΡΠ°Π΅Ρ ΡΠΏΡΠΎΡ Π½Π° Π±Π΅Π½Π·ΠΈΠ½ (Π±Π΅Π½Π·ΠΈΠ½) [1].ΠΠΈΠ·Π΅Π»ΡΠ½ΡΠ΅ Π΄Π²ΠΈΠ³Π°ΡΠ΅Π»ΠΈ Π·Π°Π²ΠΎΠ΅Π²Π°Π»ΠΈ ΠΏΠΎΠΏΡΠ»ΡΡΠ½ΠΎΡΡΡ ΠΏΠΎ ΡΡΠ°Π²Π½Π΅Π½ΠΈΡ Ρ Π±Π΅Π½Π·ΠΈΠ½ΠΎΠ²ΡΠΌΠΈ Π΄Π²ΠΈΠ³Π°ΡΠ΅Π»ΡΠΌΠΈ ΠΈΠ·-Π·Π° Π±ΠΎΠ»Π΅Π΅ Π½ΠΈΠ·ΠΊΠΎΠ³ΠΎ ΡΠ°ΡΡ ΠΎΠ΄Π° ΡΠΎΠΏΠ»ΠΈΠ²Π° ΠΈΠ·-Π·Π° Π±ΠΎΠ»Π΅Π΅ Π²ΡΡΠΎΠΊΠΎΠ³ΠΎ ΡΠ΅ΠΏΠ»ΠΎΠ²ΠΎΠ³ΠΎ ΠΠΠ ΠΈ Π±ΠΎΠ»Π΅Π΅ Π²ΡΡΠΎΠΊΠΎΠΉ ΠΎΠ±ΡΠ΅ΠΌΠ½ΠΎΠΉ ΠΏΠ»ΠΎΡΠ½ΠΎΡΡΠΈ ΡΠ½Π΅ΡΠ³ΠΈΠΈ Π΄ΠΈΠ·Π΅Π»ΡΠ½ΠΎΠ³ΠΎ ΡΠΎΠΏΠ»ΠΈΠ²Π° [2]. Π‘ΡΠ°Π±ΠΈΠ»ΡΠ½ΠΎΡΡΡ Π΄ΠΈΠ·Π΅Π»ΡΠ½ΠΎΠ³ΠΎ ΡΠΎΠΏΠ»ΠΈΠ²Π° ΠΈΠΌΠ΅Π΅Ρ ΡΠ΅ΡΠ°ΡΡΠ΅Π΅ Π·Π½Π°ΡΠ΅Π½ΠΈΠ΅ Π΄Π»Ρ ΠΎΠ±Π΅ΡΠΏΠ΅ΡΠ΅Π½ΠΈΡ Π±Π΅ΡΠΏΡΠΎΠ±Π»Π΅ΠΌΠ½ΠΎΠ³ΠΎ ΠΈΡΠΏΠΎΠ»ΡΠ·ΠΎΠ²Π°Π½ΠΈΡ Π½Π° ΡΡΠ½ΠΊΠ΅. ΠΠ΅ΠΊΠΎΡΠΎΡΡΠ΅ ΠΈΠ· ΠΏΠΎΠ΄Ρ ΠΎΠ΄ΠΎΠ² ΠΊ ΠΎΠ±Π΅ΡΠΏΠ΅ΡΠ΅Π½ΠΈΡ ΡΠΎΠ³ΠΎ, ΡΡΠΎΠ±Ρ Π΄ΠΈΠ·Π΅Π»ΡΠ½ΠΎΠ΅ ΡΠΎΠΏΠ»ΠΈΠ²ΠΎ ΡΠΎΡ ΡΠ°Π½ΡΠ»ΠΎ ΡΠ²ΠΎΠΈ ΡΠ²ΠΎΠΉΡΡΠ²Π° Π²ΠΎ Π²ΡΠ΅ΠΌΡ ΠΈΡΠΏΠΎΠ»ΡΠ·ΠΎΠ²Π°Π½ΠΈΡ, Π²ΠΊΠ»ΡΡΠ°ΡΡ ΡΡΡΠΎΠ³ΠΈΠ΅ ΠΏΡΠΎΠΈΠ·Π²ΠΎΠ΄ΡΡΠ²Π΅Π½Π½ΡΠ΅ ΡΠΏΠ΅ΡΠΈΡΠΈΠΊΠ°ΡΠΈΠΈ (ΠΎΠ³ΡΠ°Π½ΠΈΡΠ΅Π½ΠΈΠ΅ Π·Π°Π³ΡΡΠ·Π½ΡΡΡΠΈΡ Π²Π΅ΡΠ΅ΡΡΠ²), Π΄ΠΎΠ±Π°Π²Π»Π΅Π½ΠΈΠ΅ Π°Π½ΡΠΈΠΎΠΊΡΠΈΠ΄Π°Π½ΡΠΎΠ² (ΠΎΡΠΎΠ±Π΅Π½Π½ΠΎ Π² Π±ΠΈΠΎΠ΄ΠΈΠ·Π΅Π»ΡΠ½ΠΎΠ΅ ΡΠΎΠΏΠ»ΠΈΠ²ΠΎ) ΠΈ Π½Π°Π΄Π»Π΅ΠΆΠ°ΡΡΡ ΡΠ±ΠΎΡΠΊΡ Π²ΠΎ Π²ΡΠ΅ΠΌΡ Ρ ΡΠ°Π½Π΅Π½ΠΈΡ ΠΈ ΠΈΡΠΏΠΎΠ»ΡΠ·ΠΎΠ²Π°Π½ΠΈΡ.ΠΠΈΠ·Π΅Π»ΠΈ, ΠΏΠΎΠ»ΡΡΠ΅Π½Π½ΡΠ΅ ΠΈΠ· Π½Π΅ΡΡΠΈ, ΠΊΠ°ΠΊ ΠΏΡΠ°Π²ΠΈΠ»ΠΎ, ΠΎΡΠ΅Π½Ρ ΡΡΠ°Π±ΠΈΠ»ΡΠ½Ρ ΠΈ Π±ΡΠ΄ΡΡ ΠΎΡΡΠ°Π²Π°ΡΡΡΡ ΡΡΠ°Π±ΠΈΠ»ΡΠ½ΡΠΌΠΈ Π² ΡΠ΅ΡΠ΅Π½ΠΈΠ΅ Π½Π΅ΡΠΊΠΎΠ»ΡΠΊΠΈΡ Π»Π΅Ρ, Π² Π·Π°Π²ΠΈΡΠΈΠΌΠΎΡΡΠΈ ΠΎΡ ΡΡΠ»ΠΎΠ²ΠΈΠΉ Ρ ΡΠ°Π½Π΅Π½ΠΈΡ [3]. Π ΠΏΠΎΡΠ»Π΅Π΄Π½ΠΈΠ΅ Π³ΠΎΠ΄Ρ ΡΠΈΡΡΠ°ΡΠΈΡ Ρ ΡΠΎΠΏΠ»ΠΈΠ²ΠΎΠΌ ΡΠ΅Π·ΠΊΠΎ ΠΈΠ·ΠΌΠ΅Π½ΠΈΠ»Π°ΡΡ, ΠΈ Π² Π΄ΠΈΠ·Π΅Π»ΡΠ½ΡΠΉ Π±Π°ΡΡΠ΅ΠΉΠ½ ΠΏΠΎΠΏΠ°Π»ΠΈ Π½Π΅ΡΠΊΠΎΠ»ΡΠΊΠΎ Π°Π»ΡΡΠ΅ΡΠ½Π°ΡΠΈΠ²Π½ΡΡ Π²ΠΈΠ΄ΠΎΠ² ΡΠΎΠΏΠ»ΠΈΠ²Π° ΠΈ ΡΠΎΠΏΠ»ΠΈΠ²Π½ΡΡ ΠΊΠΎΠΌΠΏΠΎΠ½Π΅Π½ΡΠΎΠ². Π’ΠΎΠΏΠ»ΠΈΠ²ΠΎ ΠΈΠ»ΠΈ ΡΠΎΠΏΠ»ΠΈΠ²Π½ΡΠ΅ ΠΊΠΎΠΌΠΏΠΎΠ½Π΅Π½ΡΡ, ΡΠ°ΠΊΠΈΠ΅ ΠΊΠ°ΠΊ ΡΠΎΠΏΠ»ΠΈΠ²ΠΎ Π€ΠΈΡΠ΅ΡΠ°-Π’ΡΠΎΠΏΡΠ° (FT) (Π² ΡΠ°ΡΡΠ½ΠΎΡΡΠΈ, Π΄ΠΈΠ·Π΅Π»ΡΠ½ΠΎΠ΅ ΡΠΎΠΏΠ»ΠΈΠ²ΠΎ Π³Π°Π·-ΠΆΠΈΠ΄ΠΊΠΎΡΡΡ (GTL)) ΠΈ Π³ΠΈΠ΄ΡΠΎΠΎΡΠΈΡΠ΅Π½Π½ΡΠ΅ ΡΠ°ΡΡΠΈΡΠ΅Π»ΡΠ½ΡΠ΅ ΠΌΠ°ΡΠ»Π° (HVO), ΠΊΠ°ΠΊ ΠΏΡΠ°Π²ΠΈΠ»ΠΎ, ΡΡΠΈΡΠ°ΡΡΡΡ ΡΡΠ°Π±ΠΈΠ»ΡΠ½ΡΠΌΠΈ, Π² ΡΠΎ Π²ΡΠ΅ΠΌΡ ΠΊΠ°ΠΊ ΡΠ°ΠΊΠΈΠ΅ ΠΊΠΎΠΌΠΏΠΎΠ½Π΅Π½ΡΡ, ΠΊΠ°ΠΊ Π±ΠΈΠΎΠ΄ΠΈΠ·Π΅Π»ΡΠ½ΠΎΠ΅ ΡΠΎΠΏΠ»ΠΈΠ²ΠΎ (ΠΎΡΠΎΠ±Π΅Π½Π½ΠΎ ΠΌΠ΅ΡΠΈΠ»ΠΎΠ²ΡΠ΅ ΡΡΠΈΡΡ ΠΆΠΈΡΠ½ΡΡ ΠΊΠΈΡΠ»ΠΎΡ (FAME) )) ΡΡΠΈΡΠ°ΡΡΡΡ Π·Π½Π°ΡΠΈΡΠ΅Π»ΡΠ½ΠΎ ΠΌΠ΅Π½Π΅Π΅ ΡΡΠ°Π±ΠΈΠ»ΡΠ½ΡΠΌΠΈ, ΡΠ΅ΠΌ Π΄ΠΈΠ·Π΅Π»ΡΠ½ΠΎΠ΅ ΡΠΎΠΏΠ»ΠΈΠ²ΠΎ, ΠΏΠΎΠ»ΡΡΠ΅Π½Π½ΠΎΠ΅ ΠΈΠ· Π½Π΅ΡΡΠΈ, ΠΈ Π΄Π»Ρ ΠΏΠΎΠ΄Π΄Π΅ΡΠΆΠ°Π½ΠΈΡ ΠΈΡ ΡΡΠ°Π±ΠΈΠ»ΡΠ½ΠΎΡΡΠΈ ΠΌΠΎΠ³ΡΡ ΠΏΠΎΡΡΠ΅Π±ΠΎΠ²Π°ΡΡΡΡ Π°Π½ΡΠΈΠΎΠΊΡΠΈΠ΄Π°Π½ΡΡ [4].Π Π»ΠΈΡΠ΅ΡΠ°ΡΡΡΠ΅ Π΅ΡΡΡ Π½Π΅ΡΠΊΠΎΠ»ΡΠΊΠΎ ΠΏΡΠΎΡΠΈΠ²ΠΎΡΠ΅ΡΠΈΠ²ΡΡ Π²ΡΠ²ΠΎΠ΄ΠΎΠ² ΠΎ ΡΡΠ°Π±ΠΈΠ»ΡΠ½ΠΎΡΡΠΈ ΡΠΌΠ΅ΡΠ΅ΠΉ FAME / ΠΏΠ°ΡΠ°ΡΠΈΠ½ΠΎΠ²ΠΎΠ³ΠΎ Π΄ΠΈΠ·Π΅Π»ΡΠ½ΠΎΠ³ΠΎ ΡΠΎΠΏΠ»ΠΈΠ²Π°. ΠΠΎΠ»ΡΡΠΈΠ½ΡΡΠ²ΠΎ Π°Π²ΡΠΎΡΠΎΠ² ΡΠΊΠ°Π·ΡΠ²Π°ΡΡ Π½Π° Ρ ΠΎΡΠΎΡΡΡ ΡΡΠ°Π±ΠΈΠ»ΡΠ½ΠΎΡΡΡ [5β7], Π½ΠΎ Mushrush et al. [8] ΡΠΊΠ°Π·Π°Π»ΠΈ, ΡΡΠΎ ΡΠΌΠ΅ΡΠΈ ΡΠΎΠ΅Π²ΠΎΠ³ΠΎ Π±ΠΈΠΎΠ΄ΠΈΠ·Π΅Π»Ρ ΠΈ Π΄ΠΈΠ·Π΅Π»ΡΠ½ΠΎΠ³ΠΎ ΡΠΎΠΏΠ»ΠΈΠ²Π° FT Π½Π΅ΡΡΠ°Π±ΠΈΠ»ΡΠ½Ρ Π² ΠΎΠΊΠΈΡΠ»ΠΈΡΠ΅Π»ΡΠ½ΡΡ ΡΡΠ»ΠΎΠ²ΠΈΡΡ . Mushrush et al. ΠΎΡΠ΅Π½ΠΈΠ²Π°Π»ΠΈ ΠΎΠ±ΡΠ°Π·ΡΡ Ρ ΠΏΠΎΠΌΠΎΡΡΡ ΡΠ΅ΡΡΠ° ASTM D5304. ΠΡΠΎΡ ΠΌΠ΅ΡΠΎΠ΄ ΠΏΡΠ΅Π΄ΡΡΠ°Π²Π»ΡΠ΅Ρ ΡΠΎΠ±ΠΎΠΉ ΡΡΠΊΠΎΡΠ΅Π½Π½ΡΠΉ ΠΎΠΊΠΈΡΠ»ΠΈΡΠ΅Π»ΡΠ½ΡΠΉ ΡΠ΅ΡΡ ΠΈ Π±ΡΠ΄Π΅Ρ ΠΎΠ±ΡΡΠΆΠ΄Π°ΡΡΡΡ Π΄Π°Π»Π΅Π΅ Π² ΡΠ°Π±Π»ΠΈΡΠ΅ 1. ΠΡΠΏΠΎΠ»ΡΠ·ΡΡ ΡΡΠΎΡ ΡΠ΅ΡΡ, ΠΎΠ½ΠΈ ΠΎΠ±Π½Π°ΡΡΠΆΠΈΠ»ΠΈ, ΡΡΠΎ ΡΠΌΠ΅ΡΠΈ ΡΠΎΠ΅Π²ΠΎΠ³ΠΎ Π±ΠΈΠΎΠ΄ΠΈΠ·Π΅Π»Ρ ΠΈ Π΄ΠΈΠ·Π΅Π»ΡΠ½ΠΎΠ³ΠΎ ΡΠΎΠΏΠ»ΠΈΠ²Π° FT Π±ΡΠ»ΠΈ ΡΡΠ΅Π·Π²ΡΡΠ°ΠΉΠ½ΠΎ Π½Π΅ΡΡΠ°Π±ΠΈΠ»ΡΠ½ΡΠΌΠΈ, ΡΡΠΎ ΠΏΡΠΈΠ²ΠΎΠ΄ΠΈΠ»ΠΎ ΠΊ ΠΎΡΠ΅Π½Ρ Π²ΡΡΠΎΠΊΠΈΠΌ ΡΡΠΎΠ²Π½ΡΠΌ ΠΎΡΠ»ΠΎΠΆΠ΅Π½ΠΈΠΉ.Π ΡΠΎΠΎΡΠ²Π΅ΡΡΡΠ²ΠΈΠΈ Ρ Π½Π΅Π΄Π°Π²Π½ΠΎ ΡΡΠ²Π΅ΡΠΆΠ΄Π΅Π½Π½ΠΎΠΉ ΡΠΏΠ΅ΡΠΈΡΠΈΠΊΠ°ΡΠΈΠ΅ΠΉ CEN TS15940: 2012, Π²Π°ΠΆΠ½ΠΎ ΠΏΠΎΠ½ΠΈΠΌΠ°ΡΡ Ρ Π°ΡΠ°ΠΊΡΠ΅ΡΠΈΡΡΠΈΠΊΠΈ FAME / ΠΏΠ°ΡΠ°ΡΠΈΠ½ΠΎΠ²ΠΎΠ³ΠΎ ΡΠΎΠΏΠ»ΠΈΠ²Π° Π² ΡΡΠ°Π½Π΄Π°ΡΡΠ½ΡΡ Π»Π°Π±ΠΎΡΠ°ΡΠΎΡΠ½ΡΡ ΠΈΡΠΏΡΡΠ°Π½ΠΈΡΡ Π½Π° ΡΡΠ°Π±ΠΈΠ»ΡΠ½ΠΎΡΡΡ, ΡΡΠΎΠ±Ρ Π³Π°ΡΠ°Π½ΡΠΈΡΠΎΠ²Π°ΡΡ ΠΏΡΠΈΠΌΠ΅Π½ΠΈΠΌΠΎΡΡΡ ΡΡΠΈΡ ΠΈΡΠΏΡΡΠ°Π½ΠΈΠΉ ΠΈ ΠΏΡΠ΅Π΄ΠΎΡΡΠ°Π²ΠΈΡΡ ΡΠΎΠΎΡΠ²Π΅ΡΡΡΠ²ΡΡΡΡΡ ΠΈΠ½ΡΠΎΡΠΌΠ°ΡΠΈΡ ΠΎ ΡΡΠ°Π±ΠΈΠ»ΡΠ½ΠΎΡΡΠΈ ΡΡΠΈΡ ΡΠΎΠΏΠ»ΠΈΠ².
| ||||||||||||||||||||||||||||||||||||||||||||||||||||||||||||||||||||||||||||||||||||||||||||||||||||||||||||||||||||||||||||||||
ΠΡΠ»ΠΈ Π΄ΠΈΠ·Π΅Π»ΡΠ½ΠΎΠ΅ ΡΠΎΠΏΠ»ΠΈΠ²ΠΎ Π½Π΅ΡΡΠ°Π±ΠΈΠ»ΡΠ½ΠΎ, ΠΌΠΎΠΆΠ΅Ρ ΠΎΠ±ΡΠ°Π·ΠΎΠ²Π°ΡΡΡΡ ΠΎΡΠ°Π΄ΠΎΠΊ, ΠΊΠΎΡΠΎΡΡΠΉ ΠΌΠΎΠΆΠ΅Ρ Π·Π°Π±Π»ΠΎΠΊΠΈΡΠΎΠ²Π°ΡΡ ΡΠΎΠΏΠ»ΠΈΠ²Π½ΡΠ΅ ΡΠΈΠ»ΡΡΡΡ [9].Π’Π΅ΡΡΠΈ ΠΈ Π΄Ρ. [10] ΠΏΠΎΠΊΠ°Π·Π°Π»ΠΈ, ΡΡΠΎ ΠΏΡΠΈ Π²ΡΡΠΎΠΊΠΎΠΉ ΡΡΠ΅ΠΏΠ΅Π½ΠΈ ΠΎΠΊΠΈΡΠ»Π΅Π½ΠΈΡ ΠΌΠΎΠ³ΡΡ ΠΎΠ±ΡΠ°Π·ΠΎΠ²ΡΠ²Π°ΡΡΡΡ Π΄Π²Π΅ ΡΠ°Π·Ρ, ΡΡΠΎ Π²ΡΠ΅Π΄Π½ΠΎ Π΄Π»Ρ ΡΠΎΠΏΠ»ΠΈΠ²Π½ΡΡ Π½Π°ΡΠΎΡΠΎΠ², Π° ΡΠ°ΠΊΠΆΠ΅ ΠΌΠΎΠΆΠ΅Ρ Π²ΡΠ·ΡΠ²Π°ΡΡ Π΄ΡΡΠ³ΠΈΠ΅ ΡΠΊΡΠΏΠ»ΡΠ°ΡΠ°ΡΠΈΠΎΠ½Π½ΡΠ΅ ΠΏΡΠΎΠ±Π»Π΅ΠΌΡ. ΠΠΈΡΠ»ΠΎΡΡ ΠΎΠ±ΡΠ°Π·ΡΡΡΡΡ Π² ΠΏΡΠΎΡΠ΅ΡΡΠ΅ ΡΠ°Π·Π»ΠΎΠΆΠ΅Π½ΠΈΡ [11], ΠΈ ΡΡΠΈ ΠΊΠΈΡΠ»ΠΎΡΡ ΠΌΠΎΠ³ΡΡ Π²ΡΠ·ΡΠ²Π°ΡΡ ΠΊΠΎΡΡΠΎΠ·ΠΈΡ ΠΌΠ΅ΡΠ°Π»Π»ΠΈΡΠ΅ΡΠΊΠΈΡ Π΄Π΅ΡΠ°Π»Π΅ΠΉ Π΄Π²ΠΈΠ³Π°ΡΠ΅Π»Ρ. Π ΠΊΡΠ°ΠΉΠ½ΠΈΡ ΡΠ»ΡΡΠ°ΡΡ ΠΌΠΎΠΆΠ΅Ρ ΠΎΠ±ΡΠ°Π·ΠΎΠ²Π°ΡΡΡΡ Π΄ΠΎΡΡΠ°ΡΠΎΡΠ½ΠΎ ΠΎΡΠ»ΠΎΠΆΠ΅Π½ΠΈΠΉ, ΡΡΠΎΠ±Ρ Π²ΡΠ·Π²Π°ΡΡ Π·Π°ΡΠΎΡΠ΅Π½ΠΈΠ΅ ΡΠΈΠ»ΡΡΡΠ° [12].
Π₯ΠΎΡΡ Π΄ΠΈΠ·Π΅Π»ΡΠ½ΠΎΠ΅ ΡΠΎΠΏΠ»ΠΈΠ²ΠΎ, ΠΏΠΎΠ»ΡΡΠ΅Π½Π½ΠΎΠ΅ ΠΈΠ· Π½Π΅ΡΡΠΈ, ΠΊΠ°ΠΊ ΠΏΡΠ°Π²ΠΈΠ»ΠΎ, ΠΎΡΠ΅Π½Ρ ΡΡΠ°Π±ΠΈΠ»ΡΠ½ΠΎ, Ρ ΠΎΡΠΎΡΠΎ ΠΈΠ·Π²Π΅ΡΡΠ½ΠΎ, ΡΡΠΎ Π΄ΠΈΠ·Π΅Π»ΡΠ½ΠΎΠ΅ ΡΠΎΠΏΠ»ΠΈΠ²ΠΎ, ΠΊΠ°ΠΊ ΠΈ ΠΌΠ½ΠΎΠ³ΠΈΠ΅ Π΄ΡΡΠ³ΠΈΠ΅ ΠΏΡΠΎΠ΄ΡΠΊΡΡ, ΠΏΠΎΠ»ΡΡΠ΅Π½Π½ΡΠ΅ ΠΈΠ· Π½Π΅ΡΡΠΈ, Π±ΡΠ΄Π΅Ρ ΠΏΡΠΎΡΠ²Π»ΡΡΡ Π½Π΅ΡΡΠ°Π±ΠΈΠ»ΡΠ½ΠΎΡΡΡ ΠΏΡΠΈ Π²ΠΎΠ·Π΄Π΅ΠΉΡΡΠ²ΠΈΠΈ Π²ΡΡΠΎΠΊΠΈΡ ΡΠ΅ΠΌΠΏΠ΅ΡΠ°ΡΡΡ ΠΈ ΡΡΠ»ΠΎΠ²ΠΈΠΉ, Π±Π»Π°Π³ΠΎΠΏΡΠΈΡΡΡΡΠ²ΡΡΡΠΈΡ ΡΠ΅Π°ΠΊΡΠΈΡΠΌ ΠΎΠΊΠΈΡΠ»Π΅Π½ΠΈΡ [12].Π‘ΠΎΡΡΠ°Π² ΡΠΎΠΏΠ»ΠΈΠ²Π° ΠΈΠΌΠ΅Π΅Ρ ΡΠ΅ΡΠ°ΡΡΠ΅Π΅ Π²Π»ΠΈΡΠ½ΠΈΠ΅ Π½Π° ΡΡΠ°Π±ΠΈΠ»ΡΠ½ΠΎΡΡΡ Π΄ΠΈΠ·Π΅Π»ΡΠ½ΠΎΠ³ΠΎ ΡΠΎΠΏΠ»ΠΈΠ²Π°. ΠΠΈΠ·Π΅Π»ΠΈ, Π½Π΅ ΡΠΎΠ΄Π΅ΡΠΆΠ°ΡΠΈΠ΅ ΠΎΠ»Π΅ΡΠΈΠ½ΠΎΠ², ΠΎΠ±ΡΡΠ½ΠΎ Π±ΠΎΠ»Π΅Π΅ ΡΡΠ°Π±ΠΈΠ»ΡΠ½Ρ, ΡΠ΅ΠΌ ΠΎΠ»Π΅ΡΠΈΠ½ΠΎΡΠΎΠ΄Π΅ΡΠΆΠ°ΡΠΈΠ΅ ΡΠΎΠΏΠ»ΠΈΠ²Π°. ΠΠΎΠ±Π°Π²Π»Π΅Π½ΠΈΠ΅ ΡΡΠ°Π±ΠΈΠ»ΠΈΠ·Π°ΡΠΎΡΠΎΠ², Π½Π°ΠΏΡΠΈΠΌΠ΅Ρ, Π°Π½ΡΠΈΠΎΠΊΡΠΈΠ΄Π°Π½ΡΠΎΠ², ΠΈ Π½Π΅ΠΊΠΎΡΠΎΡΡΡ Π΄ΡΡΠ³ΠΈΡ ΠΊΠΎΠΌΠΏΠΎΠ·ΠΈΡΠΈΠΎΠ½Π½ΡΡ ΡΠ°ΠΊΡΠΎΡΠΎΠ² ΠΌΠΎΠΆΠ΅Ρ Π·Π½Π°ΡΠΈΡΠ΅Π»ΡΠ½ΠΎ ΡΠ»ΡΡΡΠΈΡΡ ΡΡΠ°Π±ΠΈΠ»ΡΠ½ΠΎΡΡΡ ΡΠΎΠΏΠ»ΠΈΠ²Π° [12].
1.2. Π‘ΡΠ°Π±ΠΈΠ»ΡΠ½ΠΎΡΡΡ ΠΏΠ°ΡΠ°ΡΠΈΠ½ΠΎΠ²ΠΎΠ³ΠΎ Π΄ΠΈΠ·Π΅Π»ΡΠ½ΠΎΠ³ΠΎ ΡΠΎΠΏΠ»ΠΈΠ²Π°
Π‘ΡΡΠ΅ΡΡΠ²ΡΠ΅Ρ Π΄Π²Π° ΠΎΡΠ½ΠΎΠ²Π½ΡΡ ΡΠΈΠΏΠ° ΠΊΠΎΠΌΠΌΠ΅ΡΡΠ΅ΡΠΊΠΈ Π΄ΠΎΡΡΡΠΏΠ½ΠΎΠ³ΠΎ ΠΏΠ°ΡΠ°ΡΠΈΠ½ΠΎΠ²ΠΎΠ³ΠΎ ΡΠΎΠΏΠ»ΠΈΠ²Π°, ΠΊΠΎΡΠΎΡΠΎΠ΅ ΠΌΠΎΠΆΠ΅Ρ Π±ΡΡΡ ΡΠΌΠ΅ΡΠ°Π½ΠΎ Ρ ΠΎΠ±ΡΡΠ½ΡΠΌ Π΄ΠΈΠ·Π΅Π»ΡΠ½ΡΠΌ ΡΠΎΠΏΠ»ΠΈΠ²ΠΎΠΌ: (1) Π΄ΠΈΠ·Π΅Π»ΡΠ½ΠΎΠ΅ ΡΠΎΠΏΠ»ΠΈΠ²ΠΎ Π€ΠΈΡΠ΅ΡΠ°-Π’ΡΠΎΠΏΡΠ° (Π²ΠΊΠ»ΡΡΠ°Ρ ΠΏΡΠ΅ΠΎΠ±ΡΠ°Π·ΠΎΠ²Π°Π½ΠΈΠ΅ Π³Π°Π·Π° Π² ΠΆΠΈΠ΄ΠΊΠΎΡΡΠΈ, ΡΠ³Π»Ρ Π² ΠΆΠΈΠ΄ΠΊΠΎΡΡΠΈ ΠΈ Π±ΠΈΠΎΠΌΠ°ΡΡΡ Π² ΠΆΠΈΠ΄ΠΊΠΎΡΡΠΈ. ), (2) Π³ΠΈΠ΄ΡΠΎΠΎΡΠΈΡΠ΅Π½Π½ΡΠ΅ ΡΠ°ΡΡΠΈΡΠ΅Π»ΡΠ½ΡΠ΅ ΠΌΠ°ΡΠ»Π° (HVO), ΠΏΠΎΠ»ΡΡΠ΅Π½Π½ΡΠ΅ ΠΏΡΡΠ΅ΠΌ Π³ΠΈΠ΄ΡΠΎΠ³Π΅Π½ΠΈΠ·Π°ΡΠΈΠΈ ΡΠ°ΡΡΠΈΡΠ΅Π»ΡΠ½ΡΡ ΠΌΠ°ΡΠ΅Π».ΠΠ°Π·ΠΎΠΆΠΈΠ΄ΠΊΠΎΡΡΠ½ΠΎΠ΅ Π΄ΠΈΠ·Π΅Π»ΡΠ½ΠΎΠ΅ ΡΠΎΠΏΠ»ΠΈΠ²ΠΎ (GTL) ΡΠ²Π»ΡΠ΅ΡΡΡ Π²ΡΡΠΎΠΊΠΎΠΏΠ°ΡΠ°ΡΠΈΠ½ΠΎΠ²ΡΠΌ ΠΈ ΡΠΎΠ΄Π΅ΡΠΆΠΈΡ ΠΌΠ°Π»ΠΎ ΠΈΠ»ΠΈ ΡΠΎΠ²ΡΠ΅ΠΌ Π½Π΅ ΡΠΎΠ΄Π΅ΡΠΆΠΈΡ ΡΠ΅ΡΡ ΠΈ Π°Π·ΠΎΡΡΠΎΠ΄Π΅ΡΠΆΠ°ΡΠΈΡ ΡΠΎΠ΅Π΄ΠΈΠ½Π΅Π½ΠΈΠΉ [13]. ΠΡΠΈ ΡΠΎΠ΅Π΄ΠΈΠ½Π΅Π½ΠΈΡ ΡΠ΄Π°Π»ΡΡΡΡΡ Π² ΠΏΡΠΎΡΠ΅ΡΡΠ΅ ΠΏΡΠΎΠΈΠ·Π²ΠΎΠ΄ΡΡΠ²Π°. ΠΠΈΠ·Π΅Π»ΡΠ½ΠΎΠ΅ ΡΠΎΠΏΠ»ΠΈΠ²ΠΎ GTL ΠΏΠΎΠ΄Π²Π΅ΡΠ³Π°Π΅ΡΡΡ Π³ΠΈΠ΄ΡΠΎΠΎΡΠΈΡΡΠΊΠ΅ Π΄Π»Ρ ΡΠ΄Π°Π»Π΅Π½ΠΈΡ ΠΎΠ»Π΅ΡΠΈΠ½ΠΎΠ² ΠΈ ΠΎΠΊΡΠΈΠ³Π΅Π½Π°ΡΠΎΠ². ΠΠΆΠΈΠ΄Π°Π΅ΡΡΡ, ΡΡΠΎ ΠΈΠ·-Π·Π° ΠΎΡΡΡΡΡΡΠ²ΠΈΡ ΡΡΠΈΡ Π³Π΅ΡΠ΅ΡΠΎΠ°ΡΠΎΠΌΠΎΠ² (ΠΏΡΠΈΡΡΡΡΡΠ²ΡΡΡΠΈΡ Π² ΠΌΠΎΠ»Π΅ΠΊΡΠ»Π°Ρ , ΡΠΎΠ΄Π΅ΡΠΆΠ°ΡΠΈΡ Π°Π·ΠΎΡ, ΡΠ΅ΡΡ ΠΈ ΠΊΠΈΡΠ»ΠΎΡΠΎΠ΄), ΡΡΠΈ Π²ΠΈΠ΄Ρ ΡΠΎΠΏΠ»ΠΈΠ²Π° Π±ΡΠ΄ΡΡ ΠΎΡΠ΅Π½Ρ ΡΡΠ°Π±ΠΈΠ»ΡΠ½ΡΠΌΠΈ. ΠΠ΄Π½Π°ΠΊΠΎ ΠΏΠ°ΡΠ°ΡΠΈΠ½ΠΎΠ²ΡΠ΅ ΡΠΎΠΏΠ»ΠΈΠ²Π° Π½Π΅ ΡΠΎΠ΄Π΅ΡΠΆΠ°Ρ ΠΊΠ°ΠΊΠΈΡ -Π»ΠΈΠ±ΠΎ ΠΏΡΠΈΡΠΎΠ΄Π½ΡΡ Π³Π΅ΡΠ΅ΡΠΎΠ°ΡΠΎΠΌΠ½ΡΡ Π°Π½ΡΠΈΠΎΠΊΡΠΈΠ΄Π°Π½ΡΠΎΠ² (ΠΈΠ½Π³ΠΈΠ±ΠΈΡΠΎΡΠΎΠ²), ΡΠΏΠΎΡΠΎΠ±ΡΡΠ²ΡΡΡΠΈΡ ΡΡΠ°Π±ΠΈΠ»ΡΠ½ΠΎΡΡΠΈ.ΠΠ°ΠΊ ΡΠΎΠ»ΡΠΊΠΎ Π½Π°ΡΠΈΠ½Π°Π΅ΡΡΡ ΡΠ°Π·Π»ΠΎΠΆΠ΅Π½ΠΈΠ΅, GTL Π΄ΠΈΠ·Π΅Π»ΡΠ½ΠΎΠ΅ ΡΠΎΠΏΠ»ΠΈΠ²ΠΎ Π½Π΅ ΠΎΠ±Π»Π°Π΄Π°Π΅Ρ ΡΠ²ΠΎΠΉΡΡΠ²Π΅Π½Π½ΠΎΠΉ ΡΠΏΠΎΡΠΎΠ±Π½ΠΎΡΡΡΡ ΠΏΡΠ΅Π΄ΠΎΡΠ²ΡΠ°ΡΠ°ΡΡ ΠΈΠ»ΠΈ ΠΈΠ½Π³ΠΈΠ±ΠΈΡΠΎΠ²Π°ΡΡ Π΄Π°Π»ΡΠ½Π΅ΠΉΡΠ΅Π΅ ΠΎΠΊΠΈΡΠ»Π΅Π½ΠΈΠ΅.
ΠΠ΅ΡΠΊΠΎΠ»ΡΠΊΠΎ ΡΡΠ°ΡΠ΅ΠΉ ΠΏΠΎΠΊΠ°Π·Π°Π»ΠΈ ΠΎΡΠ»ΠΈΡΠ½ΡΠ΅ Ρ Π°ΡΠ°ΠΊΡΠ΅ΡΠΈΡΡΠΈΠΊΠΈ ΡΠΈΡΡΠΎΠ³ΠΎ GTL Π΄ΠΈΠ·Π΅Π»ΡΠ½ΠΎΠ³ΠΎ ΡΠΎΠΏΠ»ΠΈΠ²Π° Π² ΡΠ΅ΡΡΠ΅ ASTM D2274 [14, 15] Π² ΠΊΠ°ΡΠ΅ΡΡΠ²Π΅ ΡΠΈΡΡΠΎΠ³ΠΎ ΡΠΎΠΏΠ»ΠΈΠ²Π° ΠΈΠ»ΠΈ ΡΠΌΠ΅ΡΠ°Π½Π½ΠΎΠ³ΠΎ Ρ Π΄ΠΈΠ·Π΅Π»ΡΠ½ΡΠΌ ΡΠΎΠΏΠ»ΠΈΠ²ΠΎΠΌ, ΠΏΠΎΠ»ΡΡΠ΅Π½Π½ΡΠΌ ΠΈΠ· Π½Π΅ΡΡΠΈ. Π ΠΎΡΡΠ΅ΡΠ΅ NREL ΡΡΠ°Π±ΠΈΠ»ΡΠ½ΠΎΡΡΡ Π΄ΠΈΠ·Π΅Π»ΡΠ½ΠΎΠ³ΠΎ ΡΠΎΠΏΠ»ΠΈΠ²Π° GTL Π±ΡΠ»Π° ΠΈΠ·ΠΌΠ΅ΡΠ΅Π½Π° Ρ ΠΈΡΠΏΠΎΠ»ΡΠ·ΠΎΠ²Π°Π½ΠΈΠ΅ΠΌ ASTM D2274 ΠΈ ASTM D6468 [16]. ΠΡΠ»ΠΎ ΠΏΠΎΠΊΠ°Π·Π°Π½ΠΎ, ΡΡΠΎ ΠΎΠΊΠΎΠ»ΠΎ 0,4 ΠΌΠ³ / 100 ΠΌΠ» ΠΎΡΠ»ΠΎΠΆΠ΅Π½ΠΈΠΉ ΠΎΠ±ΡΠ°Π·ΠΎΠ²Π°Π»ΠΎΡΡ ΠΏΡΠΈ ΠΈΡΠΏΡΡΠ°Π½ΠΈΠΈ ASTM D2274 (ΡΡΠ°Π±ΠΈΠ»ΡΠ½ΠΎΠ΅ ΡΠΎΠΏΠ»ΠΈΠ²ΠΎ) ΠΈ ΡΡΠΎ Π·Π½Π°ΡΠ΅Π½ΠΈΠ΅ ΠΎΡΡΠ°ΠΆΠ°ΡΠ΅Π»ΡΠ½ΠΎΠΉ ΡΠΏΠΎΡΠΎΠ±Π½ΠΎΡΡΠΈ ASTM D6468 100% (ΠΎΡΠ»ΠΈΡΠ½Π°Ρ ΡΡΠ°Π±ΠΈΠ»ΡΠ½ΠΎΡΡΡ) Π±ΡΠ»ΠΎ Π΄ΠΎΡΡΠΈΠ³Π½ΡΡΠΎ Ρ Π΄ΠΈΠ·Π΅Π»ΡΠ½ΡΠΌ ΡΠΎΠΏΠ»ΠΈΠ²ΠΎΠΌ GTL.ΠΡΠ»ΠΈ Π½Π΅ΠΊΠΎΡΠΎΡΡΠ΅ ΠΏΡΠΈΠ·Π½Π°ΠΊΠΈ ΡΠΎΠ³ΠΎ, ΡΡΠΎ ΡΠΎΠΏΠ»ΠΈΠ²Π° Π€ΠΈΡΠ΅ΡΠ°-Π’ΡΠΎΠΏΡΠ° ΠΌΠΎΠ³ΡΡ ΠΏΠΎΠΊΠ°Π·ΡΠ²Π°ΡΡ Π½Π΅ΠΎΠΆΠΈΠ΄Π°Π½Π½ΠΎ Π±ΠΎΠ»Π΅Π΅ Π½ΠΈΠ·ΠΊΡΡ ΡΡΠ°Π±ΠΈΠ»ΡΠ½ΠΎΡΡΡ Π² ΠΎΠΏΡΠ΅Π΄Π΅Π»Π΅Π½Π½ΡΡ ΡΠΌΠ΅ΡΡΡ (ΡΠΎ Π΅ΡΡΡ Π² ΡΠΌΠ΅ΡΡΡ Ρ Π½ΠΈΠ·ΠΊΠΎΠΉ ΡΡΠ°Π±ΠΈΠ»ΡΠ½ΠΎΡΡΡΡ LCO [17]). ΠΠ°ΠΏΡΠΎΡΠΈΠ², ΡΠ°ΠΊΠΎΠ΅ ΠΏΠΎΠ²Π΅Π΄Π΅Π½ΠΈΠ΅ Π½Π΅ Π½Π°Π±Π»ΡΠ΄Π°Π»ΠΎΡΡ ΠΠ΅Π»Π°ΡΡΠΎΠΌ ΠΈ Π΄Π΅ ΠΡΠ΄Π΅ [6], Ρ ΠΎΡΡ ΡΠΎΠΏΠ»ΠΈΠ²Π½Π°Ρ ΠΌΠ°ΡΡΠΈΡΠ°, ΠΈΡΠΏΠΎΠ»ΡΠ·ΡΠ΅ΠΌΠ°Ρ Π² ΡΡΠΎΠΌ ΠΈΡΡΠ»Π΅Π΄ΠΎΠ²Π°Π½ΠΈΠΈ, ΡΠΎΠ΄Π΅ΡΠΆΠ°Π»Π° ΡΡΠ°Π±ΠΈΠ»ΡΠ½ΠΎΠ΅ Π΄ΠΈΠ·Π΅Π»ΡΠ½ΠΎΠ΅ ΡΠΎΠΏΠ»ΠΈΠ²ΠΎ EN590, Π° Π½Π΅ ΠΏΠΎΡΠ΅Π½ΡΠΈΠ°Π»ΡΠ½ΠΎ Π½Π΅ΡΡΠ°Π±ΠΈΠ»ΡΠ½ΡΠ΅ ΡΠΎΠΏΠ»ΠΈΠ²Π½ΡΠ΅ ΠΊΠΎΠΌΠΏΠΎΠ½Π΅Π½ΡΡ, ΡΠ°ΠΊΠΈΠ΅ ΠΊΠ°ΠΊ LCO, ΠΈΠ·ΡΡΠ΅Π½Π½ΡΠΉ OβRear et al. [17].
ΠΠ½Π°Π»ΠΎΠ³ΠΈΡΠ½ΡΠ΅ Π·Π°ΡΠ²Π»Π΅Π½ΠΈΡ ΠΎ ΡΡΠ°Π±ΠΈΠ»ΡΠ½ΠΎΡΡΠΈ Π±ΡΠ»ΠΈ ΡΠ΄Π΅Π»Π°Π½Ρ Π΄Π»Ρ Π³ΠΈΠ΄ΡΠΎΠΎΡΠΈΡΠ΅Π½Π½ΡΡ ΡΠ°ΡΡΠΈΡΠ΅Π»ΡΠ½ΡΡ ΠΌΠ°ΡΠ΅Π» (HVO) [18].ΠΡΡΠΎΠ½Π΅Π½ ΠΈ Π΄Ρ. [18] ΡΠΊΠ°Π·Π°Π»ΠΈ, ΡΡΠΎ Π΄ΠΈΠ·Π΅Π»ΡΠ½ΠΎΠ΅ ΡΠΎΠΏΠ»ΠΈΠ²ΠΎ HVO Π±ΡΠ»ΠΎ ΠΎΡΠ΅Π½Ρ ΡΡΠ°Π±ΠΈΠ»ΡΠ½ΡΠΌ Π² ΡΠ΅ΡΡΠ΅ EN ISO 12205. ΠΠΎΠ΄ΠΎΠ±Π½ΠΎ ASTM D2274, ΠΈΡΠΏΡΡΠ°Π½ΠΈΠ΅ ΠΏΡΠΎΠ²ΠΎΠ΄ΠΈΡΡΡ Π² ΡΠ΅ΡΠ΅Π½ΠΈΠ΅ 16 ΡΠ°ΡΠΎΠ² ΠΏΡΠΈ 95 Β° C ΠΏΡΠΈ Π±Π°ΡΠ±ΠΎΡΠΈΡΠΎΠ²Π°Π½ΠΈΠΈ ΡΠΈΡΡΠΎΠ³ΠΎ ΠΊΠΈΡΠ»ΠΎΡΠΎΠ΄Π° ΡΠ΅ΡΠ΅Π· ΠΎΠ±ΡΠ°Π·Π΅Ρ. ΠΡΠ»ΠΎ ΠΏΠΎΠΊΠ°Π·Π°Π½ΠΎ, ΡΡΠΎ HVO Π²ΡΠ΅Π³Π΄Π° ΠΏΡΠΈΠ²ΠΎΠ΄ΠΈΠ» ΠΊ ΠΊΠΎΠ½ΡΠ΅Π½ΡΡΠ°ΡΠΈΠΈ Π½Π΅ΡΠ°ΡΡΠ²ΠΎΡΠΈΠΌΡΡ Π²Π΅ΡΠ΅ΡΡΠ² ΠΌΠ΅Π½Π΅Π΅ 5 Π³ / ΠΌ 3 ΠΏΠΎ ΡΡΠ°Π²Π½Π΅Π½ΠΈΡ Ρ ΠΌΠ°ΠΊΡΠΈΠΌΠ°Π»ΡΠ½ΡΠΌ ΠΏΡΠ΅Π΄Π΅Π»ΠΎΠΌ 25 Π³ / ΠΌ 3 , ΡΠΊΠ°Π·Π°Π½Π½ΡΠΌ Π² EN590. Π’Π°ΠΊΠΆΠ΅ Π±ΡΠ»ΠΎ ΠΏΠΎΠΊΠ°Π·Π°Π½ΠΎ, ΡΡΠΎ HVO ΠΎΡΠ΅Π½Ρ Ρ ΠΎΡΠΎΡΠΎ ΠΏΠΎΠΊΠ°Π·Π°Π» ΡΠ΅Π±Ρ Π² ΡΠ΅ΡΡΠ΅ EN 14112 Ρ Π²ΡΠ΅ΠΌΠ΅Π½Π΅ΠΌ ΠΈΠ½Π΄ΡΠΊΡΠΈΠΈ Π±ΠΎΠ»Π΅Π΅ 40 ΡΠ°ΡΠΎΠ², ΡΡΠΎ Π·Π½Π°ΡΠΈΡΠ΅Π»ΡΠ½ΠΎ ΠΏΡΠ΅Π²ΡΡΠ°Π΅Ρ 20-ΡΠ°ΡΠΎΠ²ΠΎΠΉ ΠΏΡΠ΅Π΄Π΅Π» Π² ΡΡΠ°Π½Π΄Π°ΡΡΠ΅ EN590.
1.3. Π‘ΡΠ°Π±ΠΈΠ»ΡΠ½ΠΎΡΡΡ FAME ΠΠΈΠΎΠ΄ΠΈΠ·Π΅Π»Ρ
Π₯ΠΎΡΡ Π±ΠΈΠΎΠ΄ΠΈΠ·Π΅Π»Ρ (FAME) ΠΈΠΌΠ΅Π΅Ρ Π½Π΅ΡΠΊΠΎΠ»ΡΠΊΠΎ Ρ ΠΎΡΠΎΡΠΈΡ ΡΠ²ΠΎΠΉΡΡΠ² Ρ ΡΠΎΡΠΊΠΈ Π·ΡΠ΅Π½ΠΈΡ Π΄ΠΈΠ·Π΅Π»ΡΠ½ΠΎΠ³ΠΎ ΡΠΎΠΏΠ»ΠΈΠ²Π°, Ρ ΠΎΡΠΎΡΠΎ ΠΈΠ·Π²Π΅ΡΡΠ½ΠΎ, ΡΡΠΎ FAME, ΠΏΠΎΠ»ΡΡΠ΅Π½Π½ΡΠΉ ΠΈΠ· ΡΠΎΠΈ, ΡΠ°ΠΏΡΠ°, ΠΆΠΈΡΠ° ΠΈ Π½Π΅ΠΊΠΎΡΠΎΡΡΡ Π΄ΡΡΠ³ΠΈΡ Π²ΠΈΠ΄ΠΎΠ² ΡΡΡΡΡ, ΠΌΠ΅Π½Π΅Π΅ ΡΡΠ°Π±ΠΈΠ»Π΅Π½, ΡΠ΅ΠΌ Π΄ΠΈΠ·Π΅Π»ΡΠ½ΠΎΠ΅ ΡΠΎΠΏΠ»ΠΈΠ²ΠΎ, ΠΏΠΎΠ»ΡΡΠ΅Π½Π½ΠΎΠ΅ ΠΈΠ· Π½Π΅ΡΡΠΈ [4 , 19]. ΠΠ°ΠΊ ΠΏΡΠ°Π²ΠΈΠ»ΠΎ, Π±ΠΈΠΎΠ΄ΠΈΠ·Π΅Π»Ρ ΠΌΠΎΠΆΠ΅Ρ ΡΠ°Π·Π»Π°Π³Π°ΡΡΡΡ ΠΏΠΎ ΡΡΠ΅ΠΌ ΠΌΠ΅Ρ Π°Π½ΠΈΠ·ΠΌΠ°ΠΌ [19]: (1) ΠΎΠΊΠΈΡΠ»Π΅Π½ΠΈΠ΅ ΡΠ΅ΡΠ΅Π· Π²Π·Π°ΠΈΠΌΠΎΠ΄Π΅ΠΉΡΡΠ²ΠΈΠ΅ Ρ ΠΊΠΈΡΠ»ΠΎΡΠΎΠ΄ΠΎΠΌ Π²ΠΎΠ·Π΄ΡΡ Π°. ΠΠΎΡΠΊΠΎΠ»ΡΠΊΡ ΡΠΈΡΡΡΠΉ ΠΈ ΡΠΌΠ΅ΡΠ°Π½Π½ΡΠΉ FAME ΠΌΠΎΠΆΠ΅Ρ Ρ ΡΠ°Π½ΠΈΡΡΡΡ Π² ΡΠ΅ΡΠ΅Π½ΠΈΠ΅ ΠΏΡΠΎΠ΄ΠΎΠ»ΠΆΠΈΡΠ΅Π»ΡΠ½ΡΡ ΠΏΠ΅ΡΠΈΠΎΠ΄ΠΎΠ² Π²ΡΠ΅ΠΌΠ΅Π½ΠΈ, ΠΎΠΊΠΈΡΠ»ΠΈΡΠ΅Π»ΡΠ½Π°Ρ ΡΡΠ°Π±ΠΈΠ»ΡΠ½ΠΎΡΡΡ ΠΎΡΠ΅Π½Ρ Π²Π°ΠΆΠ½Π° Π΄Π»Ρ FAME, (2) ΡΠ΅ΡΠΌΠΈΡΠ΅ΡΠΊΠΎΠ³ΠΎ ΠΈΠ»ΠΈ ΡΠ΅ΡΠΌΠΎΠΎΠΊΠΈΡΠ»ΠΈΡΠ΅Π»ΡΠ½ΠΎΠ³ΠΎ ΡΠ°Π·Π»ΠΎΠΆΠ΅Π½ΠΈΡ ΠΈΠ·-Π·Π° Π²ΠΎΠ·Π΄Π΅ΠΉΡΡΠ²ΠΈΡ ΡΠ΅ΠΌΠΏΠ΅ΡΠ°ΡΡΡ Π²ΡΡΠ΅ ΠΎΠΊΡΡΠΆΠ°ΡΡΠ΅ΠΉ ΡΡΠ΅Π΄Ρ, (3) Π³ΠΈΠ΄ΡΠΎΠ»ΠΈΠ·Π° ΠΌΠΎΠ»Π΅ΠΊΡΠ» FAME Π² ΠΏΡΠΈΡΡΡΡΡΠ²ΠΈΠΈ Π²ΠΎΠ΄Ρ .Π£Ρ ΡΠ΄ΡΠ΅Π½ΠΈΠ΅ FAME ΠΌΠΎΠΆΠ΅Ρ ΠΏΡΠΈΠ²Π΅ΡΡΠΈ ΠΊ Π½Π΅ΡΠΊΠΎΠ»ΡΠΊΠΈΠΌ ΠΏΡΠΎΠ±Π»Π΅ΠΌΠ°ΠΌ: ΡΡΠΎ ΠΌΠΎΠΆΠ΅Ρ ΡΡ ΡΠ΄ΡΠΈΡΡ ΠΊΠ°ΡΠ΅ΡΡΠ²ΠΎ ΡΠΎΠΏΠ»ΠΈΠ²Π°, Π° ΡΠ°ΠΊΠΆΠ΅ ΠΌΠΎΠΆΠ΅Ρ ΠΏΠΎΠ²Π»ΠΈΡΡΡ Π½Π° ΠΏΡΠΎΠΈΠ·Π²ΠΎΠ΄ΠΈΡΠ΅Π»ΡΠ½ΠΎΡΡΡ Π΄Π²ΠΈΠ³Π°ΡΠ΅Π»Ρ / ΠΎΠ±ΠΎΡΡΠ΄ΠΎΠ²Π°Π½ΠΈΡ [19]. ΠΠ΅ΡΡΠ°Π±ΠΈΠ»ΡΠ½ΠΎΡΡΡ Π±ΠΈΠΎΠ΄ΠΈΠ·Π΅Π»Ρ ΠΎΠ±ΡΡΠ½ΠΎ ΠΎΠ±ΡΡΡΠ½ΡΠ΅ΡΡΡ Π½Π΅Π½Π°ΡΡΡΠ΅Π½Π½ΠΎΡΡΡΡ, ΠΏΡΠΈΡΡΡΡΡΠ²ΡΡΡΠ΅ΠΉ Π² ΡΠ΅ΠΏΡΡ ΠΆΠΈΡΠ½ΡΡ ΠΊΠΈΡΠ»ΠΎΡ. ΠΠΎΠ»ΡΡΠΈΠ½ΡΡΠ²ΠΎ ΠΆΠΈΡΠ½ΡΡ ΠΊΠΈΡΠ»ΠΎΡ (ΠΈ, ΡΠ»Π΅Π΄ΠΎΠ²Π°ΡΠ΅Π»ΡΠ½ΠΎ, ΡΠΎΠΎΡΠ²Π΅ΡΡΡΠ²ΡΡΡΠΈΠ΅ ΠΌΠΎΠ»Π΅ΠΊΡΠ»Ρ FAME) ΡΠΎΠ΄Π΅ΡΠΆΠ°Ρ Π΄Π²ΠΎΠΉΠ½ΡΠ΅ ΡΠ²ΡΠ·ΠΈ (Π½Π΅Π½Π°ΡΡΡΠ΅Π½Π½ΠΎΡΡΡ), ΠΊΠΎΡΠΎΡΡΠ΅ ΡΠΎ Π²ΡΠ΅ΠΌΠ΅Π½Π΅ΠΌ ΠΌΠΎΠ³ΡΡ ΠΏΡΠΈΠ²Π΅ΡΡΠΈ ΠΊ Π΄Π΅Π³ΡΠ°Π΄Π°ΡΠΈΠΈ ΠΌΠΎΠ»Π΅ΠΊΡΠ», ΠΎΡΠΎΠ±Π΅Π½Π½ΠΎ Π΅ΡΠ»ΠΈ FAME Ρ ΡΠ°Π½ΠΈΡΡΡ Π² ΡΠ΅ΡΠ΅Π½ΠΈΠ΅ ΠΏΡΠΎΠ΄ΠΎΠ»ΠΆΠΈΡΠ΅Π»ΡΠ½ΡΡ ΠΏΠ΅ΡΠΈΠΎΠ΄ΠΎΠ² Π²ΡΠ΅ΠΌΠ΅Π½ΠΈ [4]. Π Π°Π·Π½ΠΎΠ΅ ΡΡΡΡΠ΅ ΡΠΎΠ΄Π΅ΡΠΆΠΈΡ ΡΠ°Π·Π½ΠΎΠ΅ ΠΊΠΎΠ»ΠΈΡΠ΅ΡΡΠ²ΠΎ Π½Π΅Π½Π°ΡΡΡΠ΅Π½Π½ΠΎΡΡΠΈ.Π Π·Π°Π²ΠΈΡΠΈΠΌΠΎΡΡΠΈ ΠΎΡ ΡΠ°ΠΊΡΠΎΡΠΎΠ² ΠΎΠΊΡΡΠΆΠ°ΡΡΠ΅ΠΉ ΡΡΠ΅Π΄Ρ, ΡΠ°ΠΊΠΈΡ ΠΊΠ°ΠΊ ΡΠ΅ΠΌΠΏΠ΅ΡΠ°ΡΡΡΠ° ΠΈ / ΠΈΠ»ΠΈ Π²ΠΎΠ·Π΄Π΅ΠΉΡΡΠ²ΠΈΠ΅ Π²ΠΎΠ·Π΄ΡΡ Π°, ΡΡΠΎ ΡΠ½ΠΈΠΆΠ΅Π½ΠΈΠ΅ ΡΡΠ°Π±ΠΈΠ»ΡΠ½ΠΎΡΡΠΈ ΡΠΎ Π²ΡΠ΅ΠΌΠ΅Π½Π΅ΠΌ ΠΌΠΎΠΆΠ΅Ρ Π±ΡΡΡ ΠΎΡΠ΅Π½Ρ Π±ΠΎΠ»ΡΡΠΈΠΌ. Π’Π°ΠΊΠΈΠ΅ ΡΠ°ΠΊΡΠΎΡΡ, ΠΊΠ°ΠΊ Π²ΠΎΠ·Π΄Π΅ΠΉΡΡΠ²ΠΈΠ΅ ΡΠ²Π΅ΡΠ°, Π²ΡΡΠΎΠΊΠΈΡ ΡΠ΅ΠΌΠΏΠ΅ΡΠ°ΡΡΡ ΠΈ Π½Π΅ΠΊΠΎΡΠΎΡΡΡ Π·Π°Π³ΡΡΠ·Π½ΠΈΡΠ΅Π»Π΅ΠΉ, ΠΎΡΠΎΠ±Π΅Π½Π½ΠΎ ΠΌΠ΅ΡΠ°Π»Π»ΠΎΠ², ΡΠ°ΠΊΠΈΡ ΠΊΠ°ΠΊ ΠΌΠ΅Π΄Ρ [4, 19], ΠΌΠΎΠ³ΡΡ ΡΡΡΠ³ΡΠ±ΠΈΡΡ ΠΏΡΠΎΠ±Π»Π΅ΠΌΡ.
Π‘ΡΠ°Π±ΠΈΠ»ΡΠ½ΠΎΡΡΡ ΠΈ ΡΠ°Π·Π»ΠΎΠΆΠ΅Π½ΠΈΠ΅ Π±ΠΈΠΎΠ΄ΠΈΠ·Π΅Π»Ρ Π±ΡΠ»ΠΈ ΡΠΈΡΠΎΠΊΠΎ ΠΈΡΡΠ»Π΅Π΄ΠΎΠ²Π°Π½Ρ, ΠΈ Π±ΡΠ» Π΄ΠΎΡΡΠΈΠ³Π½ΡΡ ΠΊΠΎΠ½ΡΠ΅Π½ΡΡΡ ΠΎΡΠ½ΠΎΡΠΈΡΠ΅Π»ΡΠ½ΠΎ ΠΎΠ±ΡΠ΅Π³ΠΎ ΠΌΠ΅Ρ Π°Π½ΠΈΠ·ΠΌΠ° ΡΠ°Π·Π»ΠΎΠΆΠ΅Π½ΠΈΡ ΡΠΈΡΡΠΎΠ³ΠΎ FAME [9]. ΠΠΈΠΎΠ΄ΠΈΠ·Π΅Π»ΡΠ½ΠΎΠ΅ ΡΠΎΠΏΠ»ΠΈΠ²ΠΎ ΠΎΠ±ΡΡΠ½ΠΎ ΡΠΎΡΡΠΎΠΈΡ ΠΈΠ· ΠΌΠ΅ΡΠΈΠ»ΠΎΠ²ΡΡ ΡΡΠΈΡΠΎΠ² ΠΊΠ°ΡΠ±ΠΎΠ½ΠΎΠ²ΡΡ ΠΊΠΈΡΠ»ΠΎΡ C 16 ΠΈ C 18 , ΡΠΎΠ΄Π΅ΡΠΆΠ°ΡΠΈΡ ΠΎΡ 0 Π΄ΠΎ 3 Π½Π΅Π½Π°ΡΡΡΠ΅Π½Π½ΡΡ ΡΠ²ΡΠ·Π΅ΠΉ.Π ΠΏΠΎΠ»ΠΈΠ½Π΅Π½Π°ΡΡΡΠ΅Π½Π½ΠΎΠΉ ΡΠ΅ΠΏΠΈ Π΄Π²ΠΎΠΉΠ½ΡΠ΅ ΡΠ²ΡΠ·ΠΈ ΠΎΠ±ΡΡΠ½ΠΎ Π½Π΅ ΡΠΎΠΏΡΡΠΆΠ΅Π½Ρ, Π° ΡΠ°Π·Π΄Π΅Π»Π΅Π½Ρ ΠΌΠ΅ΡΠΈΠ»Π΅Π½ΠΎΠ²ΠΎΠΉ (CH 2 ) Π³ΡΡΠΏΠΏΠΎΠΉ, ΠΈΠ·Π²Π΅ΡΡΠ½ΠΎΠΉ ΠΊΠ°ΠΊ Π±ΠΈΡΠ°Π»Π»ΠΈΠ»ΡΠ½Π°Ρ Π³ΡΡΠΏΠΏΠ°. ΠΠ»Ρ ΡΠ»ΠΎΠΆΠ½ΡΡ ΡΡΠΈΡΠΎΠ² ΠΊΠ°ΡΠ±ΠΎΠ½ΠΎΠ²ΡΡ ΠΊΠΈΡΠ»ΠΎΡ C 18 , ΡΠΎΠ΄Π΅ΡΠΆΠ°ΡΠΈΡ ΠΎΠ΄Π½Ρ Π΄Π²ΠΎΠΉΠ½ΡΡ ΡΠ²ΡΠ·Ρ, ΠΌΠΎΠ»Π΅ΠΊΡΠ»Π° ΠΈΠ·Π²Π΅ΡΡΠ½Π° ΠΊΠ°ΠΊ ΠΎΠ»Π΅ΠΈΠ½ΠΎΠ²Π°Ρ ΠΊΠΈΡΠ»ΠΎΡΠ°, 2 = Π»ΠΈΠ½ΠΎΠ»Π΅Π²Π°Ρ ΠΈ 3 = Π»ΠΈΠ½ΠΎΠ»Π΅Π½ΠΎΠ²Π°Ρ ΠΊΠΈΡΠ»ΠΎΡΠ°. ΠΠ°ΠΊ ΠΏΡΠ°Π²ΠΈΠ»ΠΎ, ΡΠΊΠΎΡΠΎΡΡΡ ΠΎΠΊΠΈΡΠ»Π΅Π½ΠΈΡ FAME ΡΠ²Π΅Π»ΠΈΡΠΈΠ²Π°Π΅ΡΡΡ Ρ ΡΠ²Π΅Π»ΠΈΡΠ΅Π½ΠΈΠ΅ΠΌ ΠΊΠΎΠ»ΠΈΡΠ΅ΡΡΠ²Π° Π΄Π²ΠΎΠΉΠ½ΡΡ ΡΠ²ΡΠ·Π΅ΠΉ ΠΈ ΠΏΠΎΠ»ΠΎΠΆΠ΅Π½ΠΈΡ Π΄Π²ΠΎΠΉΠ½ΡΡ ΡΠ²ΡΠ·Π΅ΠΉ. ΠΠΊΠΈΡΠ»ΠΈΡΠ΅Π»ΡΠ½Π°Ρ ΡΡΠ°Π±ΠΈΠ»ΡΠ½ΠΎΡΡΡ ΠΌΠΎΠ»Π΅ΠΊΡΠ» ΡΠ½ΠΈΠΆΠ°Π΅ΡΡΡ Π² ΡΠ»Π΅Π΄ΡΡΡΠ΅ΠΌ ΠΏΠΎΡΡΠ΄ΠΊΠ΅ [19]: ΠΡΠΎ ΠΏΡΠΎΠΈΡΡ ΠΎΠ΄ΠΈΡ Π³Π»Π°Π²Π½ΡΠΌ ΠΎΠ±ΡΠ°Π·ΠΎΠΌ ΠΈΠ·-Π·Π° ΡΠΎΠ³ΠΎ, ΡΡΠΎ ΡΡΠΈΠ½Π΅Π½Π°ΡΡΡΠ΅Π½Π½ΡΠ΅ ΠΌΠΎΠ»Π΅ΠΊΡΠ»Ρ ΠΈΠΌΠ΅ΡΡ Π±ΠΎΠ»ΡΡΠ΅ ΡΠ΅Π°ΠΊΡΠΈΠΎΠ½Π½ΡΡ ΡΠ΅Π½ΡΡΠΎΠ² Π΄Π»Ρ ΠΈΠ½ΠΈΡΠΈΠ°ΡΠΈΠΈ ΡΠ°Π·Π»ΠΎΠΆΠ΅Π½ΠΈΡ, ΡΠ΅ΠΌ ΠΌΠΎΠ½ΠΎΠ½Π΅Π½Π°ΡΡΡΠ΅Π½Π½ΡΠ΅ ΡΠ΅ΠΏΠΈ.ΠΠ° ΡΡΠ°Π±ΠΈΠ»ΡΠ½ΠΎΡΡΡ Π±ΠΈΠΎΠ΄ΠΈΠ·Π΅Π»Ρ Π² Π·Π½Π°ΡΠΈΡΠ΅Π»ΡΠ½ΠΎΠΉ ΡΡΠ΅ΠΏΠ΅Π½ΠΈ Π²Π»ΠΈΡΠ΅Ρ ΠΊΠΎΠ»ΠΈΡΠ΅ΡΡΠ²ΠΎ ΠΈ ΠΏΠΎΠ»ΠΎΠΆΠ΅Π½ΠΈΠ΅ Π±ΠΈΡΠ°Π»Π»ΠΈΠ»ΡΠ½ΡΡ ΠΌΠ΅ΡΠΈΠ»Π΅Π½ΠΎΠ²ΡΡ ΡΡΠ°Π³ΠΌΠ΅Π½ΡΠΎΠ², Π° Π½Π΅ ΠΊΠΎΠ»ΠΈΡΠ΅ΡΡΠ²ΠΎ Π΄Π²ΠΎΠΉΠ½ΡΡ ΡΠ²ΡΠ·Π΅ΠΉ [19]. ΠΡΠΈ ΡΠ°ΠΉΡΡ ΡΠ»ΡΠΆΠ°Ρ ΡΠ°ΠΉΡΠ°ΠΌΠΈ ΠΈΠ½ΠΈΡΠΈΠ°ΡΠΈΠΈ ΠΈ ΠΈΠ½ΠΈΡΠΈΠΈΡΡΡΡ ΡΠΈΠΊΠ» Π΄Π΅Π³ΡΠ°Π΄Π°ΡΠΈΠΈ.
Π’ΠΎΡΠ½ΠΎΠ΅ ΠΌΠΎΠ΄Π΅Π»ΠΈΡΠΎΠ²Π°Π½ΠΈΠ΅ Ρ Π°ΡΠ°ΠΊΡΠ΅ΡΠΈΡΡΠΈΠΊ ΡΡΠ°Π±ΠΈΠ»ΡΠ½ΠΎΡΡΠΈ FAME Π·Π°ΡΡΡΠ΄Π½Π΅Π½ΠΎ: ΡΡΠΎ ΡΠ²ΡΠ·Π°Π½ΠΎ Ρ ΡΡΠ΄ΠΎΠΌ ΡΠ°ΠΊΡΠΎΡΠΎΠ², ΠΈΠ³ΡΠ°ΡΡΠΈΡ ΡΠΎΠ»Ρ Π² ΠΎΠΏΡΠ΅Π΄Π΅Π»Π΅Π½ΠΈΠΈ ΠΎΠΊΠΎΠ½ΡΠ°ΡΠ΅Π»ΡΠ½ΠΎΠΉ ΡΡΠ°Π±ΠΈΠ»ΡΠ½ΠΎΡΡΠΈ ΡΠΎΠΏΠ»ΠΈΠ²Π° [20].
ΠΠ΅ΡΠΊΠΎΠ»ΡΠΊΠΎ ΡΡΡΠ°Π½ Π²Π²Π΅Π»ΠΈ ΠΌΠΈΠ½ΠΈΠΌΠ°Π»ΡΠ½ΡΠ΅ ΠΊΡΠΈΡΠ΅ΡΠΈΠΈ ΡΡΠ°Π±ΠΈΠ»ΡΠ½ΠΎΡΡΠΈ Π΄Π»Ρ ΡΠΈΡΡΠΎΠ³ΠΎ FAME, Π² ΠΎΡΠ½ΠΎΠ²Π½ΠΎΠΌ ΠΎΡΠ½ΠΎΠ²Π°Π½Π½ΡΠ΅ Π½Π° ΡΠ΅ΡΡΠ΅ Rancimat (EN14112 ΠΈ EN15751).Π ΠΠ²ΡΠΎΠΏΠ΅ ΡΠΊΠ°Π·Π°Π½ΠΎ ΠΌΠΈΠ½ΠΈΠΌΠ°Π»ΡΠ½ΠΎΠ΅ Π²ΡΠ΅ΠΌΡ ΠΈΠ½Π΄ΡΠΊΡΠΈΠΈ Rancimat, ΡΠ°Π²Π½ΠΎΠ΅ 8 ΡΠ°ΡΠ°ΠΌ (ΡΠ°Π½Π΅Π΅ — 6 ΡΠ°ΡΠΎΠ²), ΡΠΎΠ³Π΄Π° ΠΊΠ°ΠΊ Π² Π‘Π¨Π ΡΡΠ΅Π±ΡΠ΅ΡΡΡ ΠΌΠΈΠ½ΠΈΠΌΡΠΌ 3 ΡΠ°ΡΠ°. ΠΠ°ΠΆΠ½ΠΎ ΠΏΠΎΠΌΠ½ΠΈΡΡ, ΡΡΠΎ Π±ΠΎΠ»ΡΡΠΈΠ½ΡΡΠ²ΠΎ ΡΠ°ΡΡΠΈΡΠ΅Π»ΡΠ½ΡΡ ΠΌΠ°ΡΠ΅Π» ΡΠΎΠ΄Π΅ΡΠΆΠ°Ρ Π½Π°ΡΡΡΠ°Π»ΡΠ½ΡΠ΅ Π°Π½ΡΠΈΠΎΠΊΡΠΈΠ΄Π°Π½ΡΡ. Π’ΠΈΠΏΠΈΡΠ½ΡΠΉ ΠΏΡΠΈΠΌΠ΅Ρ — ΡΠΎΠΊΠΎΡΠ΅ΡΠΎΠ»Ρ, ΠΏΡΠ΅Π΄ΡΡΠ°Π²Π»ΡΡΡΠΈΠ΅ ΡΠΎΠ±ΠΎΠΉ Π·Π°ΡΡΡΠ΄Π½Π΅Π½Π½ΡΡ ΡΠ΅Π½ΠΎΠ»ΡΠ½ΡΡ ΠΌΠΎΠ»Π΅ΠΊΡΠ»Ρ. ΠΠ΄Π½Π°ΠΊΠΎ Π΅Π³ΠΎ ΠΌΠΎΠΆΠ½ΠΎ ΡΠ΄Π°Π»ΠΈΡΡ Π½Π° Π½Π΅ΠΊΠΎΡΠΎΡΡΡ ΡΡΠ°Π΄ΠΈΡΡ ΠΎΡΠΈΡΡΠΊΠΈ Π²ΠΎ Π²ΡΠ΅ΠΌΡ ΠΏΡΠΎΠΈΠ·Π²ΠΎΠ΄ΡΡΠ²Π° Π±ΠΈΠΎΠ΄ΠΈΠ·Π΅Π»Ρ.
Π₯ΠΎΡΡ Π΄ΠΈΠ·Π΅Π»ΡΠ½ΠΎΠ΅ ΡΠΎΠΏΠ»ΠΈΠ²ΠΎ, ΠΏΠΎΠ»ΡΡΠ΅Π½Π½ΠΎΠ΅ ΠΈΠ· Π½Π΅ΡΡΠΈ, ΠΎΠ±ΡΡΠ½ΠΎ ΡΡΠ°Π±ΠΈΠ»ΡΠ½ΠΎ Π² ΡΠ΅ΡΠ΅Π½ΠΈΠ΅ ΠΎΡΠ½ΠΎΡΠΈΡΠ΅Π»ΡΠ½ΠΎ Π΄Π»ΠΈΡΠ΅Π»ΡΠ½ΡΡ ΠΏΠ΅ΡΠΈΠΎΠ΄ΠΎΠ² Π²ΡΠ΅ΠΌΠ΅Π½ΠΈ, Π΄ΠΎΠ±Π°Π²Π»Π΅Π½ΠΈΠ΅ Π΄Π°ΠΆΠ΅ Π½Π΅Π±ΠΎΠ»ΡΡΠΈΡ ΠΊΠΎΠ»ΠΈΡΠ΅ΡΡΠ² FAME ΠΏΡΠΈΠ²Π΅Π΄Π΅Ρ ΠΊ Π·Π½Π°ΡΠΈΡΠ΅Π»ΡΠ½ΠΎΠΌΡ ΡΠ½ΠΈΠΆΠ΅Π½ΠΈΡ ΡΡΠ°Π±ΠΈΠ»ΡΠ½ΠΎΡΡΠΈ ΡΠΌΠ΅ΡΠΈ FAME / Π΄ΠΈΠ·Π΅Π»ΡΠ½ΠΎΠ΅ ΡΠΎΠΏΠ»ΠΈΠ²ΠΎ, ΠΏΠΎΠ»ΡΡΠ΅Π½Π½ΠΎΠ΅ ΠΈΠ· Π½Π΅ΡΡΠΈ.
1.4. Π‘ΡΠ°Π±ΠΈΠ»ΡΠ½ΠΎΡΡΡ Π΄ΠΈΠ·Π΅Π»ΡΠ½ΡΡ ΡΠΌΠ΅ΡΠ΅ΠΉ FAME / FT
Π ΠΎΡΠΊΡΡΡΠΎΠΉ Π»ΠΈΡΠ΅ΡΠ°ΡΡΡΠ΅ ΠΈΠΌΠ΅Π΅ΡΡΡ ΠΎΠ³ΡΠ°Π½ΠΈΡΠ΅Π½Π½Π°Ρ ΠΈΠ½ΡΠΎΡΠΌΠ°ΡΠΈΡ ΠΎ ΡΡΠ°Π±ΠΈΠ»ΡΠ½ΠΎΡΡΠΈ Π΄ΠΈΠ·Π΅Π»ΡΠ½ΡΡ ΡΠΌΠ΅ΡΠ΅ΠΉ FAME / FT. ΠΡΠΎ ΠΌΠΎΠΆΠ΅Ρ Π±ΡΡΡ ΡΠ΅Π·ΡΠ»ΡΡΠ°ΡΠΎΠΌ ΡΠΎΠ³ΠΎ, ΡΡΠΎ Π΄ΠΈΠ·Π΅Π»ΡΠ½ΠΎΠ΅ ΡΠΎΠΏΠ»ΠΈΠ²ΠΎ FT ΠΈΡΠΏΠΎΠ»ΡΠ·ΡΠ΅ΡΡΡ Π² ΠΎΡΠ½ΠΎΠ²Π½ΠΎΠΌ Π² ΠΊΠ°ΡΠ΅ΡΡΠ²Π΅ ΠΊΠΎΠΌΠΏΠΎΠ½Π΅Π½ΡΠ° ΡΠΌΠ΅ΡΠΈ Π² ΡΠΎΠΏΠ»ΠΈΠ²Π°Ρ , ΠΏΠΎΠ»ΡΡΠ΅Π½Π½ΡΡ ΠΈΠ· Π½Π΅ΡΡΠΈ, ΠΎΠ±ΡΡΠ½ΠΎ ΡΠΎΠ»ΡΠΊΠΎ Π΄ΠΎ 20 ΠΎΠ±.% ΠΠΈΠ·Π΅Π»ΡΠ½ΠΎΠ³ΠΎ ΡΠΎΠΏΠ»ΠΈΠ²Π° FT [6].
Mushrush et al. [8, 21] ΠΈΡΡΠ»Π΅Π΄ΠΎΠ²Π°Π»ΠΈ ΡΡΠ°Π±ΠΈΠ»ΡΠ½ΠΎΡΡΡ ΡΡΠ΅Ρ ΠΊΠΎΠΌΠΏΠΎΠ½Π΅Π½ΡΠ½ΡΡ ΡΠΌΠ΅ΡΠ΅ΠΉ (ULSD, SME ΠΈ FT Π΄ΠΈΠ·Π΅Π»Ρ). Π ΡΡΠΎΠΌ ΠΈΡΡΠ»Π΅Π΄ΠΎΠ²Π°Π½ΠΈΠΈ ASTM D5304 ΠΈΡΠΏΠΎΠ»ΡΠ·ΠΎΠ²Π°Π»ΡΡ Π΄Π»Ρ ΠΎΡΠ΅Π½ΠΊΠΈ ΡΡΠ°Π±ΠΈΠ»ΡΠ½ΠΎΡΡΠΈ ΡΠΎΠΏΠ»ΠΈΠ²Π°.ΠΠ½Π°ΡΠ΅Π½ΠΈΠ΅ ΠΌΠ΅Π½Π΅Π΅ 3 ΠΌΠ³ / 100 ΠΌΠ» ΡΡΠΈΡΠ°Π΅ΡΡΡ ΡΡΠ°Π±ΠΈΠ»ΡΠ½ΡΠΌ ΠΏΡΠΈ Ρ ΡΠ°Π½Π΅Π½ΠΈΠΈ. Π₯ΠΎΡΡ ΡΠΈΡΡΠΎΠ΅ Π΄ΠΈΠ·Π΅Π»ΡΠ½ΠΎΠ΅ ΡΠΎΠΏΠ»ΠΈΠ²ΠΎ, ΠΏΠΎΠ»ΡΡΠ΅Π½Π½ΠΎΠ΅ ΠΈΠ· Π½Π΅ΡΡΠΈ, ΠΈ Π΄ΠΈΠ·Π΅Π»Ρ FT ΡΠ°ΠΌΠΈ ΠΏΠΎ ΡΠ΅Π±Π΅ ΡΠ°Π±ΠΎΡΠ°Π»ΠΈ ΡΠ΄ΠΎΠ²Π»Π΅ΡΠ²ΠΎΡΠΈΡΠ΅Π»ΡΠ½ΠΎ, Mushrush et al. ΠΎΠ±Π½Π°ΡΡΠΆΠΈΠ»ΠΈ ΡΡΠ΅Π·Π²ΡΡΠ°ΠΉΠ½ΠΎ Π²ΡΡΠΎΠΊΠΈΠ΅ ΡΡΠΎΠ²Π½ΠΈ ΠΎΡΠ»ΠΎΠΆΠ΅Π½ΠΈΠΉ Π΄Π»Ρ ΡΠΌΠ΅ΡΠ΅ΠΉ ΡΠΎΠ΅Π²ΠΎΠ³ΠΎ Π±ΠΈΠΎΠ΄ΠΈΠ·Π΅Π»Ρ / Π΄ΠΈΠ·Π΅Π»ΡΠ½ΠΎΠ³ΠΎ ΡΠΎΠΏΠ»ΠΈΠ²Π° FT ΠΈ ΡΡΠΎΠΉΠ½ΡΡ ΡΠΌΠ΅ΡΠ΅ΠΉ Π΄ΠΈΠ·Π΅Π»ΡΠ½ΠΎΠ³ΠΎ ΡΠΎΠΏΠ»ΠΈΠ²Π° FT, Π½Π΅ΡΡΡΠ½ΠΎΠ³ΠΎ Π΄ΠΈΠ·Π΅Π»ΡΠ½ΠΎΠ³ΠΎ ΡΠΎΠΏΠ»ΠΈΠ²Π° ΠΈ ΡΠΎΠ΅Π²ΠΎΠ³ΠΎ Π±ΠΈΠΎΠ΄ΠΈΠ·Π΅Π»Ρ. ΠΠ΄Π½Π°ΠΊΠΎ Π² Π½Π°ΡΡΠΎΡΡΠ΅Π΅ Π²ΡΠ΅ΠΌΡ ΠΎΡΡΠ°ΡΠ»Π΅Π²ΠΎΠΉ ΠΊΠΎΠ½ΡΠ΅Π½ΡΡΡ ΡΠΎΡΡΠΎΠΈΡ Π² ΡΠΎΠΌ, ΡΡΠΎ ΡΡΠΈ ΠΎΠΊΠΈΡΠ»ΠΈΡΠ΅Π»ΡΠ½ΡΠ΅ ΡΠ΅ΡΡΡ, ΡΠ°ΠΊΠΈΠ΅ ΠΊΠ°ΠΊ ASTM D2274, ΠΏΡΠΈΠΌΠ΅Π½ΠΈΠΌΡ ΡΠΎΠ»ΡΠΊΠΎ ΠΊ ΡΠΌΠ΅ΡΡΠΌ, ΡΠΎΠ΄Π΅ΡΠΆΠ°ΡΠΈΠΌ Π΄ΠΎ 2% FAME, ΠΏΠΎΡΠ»Π΅ ΡΠ΅Π³ΠΎ Rancimat ΡΠ²Π»ΡΠ΅ΡΡΡ ΡΠ΅ΠΊΠΎΠΌΠ΅Π½Π΄ΡΠ΅ΠΌΡΠΌ ΠΌΠ΅ΡΠΎΠ΄ΠΎΠΌ ΠΈΠ·ΠΌΠ΅ΡΠ΅Π½ΠΈΡ ΡΡΠ°Π±ΠΈΠ»ΡΠ½ΠΎΡΡΠΈ [22].
Blignaut et al. [23] ΠΈΡΡΠ»Π΅Π΄ΠΎΠ²Π°Π»ΠΈ ΡΡΠ°Π±ΠΈΠ»ΡΠ½ΠΎΡΡΡ Rancimat Π½ΠΈΠ·ΠΊΠΎΡΠ΅ΠΌΠΏΠ΅ΡΠ°ΡΡΡΠ½ΠΎΠ³ΠΎ Π΄ΠΈΠ·Π΅Π»ΡΠ½ΠΎΠ³ΠΎ ΡΠΎΠΏΠ»ΠΈΠ²Π° Π€ΠΈΡΠ΅ΡΠ°-Π’ΡΠΎΠΏΡΠ° (LTFT) GTL ΠΈ Π²ΡΡΠΎΠΊΠΎΡΠ΅ΠΌΠΏΠ΅ΡΠ°ΡΡΡΠ½ΠΎΠ³ΠΎ Π΄ΠΈΠ·Π΅Π»ΡΠ½ΠΎΠ³ΠΎ ΡΠΎΠΏΠ»ΠΈΠ²Π° Π€ΠΈΡΠ΅ΡΠ°-Π’ΡΠΎΠΏΡΠ° (HTFT) Ρ Π±ΠΈΠΎΠ΄ΠΈΠ·Π΅Π»ΡΠ½ΡΠΌ ΡΠΎΠΏΠ»ΠΈΠ²ΠΎΠΌ ΠΈΠ· ΡΠΎΠΈ ΠΈ ΡΠ°ΠΏΡΠ°. Π‘ΠΌΠ΅ΡΠΈ, ΡΠΎΠ΄Π΅ΡΠΆΠ°ΡΠΈΠ΅ 0,5, 1, 5, 7, 10 ΠΈ 20%, ΡΡΠ°Π²Π½ΠΈΠ²Π°Π»ΠΈ Ρ ΠΈΡΠΏΠΎΠ»ΡΠ·ΠΎΠ²Π°Π½ΠΈΠ΅ΠΌ Π°Π½Π°Π»ΠΈΠ·Π° Rancimat. ΠΠ±Π° Π±ΠΈΠΎΠ΄ΠΈΠ·Π΅Π»Ρ Π±ΡΠ»ΠΈ Π΄ΠΎΠΏΠΎΠ»Π½Π΅Π½Ρ Π°Π½ΡΠΈΠΎΠΊΡΠΈΠ΄Π°Π½ΡΠ°ΠΌΠΈ ΠΈ ΡΠΎΠΎΡΠ²Π΅ΡΡΡΠ²ΠΎΠ²Π°Π»ΠΈ ΡΠΏΠ΅ΡΠΈΡΠΈΠΊΠ°ΡΠΈΠΈ EN14214. ΠΡΠ»ΠΎ ΠΏΠΎΠΊΠ°Π·Π°Π½ΠΎ, ΡΡΠΎ ΡΠΌΠ΅ΡΠΈ Π΄ΠΈΠ·Π΅Π»ΡΠ½ΠΎΠ³ΠΎ ΡΠΎΠΏΠ»ΠΈΠ²Π° FAME / LTFT Π² ΡΠ΅Π»ΠΎΠΌ Π±ΡΠ»ΠΈ Π±ΠΎΠ»Π΅Π΅ ΡΡΠ°Π±ΠΈΠ»ΡΠ½ΡΠΌΠΈ, ΡΠ΅ΠΌ Π΄ΠΈΠ·Π΅Π»ΡΠ½ΠΎΠ΅ ΡΠΎΠΏΠ»ΠΈΠ²ΠΎ FAME / ΠΏΠΎΠ»ΡΡΠ΅Π½Π½ΠΎΠ΅ ΠΈΠ· Π½Π΅ΡΡΠΈ.
De Goede et al.[7] ΠΏΠΎΠΊΠ°Π·Π°Π»ΠΈ Π°Π½Π°Π»ΠΎΠ³ΠΈΡΠ½ΡΠ΅ ΡΠ΅Π½Π΄Π΅Π½ΡΠΈΠΈ Π΄Π»Ρ Π΄ΠΈΠ·Π΅Π»ΡΠ½ΡΡ ΡΠΌΠ΅ΡΠ΅ΠΉ FAME / GTL ΠΏΠΎ ΡΡΠ°Π²Π½Π΅Π½ΠΈΡ Ρ Π΄ΠΈΠ·Π΅Π»ΡΠ½ΡΠΌΠΈ ΡΠΌΠ΅ΡΡΠΌΠΈ FAME / E590. ΠΠΈΠ·Π΅Π»ΡΠ½ΡΠ΅ ΡΠΌΠ΅ΡΠΈ FAME / GTL ΠΎΠ±ΡΡΠ½ΠΎ ΠΏΡΠ΅Π²ΠΎΡΡ ΠΎΠ΄ΡΡ ΡΠΊΠ²ΠΈΠ²Π°Π»Π΅Π½ΡΠ½ΡΠ΅ Π΄ΠΈΠ·Π΅Π»ΡΠ½ΡΠ΅ ΡΠΌΠ΅ΡΠΈ FAME / EN590.
Π ΠΏΡΠ΅Π΄Π²Π°ΡΠΈΡΠ΅Π»ΡΠ½ΠΎΠΉ ΠΏΠ°ΡΠ΅Π½ΡΠ½ΠΎΠΉ Π·Π°ΡΠ²ΠΊΠ΅ Shell [24] ΡΡΠ°Π²Π½ΠΈΠ²Π°Π»Π°ΡΡ ΡΡΠ°Π±ΠΈΠ»ΡΠ½ΠΎΡΡΡ ΡΠΌΠ΅ΡΠ΅ΠΉ. Π‘ΠΌΠ΅ΡΠΈ ΡΠΎΠ΄Π΅ΡΠΆΠ°Π»ΠΈ: (i) Π΄ΠΈΠ·Π΅Π»ΡΠ½ΠΎΠ΅ ΡΠΎΠΏΠ»ΠΈΠ²ΠΎ, ΠΎΡΠΈΡΠ΅Π½Π½ΠΎΠ΅ Π½Π° 50β90%, ΡΠΎΠ΄Π΅ΡΠΆΠ°ΡΠ΅Π΅ ΠΌΠ΅Π½Π΅Π΅ 500 ΡΠ°ΡΡΠ΅ΠΉ Π½Π° ΠΌΠΈΠ»Π»ΠΈΠΎΠ½ ΡΠ΅ΡΡ ΠΈ ΡΠΎΡΠΊΡ ΠΊΠΈΠΏΠ΅Π½ΠΈΡ Π² Π΄ΠΈΠ°ΠΏΠ°Π·ΠΎΠ½Π΅ 150β400 Β° C, (ii) Π΄ΠΈΠ·Π΅Π»ΡΠ½ΠΎΠ΅ ΡΠΎΠΏΠ»ΠΈΠ²ΠΎ, ΠΏΠΎΠ»ΡΡΠ΅Π½Π½ΠΎΠ΅ Π½Π° ΠΎΡΠ½ΠΎΠ²Π΅ 5β25% FT, (iii) 5-25% Π°Π»ΠΊΠΈΠ»ΠΎΠ²ΠΎΠ³ΠΎ ΡΡΠΈΡΠ° ΠΆΠΈΡΠ½ΡΡ ΠΊΠΈΡΠ»ΠΎΡ (FAME / FAEE). Π ΡΡΠΎΠΉ Π·Π°ΡΠ²ΠΊΠ΅ Π½Π° ΠΏΠ°ΡΠ΅Π½Ρ Cherrillo et al.ΠΈΡΠΏΠΎΠ»ΡΠ·ΠΎΠ²Π°Π»ΠΈ ΠΏΡΠΈΠ±ΠΎΡ Π΄Π»Ρ ΠΈΡΠΏΡΡΠ°Π½ΠΈΡ Π½Π° ΡΠ΅ΡΠΌΠΈΡΠ΅ΡΠΊΠΎΠ΅ ΠΎΠΊΠΈΡΠ»Π΅Π½ΠΈΠ΅ ΡΠ΅Π°ΠΊΡΠΈΠ²Π½ΠΎΠ³ΠΎ ΡΠΎΠΏΠ»ΠΈΠ²Π° (JFTOT) ΠΈ Π²ΡΠΏΠΎΠ»Π½ΠΈΠ»ΠΈ ΠΏΡΠΎΡΠ΅Π΄ΡΡΡ, Π°Π½Π°Π»ΠΎΠ³ΠΈΡΠ½ΡΡ ASTM D3241, ΠΎΠ±ΡΡΠ½ΠΎ ΠΈΡΠΏΠΎΠ»ΡΠ·ΡΠ΅ΠΌΡΡ Π΄Π»Ρ ΠΎΠΏΡΠ΅Π΄Π΅Π»Π΅Π½ΠΈΡ ΡΡΠ°Π±ΠΈΠ»ΡΠ½ΠΎΡΡΠΈ ΡΠ΅Π°ΠΊΡΠΈΠ²Π½ΠΎΠ³ΠΎ ΡΠΎΠΏΠ»ΠΈΠ²Π°. ΠΡΠ»ΠΎ ΠΎΠ±Π½Π°ΡΡΠΆΠ΅Π½ΠΎ, ΡΡΠΎ ΠΏΡΠΈ ΠΎΠΏΡΠ΅Π΄Π΅Π»Π΅Π½Π½ΡΡ ΡΠΎΠΎΡΠ½ΠΎΡΠ΅Π½ΠΈΡΡ ΠΊΠΎΠΌΠΏΠΎΠ½Π΅Π½ΡΠΎΠ² ΡΠΌΠ΅ΡΠΈ (Π² ΠΎΠ΄Π½ΠΎΠΌ ΠΏΡΠΈΠΌΠ΅ΡΠ΅ 90% ULSD, 5% GTL Π΄ΠΈΠ·Π΅Π»ΡΠ½ΠΎΠ΅ ΡΠΎΠΏΠ»ΠΈΠ²ΠΎ ΠΈ 5% SME) ΡΠΌΠ΅ΡΡ ΠΏΠΎΠΊΠ°Π·ΡΠ²Π°Π»Π° Π·Π½Π°ΡΠΈΡΠ΅Π»ΡΠ½ΠΎ ΡΠ»ΡΡΡΠ΅Π½Π½ΡΡ ΡΡΠ°Π±ΠΈΠ»ΡΠ½ΠΎΡΡΡ ΠΏΠΎ ΡΡΠ°Π²Π½Π΅Π½ΠΈΡ Ρ ULSD ΡΠΈΡΡΠΎΠ³ΠΎ Π½Π΅ΡΡΡΠ½ΠΎΠ³ΠΎ ΠΏΡΠΎΠΈΡΡ ΠΎΠΆΠ΄Π΅Π½ΠΈΡ. ΠΡΠΎΡ ΡΡΡΠ΅ΠΊΡ Π½Π΅ Π½Π°Π±Π»ΡΠ΄Π°Π»ΡΡ Π΄Π»Ρ ΡΠΈΡΡΠΎΠ³ΠΎ SME ΠΈΠ»ΠΈ ΡΠΌΠ΅ΡΠΈ Π΄ΠΈΠ·Π΅Π»ΡΠ½ΠΎΠ³ΠΎ ΡΠΎΠΏΠ»ΠΈΠ²Π° 95% ULSD / 5% GTL. ΠΠΎΠ·ΠΌΠΎΠΆΠ½ΠΎΠ΅ ΠΎΠ±ΡΡΡΠ½Π΅Π½ΠΈΠ΅ ΡΡΠΎΠ³ΠΎ ΡΠ²Π»Π΅Π½ΠΈΡ Π·Π°ΠΊΠ»ΡΡΠ°Π»ΠΎΡΡ Π² ΡΠΎΠΌ, ΡΡΠΎ ΠΏΡΠΈ ΠΏΡΠ°Π²ΠΈΠ»ΡΠ½ΡΡ ΡΡΠ»ΠΎΠ²ΠΈΡΡ ΡΠ΅ΠΌΠΏΠ΅ΡΠ°ΡΡΡΡ ΠΈ ΡΠΎΡΡΠ°Π²Π° ΠΌΠΎΠ»Π΅ΠΊΡΠ»Ρ SME ΠΈΠ»ΠΈ ΠΏΠΎΠ»ΡΡΠ½ΡΠ΅ ΠΏΡΠΎΠ΄ΡΠΊΡΡ ΡΠ°Π·Π»ΠΎΠΆΠ΅Π½ΠΈΡ ΠΎΡ SME ΠΌΠΎΠ³ΡΡ Π΄Π΅ΠΉΡΡΠ²ΠΎΠ²Π°ΡΡ ΠΊΠ°ΠΊ ΠΏΠΎΠ²Π΅ΡΡ Π½ΠΎΡΡΠ½ΠΎ-Π°ΠΊΡΠΈΠ²Π½ΡΠ΅ ΠΊΠΎΠΌΠΏΠΎΠ½Π΅Π½ΡΡ Π΄Π»Ρ ΠΏΠΎΠ΄Π΄Π΅ΡΠΆΠ°Π½ΠΈΡ ΡΠΈΡΡΠΎΡΡ ΠΏΠΎΠ²Π΅ΡΡ Π½ΠΎΡΡΠ΅ΠΉ, ΠΏΠΎΠ΄Π²Π΅ΡΠΆΠ΅Π½Π½ΡΡ ΠΎΡΠ»ΠΎΠΆΠ΅Π½ΠΈΡΠΌ ΠΎΡ ΡΠ³Π»Π΅Π²ΠΎΠ΄ΠΎΡΠΎΠ΄Π½ΠΎΠ³ΠΎ ΡΠΎΠΏΠ»ΠΈΠ²Π° [24].
2. ΠΠ΅ΡΠΎΠ΄Ρ ΠΈΠ·ΠΌΠ΅ΡΠ΅Π½ΠΈΡ ΡΡΡΠΎΠΉΡΠΈΠ²ΠΎΡΡΠΈ
ΠΡΠ»ΠΎ ΡΠ°Π·ΡΠ°Π±ΠΎΡΠ°Π½ΠΎ Π½Π΅ΡΠΊΠΎΠ»ΡΠΊΠΎ ΠΌΠ΅ΡΠΎΠ΄ΠΎΠ² ΠΎΠΏΡΠ΅Π΄Π΅Π»Π΅Π½ΠΈΡ ΡΡΡΠΎΠΉΡΠΈΠ²ΠΎΡΡΠΈ Π΄Π»Ρ ΠΎΠΏΡΠ΅Π΄Π΅Π»Π΅Π½ΠΈΡ Π²Π½ΡΡΡΠ΅Π½Π½Π΅ΠΉ ΡΡΡΠΎΠΉΡΠΈΠ²ΠΎΡΡΠΈ Π΄ΠΈΠ·Π΅Π»ΡΠ½ΠΎΠ³ΠΎ ΡΠΎΠΏΠ»ΠΈΠ²Π°. ΠΠΎΠ»ΡΡΠΈΠ½ΡΡΠ²ΠΎ ΡΡΠΈΡ ΠΌΠ΅ΡΠΎΠ΄ΠΎΠ² ΠΏΡΠΎΠ²ΠΎΠ΄ΠΈΡΡΡ ΠΏΡΠΈ ΠΏΠΎΠ²ΡΡΠ΅Π½Π½ΡΡ ΡΠ΅ΠΌΠΏΠ΅ΡΠ°ΡΡΡΠ°Ρ (ΡΡΠΎΠ±Ρ ΡΠΎΠΊΡΠ°ΡΠΈΡΡ Π²ΡΠ΅ΠΌΡ Π°Π½Π°Π»ΠΈΠ·Π°). ΠΡΠΈ ΠΌΠ΅ΡΠΎΠ΄Ρ ΠΌΠΎΠ³ΡΡ Π½Π΅ ΠΎΠ±ΡΠ·Π°ΡΠ΅Π»ΡΠ½ΠΎ ΡΠΎΠΎΡΠ²Π΅ΡΡΡΠ²ΠΎΠ²Π°ΡΡ ΠΏΠΎΠ»Π΅Π²ΠΎΠΌΡ ΠΎΠΏΡΡΡ [5], ΠΏΠΎΡΠΊΠΎΠ»ΡΠΊΡ ΠΌΠ΅Ρ Π°Π½ΠΈΠ·ΠΌΡ ΡΠ°Π·Π»ΠΎΠΆΠ΅Π½ΠΈΡ, ΠΏΡΠΈΠΌΠ΅Π½ΠΈΠΌΡΠ΅ Π² ΡΡΠ»ΠΎΠ²ΠΈΡΡ Π±ΠΎΠ»Π΅Π΅ Π²ΡΡΠΎΠΊΠΈΡ ΡΠ΅ΠΌΠΏΠ΅ΡΠ°ΡΡΡ, ΡΠΈΠΏΠΈΡΠ½ΡΡ Π΄Π»Ρ ΡΡΠΈΡ ΡΡΠΊΠΎΡΠ΅Π½Π½ΡΡ ΠΈΡΠΏΡΡΠ°Π½ΠΈΠΉ, ΠΌΠΎΠ³ΡΡ Π½Π΅ ΡΠΎΠΎΡΠ²Π΅ΡΡΡΠ²ΠΎΠ²Π°ΡΡ ΡΠ°ΠΊΠΎΠ²ΡΠΌ Π² Π½ΠΎΡΠΌΠ°Π»ΡΠ½ΡΡ ΡΡΠ»ΠΎΠ²ΠΈΡΡ .
Π’ΠΈΠΏΠΈΡΠ½ΡΠ΅ Π»Π°Π±ΠΎΡΠ°ΡΠΎΡΠ½ΡΠ΅ ΠΌΠ΅ΡΠΎΠ΄Ρ ΡΠ΅ΡΡΠΈΡΠΎΠ²Π°Π½ΠΈΡ ΡΡΠ°Π±ΠΈΠ»ΡΠ½ΠΎΡΡΠΈ ΠΏΡΠ΅Π΄ΡΡΠ°Π²Π»Π΅Π½Ρ Π² ΡΠ°Π±Π»ΠΈΡΠ΅ 1.
3. ΠΠΊΡΠΏΠ΅ΡΠΈΠΌΠ΅Π½ΡΠ°Π»ΡΠ½ΡΠ΅
3.1. ΠΠΈΠ΄Ρ ΡΠΎΠΏΠ»ΠΈΠ²Π°, ΠΎΡΠ΅Π½ΠΈΠ²Π°Π΅ΠΌΡΠ΅ Π² ΡΡΠΎΠΌ ΠΈΡΡΠ»Π΅Π΄ΠΎΠ²Π°Π½ΠΈΠΈ
Π ΡΠ΅ΠΊΡΡΠ΅ΠΌ ΠΈΡΡΠ»Π΅Π΄ΠΎΠ²Π°Π½ΠΈΠΈ ΠΎΡΠ΅Π½ΠΈΠ²Π°Π»ΠΈΡΡ ΡΠ»Π΅Π΄ΡΡΡΠΈΠ΅ Π²ΠΈΠ΄Ρ ΡΠΎΠΏΠ»ΠΈΠ²Π° (ΡΠΈΡΡΡΠ΅ ΠΈ ΡΠΌΠ΅ΡΠ°Π½Π½ΡΠ΅). Π‘Π²ΠΎΠΉΡΡΠ²Π° ΡΠΎΠΏΠ»ΠΈΠ²Π° ΠΏΡΠΈΠ²Π΅Π΄Π΅Π½Ρ Π² Π’Π°Π±Π»ΠΈΡΠ°Ρ 5-8. (1) ΠΠΈΠ·Π΅Π»ΡΠ½ΠΎΠ΅ ΡΠΎΠΏΠ»ΠΈΠ²ΠΎ US 2-D: ΡΡΠΎ Π±ΡΠ»ΠΎ ΡΠΏΠ΅ΡΠΈΠ°Π»ΡΠ½ΠΎ ΡΠΌΠ΅ΡΠ°Π½Π½ΠΎΠ΅ ΠΊΠΎΠΌΠΌΠ΅ΡΡΠ΅ΡΠΊΠΎΠ΅ ΡΡΠ°Π»ΠΎΠ½Π½ΠΎΠ΅ ΡΠΎΠΏΠ»ΠΈΠ²ΠΎ, ΡΠΌΠ΅ΡΠ°Π½Π½ΠΎΠ΅ ΠΈΠ· ΠΏΠΎΡΠΎΠΊΠΎΠ² ΠΊΠΎΠΌΠΏΠΎΠ½Π΅Π½ΡΠΎΠ². Π‘Π²ΠΎΠΉΡΡΠ²Π° ΡΡΠΎΠ³ΠΎ ΡΠΎΠΏΠ»ΠΈΠ²Π° ΠΏΡΠΈΠ²Π΅Π΄Π΅Π½Ρ Π² Π’Π°Π±Π»ΠΈΡΠ΅ 5. ΠΡΠ»ΠΎ Π½Π΅ΡΡΠ½ΠΎ, ΡΠΎΠ΄Π΅ΡΠΆΠΈΡ Π»ΠΈ ΡΡΠΎ ΡΠΎΠΏΠ»ΠΈΠ²ΠΎ ΠΊΠ°ΠΊΠΈΠ΅-Π»ΠΈΠ±ΠΎ Π°Π½ΡΠΈΠΎΠΊΡΠΈΠ΄Π°Π½ΡΡ, Ρ ΠΎΡΡ Π² ΡΠ΅ΡΡΠΈΡΠΈΠΊΠ°ΡΠ΅ Π°Π½Π°Π»ΠΈΠ·Π° (CoA) Π½Π΅ Π±ΡΠ»ΠΎ Π½ΠΈΠΊΠ°ΠΊΠΈΡ ΡΠΊΠ°Π·Π°Π½ΠΈΠΉ.(2) ΠΠΈΠ·Π΅Π»ΡΠ½ΠΎΠ΅ ΡΠΎΠΏΠ»ΠΈΠ²ΠΎ EN590: ΡΡΠΎ ΡΡΠ°Π»ΠΎΠ½Π½ΠΎΠ΅ ΡΠΎΠΏΠ»ΠΈΠ²ΠΎ Π΄Π»Ρ Π½Π΅ΡΡΠ΅ΠΏΠ΅ΡΠ΅ΡΠ°Π±Π°ΡΡΠ²Π°ΡΡΠΈΡ Π·Π°Π²ΠΎΠ΄ΠΎΠ², ΡΠΏΠ΅ΡΠΈΠ°Π»ΡΠ½ΠΎ ΡΠΌΠ΅ΡΠ°Π½Π½ΠΎΠ΅ Π΄Π»Ρ ΡΠΈΠΏΠΈΡΠ½ΠΎΠ³ΠΎ Π΅Π²ΡΠΎΠΏΠ΅ΠΉΡΠΊΠΎΠ³ΠΎ Π·ΠΈΠΌΠ½Π΅Π³ΠΎ Π΄ΠΈΠ·Π΅Π»ΡΠ½ΠΎΠ³ΠΎ ΡΠΎΠΏΠ»ΠΈΠ²Π°. Π‘Π²ΠΎΠΉΡΡΠ²Π° ΡΠΈΡΡΠΎΠ³ΠΎ Π΄ΠΈΠ·Π΅Π»ΡΠ½ΠΎΠ³ΠΎ ΡΠΎΠΏΠ»ΠΈΠ²Π° EN590 ΠΏΡΠΈΠ²Π΅Π΄Π΅Π½Ρ Π² Π’Π°Π±Π»ΠΈΡΠ΅ 6. Π ΡΠΎΠΏΠ»ΠΈΠ²Π΅ Π½Π΅ Π±ΡΠ»ΠΎ Π°Π½ΡΠΈΠΎΠΊΡΠΈΠ΄Π°Π½ΡΠΎΠ². (3) ΠΠΎΠΌΠΌΠ΅ΡΡΠ΅ΡΠΊΠΎΠ΅ Π΄ΠΈΠ·Π΅Π»ΡΠ½ΠΎΠ΅ ΡΠΎΠΏΠ»ΠΈΠ²ΠΎ GTL Ρ ΡΠΈΠΏΠΈΡΠ½ΡΠΌΠΈ Ρ Π°ΡΠ°ΠΊΡΠ΅ΡΠΈΡΡΠΈΠΊΠ°ΠΌΠΈ Β«Π»Π΅ΡΠ½Π΅Π³ΠΎ ΡΠΈΠΏΠ°Β» (CP = -9 Β° C): ΠΏΡΠΈΠ²Π΅Π΄Π΅Π½Ρ ΡΠ²ΠΎΠΉΡΡΠ²Π° ΡΡΠΎΠ³ΠΎ ΡΠΎΠΏΠ»ΠΈΠ²Π°. Π² Π’Π°Π±Π»ΠΈΡΠ΅ 7. Π’ΠΎΠΏΠ»ΠΈΠ²ΠΎ Π½Π΅ ΡΠΎΠ΄Π΅ΡΠΆΠ°Π»ΠΎ Π°Π½ΡΠΈΠΎΠΊΡΠΈΠ΄Π°Π½ΡΠΎΠ². (4) ΠΠΈΠ·Π΅Π»ΡΠ½ΠΎΠ΅ ΡΠΎΠΏΠ»ΠΈΠ²ΠΎ GTL Β«Π·ΠΈΠΌΠ½Π΅Π³ΠΎ ΡΠΈΠΏΠ°Β» (CP = -43 Β° C): Π‘Π²ΠΎΠΉΡΡΠ²Π° ΡΡΠΎΠ³ΠΎ ΡΠΎΠΏΠ»ΠΈΠ²Π° ΠΏΡΠΈΠ²Π΅Π΄Π΅Π½Ρ Π² Π’Π°Π±Π»ΠΈΡΠ΅ 7. Π’ΠΎΠΏΠ»ΠΈΠ²ΠΎ Π½Π΅ ΡΠΎΠ΄Π΅ΡΠΆΠ°Π»ΠΎ Π°Π½ΡΠΈΠΎΠΊΡΠΈΠ΄Π°Π½ΡΠΎΠ².(5) ΠΠΈΠΎΠ΄ΠΈΠ·Π΅Π»Ρ Π½Π° ΠΎΡΠ½ΠΎΠ²Π΅ ΠΌΠ΅ΡΠΈΠ»ΠΎΠ²ΠΎΠ³ΠΎ ΡΡΠΈΡΠ° ΡΠ°ΠΏΡΠ° (RME): ΡΠΎΠΏΠ»ΠΈΠ²ΠΎ ΠΈΠΌΠ΅Π»ΠΎ Π²ΡΠ΅ΠΌΡ ΠΈΠ½Π΄ΡΠΊΡΠΈΠΈ Rancimat 8,8 ΡΠ°ΡΠ° ΠΈ Π±ΡΠ»ΠΎ Π΄ΠΎΠ±Π°Π²Π»Π΅Π½ΠΎ Π°Π½ΡΠΈΠΎΠΊΡΠΈΠ΄Π°Π½Ρ. ΠΡΠΎΡ Π±ΠΈΠΎΠ΄ΠΈΠ·Π΅Π»Ρ ΡΠ°ΡΡΠΌΠ°ΡΡΠΈΠ²Π°Π»ΡΡ ΠΊΠ°ΠΊ ΠΏΡΠ΅Π΄ΡΡΠ°Π²ΠΈΡΠ΅Π»Ρ Π²ΡΡΠΎΠΊΠΎΠΊΠ°ΡΠ΅ΡΡΠ²Π΅Π½Π½ΠΎΠ³ΠΎ Π±ΠΈΠΎΠ΄ΠΈΠ·Π΅Π»Ρ, ΡΠΎΠΎΡΠ²Π΅ΡΡΡΠ²ΡΡΡΠ΅Π³ΠΎ ΡΡΠ°Π½Π΄Π°ΡΡΡ EN14212. Π‘Π²ΠΎΠΉΡΡΠ²Π° ΡΡΠΎΠ³ΠΎ ΡΠΎΠΏΠ»ΠΈΠ²Π° ΠΏΡΠΈΠ²Π΅Π΄Π΅Π½Ρ Π² Π’Π°Π±Π»ΠΈΡΠ΅ 8. (6) ΠΡΠ΄Π΅ΡΠΆΠ°Π½Π½ΡΠΉ Π±ΠΈΠΎΠ΄ΠΈΠ·Π΅Π»Ρ ΠΈΠ· ΡΠ΅ΠΌΡΠ½ ΡΠ°ΠΏΡΠ° Ρ Π²ΡΠ΅ΠΌΠ΅Π½Π΅ΠΌ ΠΈΠ½Π΄ΡΠΊΡΠΈΠΈ Rancimat 3,6 ΡΠ°ΡΠ°: ΡΡΠΎ ΡΠΎΠΏΠ»ΠΈΠ²ΠΎ Ρ ΡΠ°Π½ΠΈΠ»ΠΎΡΡ ΠΏΡΠΈΠΌΠ΅ΡΠ½ΠΎ 5 Π»Π΅Ρ ΠΈ ΠΏΠ΅ΡΠ²ΠΎΠ½Π°ΡΠ°Π»ΡΠ½ΠΎ ΡΠΎΠ΄Π΅ΡΠΆΠ°Π»ΠΎ Π°Π½ΡΠΈΠΎΠΊΡΠΈΠ΄Π°Π½ΡΡ, Ρ ΠΎΡΡ Π±ΡΠ»ΠΎ Π±Ρ ΡΠΏΡΠ°Π²Π΅Π΄Π»ΠΈΠ²ΠΎ ΠΏΡΠ΅Π΄ΠΏΠΎΠ»ΠΎΠΆΠΈΡΡ, ΡΡΠΎ (ΡΡΠΈΡΡΠ²Π°Ρ Π½ΠΈΠ·ΠΊΡΡ ΡΡΠ°Π±ΠΈΠ»ΡΠ½ΠΎΡΡΡ Rancimat), ΡΡΠΎ ΡΡΠΎΠ²Π½ΠΈ Π»ΡΠ±ΡΡ ΠΏΡΠΈΡΡΡΡΡΠ²ΡΡΡΠΈΡ Π°Π½ΡΠΈΠΎΠΊΡΠΈΠ΄Π°Π½ΡΠΎΠ² Π±ΡΠ΄ΡΡ Π·Π½Π°ΡΠΈΡΠ΅Π»ΡΠ½ΠΎ ΡΠ½ΠΈΠΆΠ΅Π½Ρ Π²ΠΎ Π²ΡΠ΅ΠΌΡ ΡΡΠΎΠΉ ΠΎΡΠ΅Π½ΠΊΠΈ.
3.2. ΠΠΊΡΠΏΠ΅ΡΠΈΠΌΠ΅Π½ΡΠ°Π»ΡΠ½Π°Ρ ΠΌΠ°ΡΡΠΈΡΠ°
ΠΠΊΡΠΏΠ΅ΡΠΈΠΌΠ΅Π½ΡΠ°Π»ΡΠ½Π°Ρ ΠΌΠ°ΡΡΠΈΡΠ° Π±ΡΠ»Π° ΡΠ°Π·Π΄Π΅Π»Π΅Π½Π° Π½Π° Π΄Π²Π΅ ΡΠ°ΡΡΠΈ. (1) ΠΠ΅ΡΠ²Π°Ρ ΡΠ°ΡΡΡ ΡΡΠΎΠ³ΠΎ ΠΈΡΡΠ»Π΅Π΄ΠΎΠ²Π°Π½ΠΈΡ Π±ΡΠ»Π° Π½Π°ΠΏΡΠ°Π²Π»Π΅Π½Π° ββΠ½Π° ΠΊΠΎΠ»ΠΈΡΠ΅ΡΡΠ²Π΅Π½Π½ΡΡ ΠΎΡΠ΅Π½ΠΊΡ Ρ Π°ΡΠ°ΠΊΡΠ΅ΡΠΈΡΡΠΈΠΊ ΡΡΠ°Π±ΠΈΠ»ΡΠ½ΠΎΡΡΠΈ GTL ΠΈ Π΄ΠΈΠ·Π΅Π»ΡΠ½ΠΎΠ³ΠΎ ΡΠΎΠΏΠ»ΠΈΠ²Π°, ΠΏΠΎΠ»ΡΡΠ΅Π½Π½ΠΎΠ³ΠΎ ΠΈΠ· Π½Π΅ΡΡΠΈ, Ρ ΠΈΡΠΏΠΎΠ»ΡΠ·ΠΎΠ²Π°Π½ΠΈΠ΅ΠΌ ΡΡΠ΅Ρ ΡΠ°Π·Π»ΠΈΡΠ½ΡΡ Π»Π°Π±ΠΎΡΠ°ΡΠΎΡΠ½ΡΡ ΠΌΠ΅ΡΠΎΠ΄ΠΎΠ² ΠΈΠ·ΠΌΠ΅ΡΠ΅Π½ΠΈΡ ΡΡΠ°Π±ΠΈΠ»ΡΠ½ΠΎΡΡΠΈ. Π ΡΡΠΎΠΉ ΡΠ°ΡΡΠΈ Π±ΡΠ»ΠΈ ΠΏΡΠΈΠ³ΠΎΡΠΎΠ²Π»Π΅Π½Ρ Π±ΠΈΠ½Π°ΡΠ½ΡΠ΅ ΡΠΌΠ΅ΡΠΈ , ΡΠΎΠ΄Π΅ΡΠΆΠ°ΡΠΈΠ΅ 0%, 2%, 5%, 10%, 15% ΠΈ 20 ΠΎΠ±.% FAME. ΠΠ±ΡΠ°Π·Π΅Ρ ΠΌΠ°ΡΡΠΈΡΡ ΠΏΠΎΠΊΠ°Π·Π°Π½ Π² Π’Π°Π±Π»ΠΈΡΠ΅ 2. (2) ΠΡΠΎΡΠ°Ρ ΡΠ°ΡΡΡ ΠΈΡΡΠ»Π΅Π΄ΠΎΠ²Π°Π½ΠΈΡ Π²ΠΊΠ»ΡΡΠ°Π»Π° Β«ΠΏΠ΅ΡΠ΅ΠΊΡΠ΅ΡΡΠ½ΡΠΉΒ» ΡΠΊΡΠΏΠ΅ΡΠΈΠΌΠ΅Π½ΡΠ°Π»ΡΠ½ΡΠΉ ΠΏΠ»Π°Π½, ΠΊΠΎΡΠΎΡΡΠΉ ΠΏΠΎΠ·Π²ΠΎΠ»ΠΈΠ» ΠΎΡΠ΅Π½ΠΈΡΡ ΡΠ²ΠΎΠΉΡΡΠ²Π° ΡΠΌΠ΅ΡΠΈΠ²Π°Π½ΠΈΡ ΠΊΠΎΠΌΠΏΠΎΠ½Π΅Π½ΡΠΎΠ² ΠΈ Π²Π»ΠΈΡΠ½ΠΈΠ΅ ΠΏΠ΅ΡΠ΅ΠΌΠ΅Π½Π½ΡΡ ΠΏΡΠΎΡΠ΅ΡΡΠ° (ΡΠΈΡΠ»ΠΎΠ²ΡΡ ΠΈ / ΠΈΠ»ΠΈ ΠΊΠ°ΡΠ΅Π³ΠΎΡΠΈΠ°Π»ΡΠ½ΡΡ ). ).ΠΠ»Ρ ΠΏΠ»Π°Π½ΠΈΡΠΎΠ²Π°Π½ΠΈΡ ΡΠΊΡΠΏΠ΅ΡΠΈΠΌΠ΅Π½ΡΠ° Π±ΡΠ»Π° ΡΠΊΠ°Π·Π°Π½Π° ΠΊΠ²Π°Π΄ΡΠ°ΡΠΈΡΠ½Π°Ρ (Q) Γ Π»ΠΈΠ½Π΅ΠΉΠ½Π°Ρ (L) Π±Π°Π·ΠΎΠ²Π°Ρ ΠΌΠΎΠ΄Π΅Π»Ρ Π΄Π»Ρ ΠΏΡΠΎΠ΅ΠΊΡΠ° Β« ΡΠΌΠ΅ΡΡ Γ ΠΏΡΠΎΡΠ΅ΡΡ Β». Π‘ΠΌΠ΅ΡΠΈΠ²Π°Π½ΠΈΠ΅ ΠΏΡΡΠΈ ΠΊΠΎΠΌΠΏΠΎΠ½Π΅Π½ΡΠΎΠ² Π²ΠΌΠ΅ΡΡΠ΅ Ρ ΡΠΈΠΏΠΎΠΌ Π±ΠΈΠΎΠ΄ΠΈΠ·Π΅Π»Ρ (Ρ Π½ΠΈΠ·ΠΊΠΎΠΉ ΠΈ Π²ΡΡΠΎΠΊΠΎΠΉ ΡΡΠ°Π±ΠΈΠ»ΡΠ½ΠΎΡΡΡΡ) ΠΏΡΠΈΠ²Π΅Π»ΠΎ ΠΊ ΡΠΎΠ·Π΄Π°Π½ΠΈΡ ΠΎΠΏΡΠΈΠΌΠ°Π»ΡΠ½ΠΎΠΉ ΠΊΠΎΠ½ΡΡΡΡΠΊΡΠΈΠΈ Π΄Π»Ρ 33 ΠΏΡΠΎΠ³ΠΎΠ½ΠΎΠ². ΠΠΈΠΎΠ΄ΠΈΠ·Π΅Π»Ρ Π±ΡΠ» ΠΎΠ³ΡΠ°Π½ΠΈΡΠ΅Π½ ΠΌΠ°ΠΊΡΠΈΠΌΠ°Π»ΡΠ½ΠΎΠΉ ΠΊΠΎΠ½ΡΠ΅Π½ΡΡΠ°ΡΠΈΠ΅ΠΉ 20%, Π² ΡΠΎ Π²ΡΠ΅ΠΌΡ ΠΊΠ°ΠΊ Π΄ΡΡΠ³ΠΈΠ΅ ΠΊΠΎΠΌΠΏΠΎΠ½Π΅Π½ΡΡ ΠΌΠΎΠ³Π»ΠΈ ΡΠ²ΠΎΠ±ΠΎΠ΄Π½ΠΎ Π²Π°ΡΡΠΈΡΠΎΠ²Π°ΡΡΡΡ, ΡΠΎ Π΅ΡΡΡ 0β100% (ΡΠΌ. Π’Π°Π±Π»ΠΈΡΡ 3). ΠΡΠ΅ 33 ΠΎΠ±ΡΠ°Π·ΡΠ° Π±ΡΠ»ΠΈ ΠΈΡΠΏΠΎΠ»ΡΠ·ΠΎΠ²Π°Π½Ρ Π΄Π»Ρ ΠΊΠΎΡΡΠ΅Π»ΡΡΠΈΠΉ PetroOxy, Π² ΡΠΎ Π²ΡΠ΅ΠΌΡ ΠΊΠ°ΠΊ ΡΠΎΠ»ΡΠΊΠΎ ΡΠΎΠΏΠ»ΠΈΠ²ΠΎ, ΡΠΎΠ΄Π΅ΡΠΆΠ°ΡΠ΅Π΅ FAME, Π±ΡΠ»ΠΎ ΡΠ°ΡΡΠΌΠΎΡΡΠ΅Π½ΠΎ Π΄Π»Ρ Π°Π½Π°Π»ΠΈΠ·Π° Rancimat.ΠΠ»Π°Π½ ΡΠΊΡΠΏΠ΅ΡΠΈΠΌΠ΅Π½ΡΠ° ΠΏΡΠ΅Π΄ΡΡΠ°Π²Π»Π΅Π½ Π² ΡΠ°Π±Π»ΠΈΡΠ΅ 9. ΠΡΠ΅ΠΈΠΌΡΡΠ΅ΡΡΠ²ΠΎ ΡΡΠΎΠ³ΠΎ ΠΏΠΎΠ΄Ρ ΠΎΠ΄Π° (ΠΏΠΎ ΡΡΠ°Π²Π½Π΅Π½ΠΈΡ Ρ ΠΏΠ΅ΡΠ²ΠΎΠΉ ΡΠ°ΡΡΡΡ ΠΈΡΡΠ»Π΅Π΄ΠΎΠ²Π°Π½ΠΈΡ) ΡΠΎΡΡΠΎΠΈΡ Π² ΡΠΎΠΌ, ΡΡΠΎ ΠΌΠ°ΡΡΠΈΡΠ° ΠΏΠ»Π°Π½Π° ΡΠ΅ΠΏΠ΅ΡΡ Π²ΠΊΠ»ΡΡΠ°Π΅Ρ ΡΠΈΡΡΡΠ΅ ΠΊΠΎΠΌΠΏΠΎΠ½Π΅Π½ΡΡ, Π±ΠΈΠ½Π°ΡΠ½ΡΠ΅, ΡΡΠΎΠΉΠ½ΡΠ΅ ΠΈ ΡΠ΅ΡΠ²Π΅ΡΡΠΈΡΠ½ΡΠ΅ ΡΠΌΠ΅ΡΠΈ. ΠΠ»Ρ ΠΏΠ»Π°Π½ΠΈΡΠΎΠ²Π°Π½ΠΈΡ ΡΠΊΡΠΏΠ΅ΡΠΈΠΌΠ΅Π½ΡΠ° ΠΈ ΡΡΠ°ΡΠΈΡΡΠΈΡΠ΅ΡΠΊΠΎΠΉ ΠΎΡΠ΅Π½ΠΊΠΈ ΡΠ΅Π·ΡΠ»ΡΡΠ°ΡΠΎΠ² ΠΈΡΠΏΠΎΠ»ΡΠ·ΠΎΠ²Π°Π»ΠΎΡΡ ΠΊΠΎΠΌΠΌΠ΅ΡΡΠ΅ΡΠΊΠΈ Π΄ΠΎΡΡΡΠΏΠ½ΠΎΠ΅ ΡΡΠ°ΡΠΈΡΡΠΈΡΠ΅ΡΠΊΠΎΠ΅ ΠΏΡΠΎΠ³ΡΠ°ΠΌΠΌΠ½ΠΎΠ΅ ΠΎΠ±Π΅ΡΠΏΠ΅ΡΠ΅Π½ΠΈΠ΅ Design Expert [25].
| ||||||||||||||||||||||||||||||||||
| Π’ΠΈΠΏ Π΄ΠΈΠ·Π΅Π»Ρ | ΠΠΈΠ½ΠΈΠΌΡΠΌ | ΠΠ°ΠΊΡΠΈΠΌΡΠΌ | |
| ΠΠΈΠ·Π΅Π»ΡΠ½ΠΎΠ΅ ΡΠΎΠΏΠ»ΠΈΠ²ΠΎ Π‘Π¨Π 2-D | 0% | 100% | 6 | 05 EN05 %
| Β«ΠΠ΅ΡΠ½ΠΈΠΉ ΡΠΈΠΏΒ» GTL Π΄ΠΈΠ·Π΅Π»ΡΠ½ΠΎΠ΅ ΡΠΎΠΏΠ»ΠΈΠ²ΠΎ | 0% | 100% | |
| Β«ΠΠΈΠΌΠ½ΠΈΠΉ ΡΠΈΠΏΒ» GTL Π΄ΠΈΠ·Π΅Π»ΡΠ½ΠΎΠ΅ ΡΠΎΠΏΠ»ΠΈΠ²ΠΎ | 0% | 100% | |
| ΠΠΎΠ½ΡΠ΅Π½ΡΡΠ°ΡΠΈΡ Π±ΠΈΠΎΠ΄ΠΈΠ·Π΅Π»Ρ | 11 010% % | ||
| Π’ΠΈΠΏ Π±ΠΈΠΎΠ΄ΠΈΠ·Π΅Π»Ρ | ΠΠΈΠ·ΠΊΠ°Ρ ΡΡΠ°Π±ΠΈΠ»ΡΠ½ΠΎΡΡΡ RME | ΠΡΡΠΎΠΊΠ°Ρ ΡΡΠ°Π±ΠΈΠ»ΡΠ½ΠΎΡΡΡ RME | |
Π ΡΠ΅ΠΊΡΡΠ΅ΠΌ ΠΈΡΡΠ»Π΅Π΄ΠΎΠ²Π°Π½ΠΈΠΈ R ΠΠ½Π°Π»ΠΈΠ·Ρ Π°Π½ΡΠΈΠΌΠ°ΡΠΎΠ² [26, 27] ΠΏΡΠΎΠ²ΠΎΠ΄ΠΈΠ»ΠΈ ΠΏΡΠΈ 110 Β° C Π½Π° Π°Π½Π°Π»ΠΈΠ·Π°ΡΠΎΡΠ΅ Metrohm 743 (Metrohm, Herisau).ΠΡΠΈΠ±Π»ΠΈΠ·ΠΈΡΠ΅Π»ΡΠ½ΠΎ 3 Π³ Β± 0,1 Π³ (ΡΠΈΡΡΡΠΉ Π±ΠΈΠΎΠ΄ΠΈΠ·Π΅Π»Ρ) ΠΈΠ»ΠΈ 7,5 Π³ Β± 0,1 Π³ (ΡΠΌΠ΅ΡΡ Π΄ΠΈΠ·Π΅Π»ΡΠ½ΠΎΠ΅ ΡΠΎΠΏΠ»ΠΈΠ²ΠΎ / Π±ΠΈΠΎΠ΄ΠΈΠ·Π΅Π»Ρ) Π²Π·Π²Π΅ΡΠΈΠ²Π°Π»ΠΈ Π² ΡΡΠ°Π½Π΄Π°ΡΡΠ½ΡΡ ΠΏΡΠΎΠ±ΠΈΡΠΊΠ°Ρ . Π§ΠΈΡΡΠΎΠ΅ Π±ΠΈΠΎΠ΄ΠΈΠ·Π΅Π»ΡΠ½ΠΎΠ΅ ΡΠΎΠΏΠ»ΠΈΠ²ΠΎ Π±ΡΠ»ΠΎ ΠΏΡΠΎΠ°Π½Π°Π»ΠΈΠ·ΠΈΡΠΎΠ²Π°Π½ΠΎ Π² ΡΠΎΠΎΡΠ²Π΅ΡΡΡΠ²ΠΈΠΈ Ρ EN14112 Π΄Π»Ρ ΠΎΠ±ΡΠ°Π·ΡΠΎΠ² ΡΠΈΡΡΠΎΠ³ΠΎ Π±ΠΈΠΎΠ΄ΠΈΠ·Π΅Π»Ρ ΠΈ ΡΠΌΠ΅ΡΠ΅ΠΉ Π΄ΠΈΠ·Π΅Π»ΡΠ½ΠΎΠ³ΠΎ / Π±ΠΈΠΎΠ΄ΠΈΠ·Π΅Π»ΡΠ½ΠΎΠ³ΠΎ ΡΠΎΠΏΠ»ΠΈΠ²Π° Π² ΡΠΎΠΎΡΠ²Π΅ΡΡΡΠ²ΠΈΠΈ Ρ EN15751.
3.2.1. ΠΠ½Π°Π»ΠΈΠ· PetroOxy [28]
Π ΡΡΠΎΠΌ ΠΈΡΡΠ»Π΅Π΄ΠΎΠ²Π°Π½ΠΈΠΈ Π°Π½Π°Π»ΠΈΠ·Ρ PetroOxy ΠΏΡΠΎΠ²ΠΎΠ΄ΠΈΠ»ΠΈΡΡ Ρ ΠΈΡΠΏΠΎΠ»ΡΠ·ΠΎΠ²Π°Π½ΠΈΠ΅ΠΌ Π°Π½Π°Π»ΠΈΠ·Π°ΡΠΎΡΠ° Petrotest PetroOxy Π² ΡΠΎΠΎΡΠ²Π΅ΡΡΡΠ²ΠΈΠΈ Ρ ASTM D7545. ΠΠ½Π°Π»ΠΈΠ·Ρ ΠΏΡΠΎΠ²ΠΎΠ΄ΠΈΠ»ΠΈΡΡ ΠΏΡΠΈ 140 Β° C ΠΈ Π΄Π°Π²Π»Π΅Π½ΠΈΠΈ ΠΊΠΈΡΠ»ΠΎΡΠΎΠ΄Π° 700 ΠΊΠΠ°. Π‘Π½ΠΈΠΆΠ΅Π½ΠΈΠ΅ Π΄Π°Π²Π»Π΅Π½ΠΈΡ Π½Π° 10% ΠΈΡΠΏΠΎΠ»ΡΠ·ΠΎΠ²Π°Π»ΠΎΡΡ Π² ΠΊΠ°ΡΠ΅ΡΡΠ²Π΅ ΠΊΡΠΈΡΠ΅ΡΠΈΡ ΠΊΠΎΠ½Π΅ΡΠ½ΠΎΠΉ ΡΠΎΡΠΊΠΈ Π°Π½Π°Π»ΠΈΠ·Π°.
3.2.2. ASTM D2274 [29]
ΠΠ½Π°Π»ΠΈΠ·Ρ ASTM D2274 ΠΏΡΠΎΠ²ΠΎΠ΄ΠΈΠ»ΠΈ Π² ΡΡΠ°Π½Π΄Π°ΡΡΠ½ΡΡ ΡΠΊΡΠΏΠ΅ΡΠΈΠΌΠ΅Π½ΡΠ°Π»ΡΠ½ΡΡ ΡΡΠ»ΠΎΠ²ΠΈΡΡ .
4. Π Π΅Π·ΡΠ»ΡΡΠ°ΡΡ
Π ΡΠ»Π΅Π΄ΡΡΡΠΈΡ ΡΠ°Π·Π΄Π΅Π»Π°Ρ ΠΎΠ±ΡΡΠΆΠ΄Π°ΡΡΡΡ Ρ Π°ΡΠ°ΠΊΡΠ΅ΡΠΈΡΡΠΈΠΊΠΈ Π±ΠΈΠ½Π°ΡΠ½ΡΡ ΡΠΌΠ΅ΡΠ΅ΠΉ RME (Π½ΠΈΠ·ΠΊΠ°Ρ ΠΈ Π²ΡΡΠΎΠΊΠ°Ρ ΡΡΠ°Π±ΠΈΠ»ΡΠ½ΠΎΡΡΡ) Ρ Π΄Π²ΡΠΌΡ Π΄ΠΈΠ·Π΅Π»ΡΠ½ΡΠΌΠΈ ΡΠΎΠΏΠ»ΠΈΠ²Π°ΠΌΠΈ GTL, Π΄ΠΈΠ·Π΅Π»ΡΠ½ΡΠΌ ΡΠΎΠΏΠ»ΠΈΠ²ΠΎΠΌ EN590 ΠΈ Π΄ΠΈΠ·Π΅Π»ΡΠ½ΡΠΌ ΡΠΎΠΏΠ»ΠΈΠ²ΠΎΠΌ US 2-D. ΠΠΎΡΠΊΠΎΠ»ΡΠΊΡ Π΄Π»Ρ ΡΠΎΠΏΠΎΡΡΠ°Π²ΠΈΠΌΡΡ ΠΎΠ±ΡΠ°Π·ΡΠΎΠ² ΠΈΡΠΏΠΎΠ»ΡΠ·ΠΎΠ²Π°Π»ΠΈΡΡ ΠΎΠ΄Π½ΠΈ ΠΈ ΡΠ΅ ΠΆΠ΅ ΠΎΠ±ΡΠ°Π·ΡΡ FAME (RME Ρ Π½ΠΈΠ·ΠΊΠΎΠΉ ΠΈ Π²ΡΡΠΎΠΊΠΎΠΉ ΡΡΠ°Π±ΠΈΠ»ΡΠ½ΠΎΡΡΡΡ), ΡΠ΅Π·ΡΠ»ΡΡΠ°ΡΡ Π΄ΠΎΠ»ΠΆΠ½Ρ Π΄Π°ΡΡ Ρ ΠΎΡΠΎΡΠ΅Π΅ ΠΏΡΠ΅Π΄ΡΡΠ°Π²Π»Π΅Π½ΠΈΠ΅ ΠΎΠ± ΠΎΡΠ½ΠΎΡΠΈΡΠ΅Π»ΡΠ½ΡΡ Ρ Π°ΡΠ°ΠΊΡΠ΅ΡΠΈΡΡΠΈΠΊΠ°Ρ Π±Π°Π·ΠΎΠ²ΠΎΠ³ΠΎ ΡΠΎΠΏΠ»ΠΈΠ²Π° Ρ ΡΠΎΡΠΊΠΈ Π·ΡΠ΅Π½ΠΈΡ ΡΡΠ°Π±ΠΈΠ»ΡΠ½ΠΎΡΡΠΈ ΡΠΎΠΏΠ»ΠΈΠ²Π°.
4.1. ΠΠΎΠΊΠ°Π·Π°ΡΠ΅Π»ΠΈ ΡΡΠ°Π±ΠΈΠ»ΡΠ½ΠΎΡΡΠΈ Π±ΠΈΠ½Π°ΡΠ½ΡΡ ΡΠΌΠ΅ΡΠ΅ΠΉ
4.1.1. Π Π΅Π·ΡΠ»ΡΡΠ°ΡΡ Rancimat Π΄Π»Ρ ΡΠΌΠ΅ΡΠ΅ΠΉ FAME Ρ Π½ΠΈΠ·ΠΊΠΎΠΉ ΡΡΠ°Π±ΠΈΠ»ΡΠ½ΠΎΡΡΡΡ
ΠΠ° Π€ΠΈΠ³ΡΡΠ΅ 1 ΠΏΠΎΠΊΠ°Π·Π°Π½Ρ ΡΠ΅Π·ΡΠ»ΡΡΠ°ΡΡ ΠΏΠΎ ΡΡΠ°Π±ΠΈΠ»ΡΠ½ΠΎΡΡΠΈ ΡΠΌΠ΅ΡΠ΅ΠΉ FAME Ρ Π½ΠΈΠ·ΠΊΠΎΠΉ ΡΡΠ°Π±ΠΈΠ»ΡΠ½ΠΎΡΡΡΡ Π² ΡΠ΅ΡΡΠ΅ Rancimat.
Π ΡΠ΅Π·ΡΠ»ΡΡΠ°ΡΠ°Ρ ΠΌΠΎΠΆΠ½ΠΎ ΡΠ²ΠΈΠ΄Π΅ΡΡ Π½Π΅ΡΠΊΠΎΠ»ΡΠΊΠΎ ΠΈΠ½ΡΠ΅ΡΠ΅ΡΠ½ΡΡ ΡΠ΅Π½Π΄Π΅Π½ΡΠΈΠΉ. ΠΠΎ-ΠΏΠ΅ΡΠ²ΡΡ , Π½Π°Π±Π»ΡΠ΄Π°Π΅ΡΡΡ ΡΠ΅Π·ΠΊΠΎΠ΅ ΡΠ½ΠΈΠΆΠ΅Π½ΠΈΠ΅ ΡΡΠ°Π±ΠΈΠ»ΡΠ½ΠΎΡΡΠΈ ΡΠΌΠ΅ΡΠ΅ΠΉ Π² Π΄ΠΈΠ°ΠΏΠ°Π·ΠΎΠ½Π΅ ΠΎΡ 2 Π΄ΠΎ 10% FAME, Π·Π° ΠΊΠΎΡΠΎΡΡΠΌ ΡΠ»Π΅Π΄ΡΠ΅Ρ ΠΎΠ±ΡΡΠ½ΠΎ Π±ΠΎΠ»Π΅Π΅ ΠΌΠ΅Π΄Π»Π΅Π½Π½ΠΎΠ΅ ΡΠ½ΠΈΠΆΠ΅Π½ΠΈΠ΅ ΡΡΠ°Π±ΠΈΠ»ΡΠ½ΠΎΡΡΠΈ ΡΠΌΠ΅ΡΠΈ ΠΌΠ΅ΠΆΠ΄Ρ 10% ΠΈ 20% ΡΠΎΠ΄Π΅ΡΠΆΠ°Π½ΠΈΡ FAME.ΠΠ°ΠΊ ΠΏΡΠ°Π²ΠΈΠ»ΠΎ, ΡΡΠ°Π±ΠΈΠ»ΡΠ½ΠΎΡΡΡ FAME Π·Π½Π°ΡΠΈΡΠ΅Π»ΡΠ½ΠΎ Π½ΠΈΠΆΠ΅, ΡΠ΅ΠΌ Ρ Π΄ΠΈΠ·Π΅Π»ΡΠ½ΠΎΠ³ΠΎ ΡΠΎΠΏΠ»ΠΈΠ²Π°, ΠΏΠΎΠ»ΡΡΠ΅Π½Π½ΠΎΠ³ΠΎ ΠΈΠ· Π½Π΅ΡΡΠΈ [19, 20]. ΠΠ΅Ρ Π°Π½ΠΈΠ·ΠΌ ΡΠ°Π·Π»ΠΎΠΆΠ΅Π½ΠΈΡ ΡΠΈΡΡΠΎΠ³ΠΎ FAME Π² ΡΠ΅Π»ΠΎΠΌ Ρ ΠΎΡΠΎΡΠΎ ΠΈΠ·ΡΡΠ΅Π½. Π Π»ΠΈΡΠ΅ΡΠ°ΡΡΡΠ΅ ΡΠ°ΠΊΠΆΠ΅ ΡΠΈΡΠΎΠΊΠΎ ΠΏΠΎΠΊΠ°Π·Π°Π½ΠΎ, ΡΡΠΎ Π΄ΠΎΠ±Π°Π²Π»Π΅Π½ΠΈΠ΅ FAME ΠΊ Π΄ΠΈΠ·Π΅Π»ΡΠ½ΠΎΠΌΡ ΡΠΎΠΏΠ»ΠΈΠ²Ρ, ΠΏΠΎΠ»ΡΡΠ΅Π½Π½ΠΎΠΌΡ ΠΈΠ· Π½Π΅ΡΡΠΈ ΠΈΠ»ΠΈ FT, ΠΏΡΠΈΠ²Π΅Π΄Π΅Ρ ΠΊ Π·Π½Π°ΡΠΈΡΠ΅Π»ΡΠ½ΠΎΠΌΡ ΡΠ½ΠΈΠΆΠ΅Π½ΠΈΡ ΡΡΠ°Π±ΠΈΠ»ΡΠ½ΠΎΡΡΠΈ ΡΠΎΠΏΠ»ΠΈΠ²Π½ΠΎΠΉ ΡΠΌΠ΅ΡΠΈ (ΠΏΠΎ ΡΡΠ°Π²Π½Π΅Π½ΠΈΡ Ρ ΡΠΈΡΡΡΠΌ ΡΠΎΠΏΠ»ΠΈΠ²ΠΎΠΌ, ΠΏΠΎΠ»ΡΡΠ΅Π½Π½ΡΠΌ ΠΈΠ· Π½Π΅ΡΡΠΈ ΠΈΠ»ΠΈ ΠΏΠΎΠ»ΡΡΠ΅Π½Π½ΡΠΌ ΠΈΠ· FT [ 23]. ΠΠ΅Ρ Π°Π½ΠΈΠ·ΠΌ ΡΠ°Π·Π»ΠΎΠΆΠ΅Π½ΠΈΡ ΡΠΌΠ΅ΡΠ΅ΠΉ ΠΠΠΠ / ΠΏΠ°ΡΠ°ΡΠΈΠ½ΠΎΠ²ΠΎΠ΅ Π΄ΠΈΠ·Π΅Π»ΡΠ½ΠΎΠ΅ ΡΠΎΠΏΠ»ΠΈΠ²ΠΎ, ΠΎΠ΄Π½Π°ΠΊΠΎ, Π½Π΅ ΡΠΎΠ²ΡΠ΅ΠΌ ΠΏΠΎΠ½ΡΡΠ΅Π½ .
ΠΡΠ΅Π²ΠΈΠ΄Π½ΠΎ, ΡΡΠΎ ΡΠΌΠ΅ΡΠΈ Π΄ΠΈΠ·Π΅Π»ΡΠ½ΠΎΠ³ΠΎ ΡΠΎΠΏΠ»ΠΈΠ²Π° US 2-D Π±ΡΠ»ΠΈ Π±ΠΎΠ»Π΅Π΅ ΡΡΠ°Π±ΠΈΠ»ΡΠ½ΡΠΌΠΈ, ΡΠ΅ΠΌ Π΄ΡΡΠ³ΠΈΠ΅ Π½ΠΈΠ·ΠΊΠΎΡΡΠ°Π±ΠΈΠ»ΡΠ½ΡΠ΅ ΡΠΌΠ΅ΡΠΈ FAME / Π΄ΠΈΠ·Π΅Π»ΡΠ½ΠΎΠ΅ ΡΠΎΠΏΠ»ΠΈΠ²ΠΎ. ΠΠ΅ ΡΠ΄Π°Π»ΠΎΡΡ ΠΎΠΏΡΠ΅Π΄Π΅Π»ΠΈΡΡ, ΡΠΎΠ΄Π΅ΡΠΆΠΈΡ Π»ΠΈ ΡΡΠΎ ΡΠΎΠΏΠ»ΠΈΠ²ΠΎ ΠΊΠ°ΠΊΠΈΠ΅-Π»ΠΈΠ±ΠΎ Π°Π½ΡΠΈΠΎΠΊΡΠΈΠ΄Π°Π½ΡΡ. Π‘ΡΠΈΡΠ°Π»ΠΎΡΡ, ΡΡΠΎ ΠΎΠΏΡΠ΅Π΄Π΅Π»Π΅Π½ΠΈΠ΅ ΡΡΠΎΠ²Π½Π΅ΠΉ Π»ΡΠ±ΡΡ Π°Π½ΡΠΈΠΎΠΊΡΠΈΠ΄Π°Π½ΡΠΎΠ² Π² ΡΠΎΠΏΠ»ΠΈΠ²Π΅ Π²ΡΡ ΠΎΠ΄ΠΈΡ Π·Π° ΡΠ°ΠΌΠΊΠΈ ΡΠ΅ΠΊΡΡΠ΅Π³ΠΎ ΠΈΡΡΠ»Π΅Π΄ΠΎΠ²Π°Π½ΠΈΡ. ΠΡΠΎΡ Π°ΡΠΏΠ΅ΠΊΡ ΠΌΠΎΠΆΠ΅Ρ ΡΡΠ°ΡΡ ΡΠ°ΡΡΡΡ Π±ΡΠ΄ΡΡΠ΅Π³ΠΎ ΡΠ°ΡΡΠ»Π΅Π΄ΠΎΠ²Π°Π½ΠΈΡ. ΠΡΠΈΡΠΈΠ½Ρ ΡΠ°ΠΊΠΎΠΉ ΡΡΠ°Π±ΠΈΠ»ΡΠ½ΠΎΡΡΠΈ ΡΠ°ΠΊΠΆΠ΅ Π½Π΅Π»ΡΠ·Ρ Π±ΡΠ»ΠΎ Π½Π°ΠΉΡΠΈ Π² ΠΏΠΎΠ»Π½ΠΎΠΌ Π°Π½Π°Π»ΠΈΠ·Π΅ ΡΠ΅Ρ Π½ΠΈΡΠ΅ΡΠΊΠΈΡ Ρ Π°ΡΠ°ΠΊΡΠ΅ΡΠΈΡΡΠΈΠΊ ΡΠΎΠΏΠ»ΠΈΠ²Π°. Π£ΡΠΈΡΡΠ²Π°Ρ, ΡΡΠΎ ΡΡΠ°Π±ΠΈΠ»ΡΠ½ΠΎΡΡΡ ΡΠΎΠΏΠ»ΠΈΠ²Π° ΠΎΠ±ΡΡΠ½ΠΎ ΠΎΠΏΡΠ΅Π΄Π΅Π»ΡΠ΅ΡΡΡ ΡΠ»Π΅Π΄ΠΎΠ²ΡΠΌΠΈ ΠΊΠΎΠ»ΠΈΡΠ΅ΡΡΠ²Π°ΠΌΠΈ ΠΊΠΎΠΌΠΏΠΎΠ½Π΅Π½ΡΠΎΠ², ΠΌΠ°Π»ΠΎΠ²Π΅ΡΠΎΡΡΠ½ΠΎ, ΡΡΠΎ ΡΡΠΎ Π±ΡΠ΄Π΅Ρ ΠΎΡΠ΅Π²ΠΈΠ΄Π½ΠΎ ΠΏΠΎ ΠΎΠ±ΡΠ΅ΠΌΠ½ΡΠΌ ΡΠ²ΠΎΠΉΡΡΠ²Π°ΠΌ ΡΠΎΠΏΠ»ΠΈΠ²Π°.
ΠΠ²Π° ΠΎΠ±ΡΠ°Π·ΡΠ° Π΄ΠΈΠ·Π΅Π»ΡΠ½ΠΎΠ³ΠΎ ΡΠΎΠΏΠ»ΠΈΠ²Π° GTL (ΡΠΈΡΡΡΠΉ ΠΈ ΡΠΎΠ΄Π΅ΡΠΆΠ°ΡΠΈΠΉ FAME) Π»Π΅ΠΆΠ°Ρ ΠΌΠ΅ΠΆΠ΄Ρ ΡΠΌΠ΅ΡΡΠΌΠΈ US 2-D ΠΈ ΡΠΌΠ΅ΡΡΠΌΠΈ EN590. Π‘ΠΌΠ΅ΡΠΈ Π΄ΠΈΠ·Π΅Π»ΡΠ½ΠΎΠ³ΠΎ ΡΠΎΠΏΠ»ΠΈΠ²Π° EN590 ΠΈΠΌΠ΅Π»ΠΈ ΡΠ°ΠΌΡΡ Π½ΠΈΠ·ΠΊΡΡ ΡΡΠ°Π±ΠΈΠ»ΡΠ½ΠΎΡΡΡ, Π½ΠΎ ΠΏΡΠΈ Π²ΡΡΠΎΠΊΠΎΠΌ ΡΠΎΠ΄Π΅ΡΠΆΠ°Π½ΠΈΠΈ FAME ΡΠ°Π·Π½ΠΈΡΠ° Π·Π½Π°ΡΠΈΡΠ΅Π»ΡΠ½ΠΎ ΡΠΌΠ΅Π½ΡΡΠ°Π΅ΡΡΡ, ΠΏΡΠΈΠ±Π»ΠΈΠΆΠ°ΡΡΡ ΠΊ Π²ΡΠ΅ΠΌΠ΅Π½ΠΈ ΠΈΠ½Π΄ΡΠΊΡΠΈΠΈ Rancimat, ΡΠ°Π²Π½ΠΎΠΌΡ 3,62 ΡΠ°ΡΠ° Π΄Π»Ρ ΡΠΈΡΡΠΎΠ³ΠΎ FAME.
4.1.2. Π Π΅Π·ΡΠ»ΡΡΠ°ΡΡ Rancimat Π΄Π»Ρ Π²ΡΡΠΎΠΊΠΎΡΡΠ°Π±ΠΈΠ»ΡΠ½ΡΡ ΡΠΌΠ΅ΡΠ΅ΠΉ FAME
ΠΠ° ΡΠΈΡΡΠ½ΠΊΠ΅ 2 ΠΏΠΎΠΊΠ°Π·Π°Π½Π° ΡΡΠ°Π±ΠΈΠ»ΡΠ½ΠΎΡΡΡ Rancimat Π΄Π»Ρ Π²ΡΡΠΎΠΊΠΎΡΡΠ°Π±ΠΈΠ»ΡΠ½ΡΡ ΡΠΌΠ΅ΡΠ΅ΠΉ FAME.
ΠΠ½Π°Π»ΠΎΠ³ΠΈΡΠ½ΠΎ ΡΠ΅Π·ΡΠ»ΡΡΠ°ΡΠ°ΠΌ Ρ Π½ΠΈΠ·ΠΊΠΎΠΉ ΡΡΠ°Π±ΠΈΠ»ΡΠ½ΠΎΡΡΡΡ FAME, Π΄ΠΈΠ·Π΅Π»ΡΠ½ΡΠ΅ ΡΠΌΠ΅ΡΠΈ EN590 ΠΈΠΌΠ΅Π»ΠΈ ΡΠ°ΠΌΡΡ Π½ΠΈΠ·ΠΊΡΡ ΡΡΠ°Π±ΠΈΠ»ΡΠ½ΠΎΡΡΡ Rancimat, Π·Π° Π½ΠΈΠΌΠΈ ΡΠ»Π΅Π΄ΠΎΠ²Π°Π»ΠΈ Π΄ΠΈΠ·Π΅Π»ΡΠ½ΡΠ΅ ΡΠΌΠ΅ΡΠΈ GTL Β«Π»Π΅ΡΠ½Π΅Π³ΠΎ ΡΠΈΠΏΠ°Β».ΠΠ°ΠΊ ΠΈ Π² ΡΠ»ΡΡΠ°Π΅ ΡΠΌΠ΅ΡΠ΅ΠΉ FAME Ρ Π½ΠΈΠ·ΠΊΠΎΠΉ ΡΡΠ°Π±ΠΈΠ»ΡΠ½ΠΎΡΡΡΡ, ΡΠ°Π·Π½ΠΈΡΠ° Π² ΡΡΠ°Π±ΠΈΠ»ΡΠ½ΠΎΡΡΠΈ ΠΌΠ΅ΠΆΠ΄Ρ ΡΠ°Π·Π»ΠΈΡΠ½ΡΠΌΠΈ ΡΠΌΠ΅ΡΡΠΌΠΈ Π±Π°Π·ΠΎΠ²ΠΎΠ³ΠΎ ΡΠΎΠΏΠ»ΠΈΠ²Π° Π·Π½Π°ΡΠΈΡΠ΅Π»ΡΠ½ΠΎ ΡΠΌΠ΅Π½ΡΡΠ°Π»Π°ΡΡ ΠΏΡΠΈ Π±ΠΎΠ»Π΅Π΅ Π²ΡΡΠΎΠΊΠΈΡ ΠΊΠΎΠ½ΡΠ΅Π½ΡΡΠ°ΡΠΈΡΡ FAME, Π° ΠΏΡΠΈ 20% FAME ΡΠ°Π·Π»ΠΈΡΠΈΡ ΠΊΠ°Π·Π°Π»ΠΈΡΡ Π½Π΅Π·Π½Π°ΡΠΈΡΠ΅Π»ΡΠ½ΡΠΌΠΈ ΠΏΠΎ ΡΡΠ°Π²Π½Π΅Π½ΠΈΡ Ρ Π±ΠΎΠ»Π΅Π΅ Π²ΡΡΠΎΠΊΠΈΠΌΠΈ ΠΊΠΎΠ½ΡΠ΅Π½ΡΡΠ°ΡΠΈΡΠΌΠΈ FAME. ΠΡΠΈ Π΄ΠΎΠ±Π°Π²Π»Π΅Π½ΠΈΠΈ 20% FAME ΡΡΠ°Π±ΠΈΠ»ΡΠ½ΠΎΡΡΡ ΡΠΌΠ΅ΡΠ΅ΠΉ Π²ΡΠ΅ Π΅ΡΠ΅ Π·Π½Π°ΡΠΈΡΠ΅Π»ΡΠ½ΠΎ ΠΏΡΠ΅Π²ΡΡΠ°Π΅Ρ ΡΡΠ°Π±ΠΈΠ»ΡΠ½ΠΎΡΡΡ ΡΠΈΡΡΠΎΠ³ΠΎ FAME (8,8 ΡΠ°ΡΠ°), ΠΏΠΎΠΊΠ°Π·ΡΠ²Π°Ρ, ΡΡΠΎ Π±Π°Π·ΠΎΠ²ΡΠ΅ ΡΠΎΠΏΠ»ΠΈΠ²Π° Π΄Π΅ΠΉΡΡΠ²ΠΈΡΠ΅Π»ΡΠ½ΠΎ Π²Π½ΠΎΡΡΡ Π²ΠΊΠ»Π°Π΄ Π² ΡΡΠ°Π±ΠΈΠ»ΡΠ½ΠΎΡΡΡ ΡΠΌΠ΅ΡΠΈ.
4.1.3. Π Π΅Π·ΡΠ»ΡΡΠ°ΡΡ PetroOxy Π΄Π»Ρ ΡΠΌΠ΅ΡΠ΅ΠΉ Π½ΠΈΠ·ΠΊΠΎΡΡΠ°Π±ΠΈΠ»ΡΠ½ΡΡ ΡΠΌΠ΅ΡΠ΅ΠΉ FAME
ΠΠ΅ΡΠΊΠΎΠ»ΡΠΊΠΎ Π°Π²ΡΠΎΡΠΎΠ² ΡΠΎΠΎΠ±ΡΠΈΠ»ΠΈ ΠΎΠ± ΠΈΡΠΏΠΎΠ»ΡΠ·ΠΎΠ²Π°Π½ΠΈΠΈ ΡΠ΅ΡΡΠ° PetroOxy Π΄Π»Ρ ΠΎΡΠ΅Π½ΠΊΠΈ ΡΡΠ°Π±ΠΈΠ»ΡΠ½ΠΎΡΡΠΈ ΡΠΈΡΡΠΎΠ³ΠΎ FAME [30β33].Π Π΅Π·ΡΠ»ΡΡΠ°ΡΡ PetroOxy Π΄Π»Ρ Π΄ΠΈΠ·Π΅Π»ΡΠ½ΠΎΠ³ΠΎ ΡΠΎΠΏΠ»ΠΈΠ²Π°, ΡΠΌΠ΅ΡΠ°Π½Π½ΠΎΠ³ΠΎ Ρ FAME Ρ Π½ΠΈΠ·ΠΊΠΎΠΉ ΡΡΠ°Π±ΠΈΠ»ΡΠ½ΠΎΡΡΡΡ, ΠΏΠΎΠΊΠ°Π·Π°Π½Ρ Π½Π° Π ΠΈΡΡΠ½ΠΊΠ΅ 3.
ΠΠ΅ΠΆΠ΄Ρ ΡΠ΅Π½Π΄Π΅Π½ΡΠΈΡΠΌΠΈ, ΠΏΠΎΠ»ΡΡΠ΅Π½Π½ΡΠΌΠΈ Π½Π° ΠΎΡΠ½ΠΎΠ²Π΅ ΡΠ΅Π·ΡΠ»ΡΡΠ°ΡΠΎΠ² PetroOxy ΠΈ Rancimat, Π΅ΡΡΡ Π½Π΅ΠΊΠΎΡΠΎΡΠΎΠ΅ ΡΡ ΠΎΠ΄ΡΡΠ²ΠΎ. ΠΠ΄Π½ΠΈΠΌ ΠΈΠ· ΠΎΡΠ½ΠΎΠ²Π½ΡΡ Π½Π°Π±Π»ΡΠ΄Π΅Π½ΠΈΠΉ ΡΠ²Π»ΡΠ΅ΡΡΡ Π±ΠΎΠ»Π΅Π΅ Π²ΡΡΠΎΠΊΠ°Ρ Π½Π°ΡΠ°Π»ΡΠ½Π°Ρ ΡΡΠ°Π±ΠΈΠ»ΡΠ½ΠΎΡΡΡ Π΄ΠΈΠ·Π΅Π»ΡΠ½ΡΡ ΡΠΌΠ΅ΡΠ΅ΠΉ US 2-D. ΠΠ΄Π½Π°ΠΊΠΎ ΡΡΠΎ Π±ΠΎΠ»Π΅Π΅ Π²ΡΡΠΎΠΊΠΎΠ΅ Π½Π°ΡΠ°Π»ΡΠ½ΠΎΠ΅ Π·Π½Π°ΡΠ΅Π½ΠΈΠ΅ Π·Π½Π°ΡΠΈΡΠ΅Π»ΡΠ½ΠΎ ΡΠ½ΠΈΠΆΠ°Π΅ΡΡΡ ΠΏΡΠΈ Π΄ΠΎΠ±Π°Π²Π»Π΅Π½ΠΈΠΈ Π±ΠΈΠΎΠ΄ΠΈΠ·Π΅Π»Ρ. ΠΡΠΈ Π΄ΠΎΠ±Π°Π²Π»Π΅Π½ΠΈΠΈ 10% FAME Π·Π½Π°ΡΠΈΡΠ΅Π»ΡΠ½Π°Ρ ΡΠ°ΡΡΡ ΡΡΠΎΠ³ΠΎ ΠΏΡΠ΅ΠΈΠΌΡΡΠ΅ΡΡΠ²Π° ΡΠ΅ΡΡΠ΅ΡΡΡ, ΠΈ ΠΎΠ½ΠΎ ΡΠΌΠ΅Π½ΡΡΠ°Π΅ΡΡΡ Π΅ΡΠ΅ Π±ΠΎΠ»ΡΡΠ΅ ΠΏΡΠΈ Π±ΠΎΠ»Π΅Π΅ Π²ΡΡΠΎΠΊΠΎΠΌ ΡΠΎΠ΄Π΅ΡΠΆΠ°Π½ΠΈΠΈ FAME.ΠΠΎΡΡΠ΅ΠΏΠ΅Π½Π½ΠΎΠ΅ ΡΠ½ΠΈΠΆΠ΅Π½ΠΈΠ΅ ΡΡΠ°Π±ΠΈΠ»ΡΠ½ΠΎΡΡΠΈ Ρ ΡΠ²Π΅Π»ΠΈΡΠ΅Π½ΠΈΠ΅ΠΌ ΠΊΠΎΠ½ΡΠ΅Π½ΡΡΠ°ΡΠΈΠΈ FAME Π±ΡΠ»ΠΎ ΠΎΡΠ΅Π²ΠΈΠ΄Π½ΡΠΌ Π΄Π»Ρ Π²ΡΠ΅Ρ ΠΎΡΠ΅Π½ΠΈΠ²Π°Π΅ΠΌΡΡ Π²ΠΈΠ΄ΠΎΠ² ΡΠΎΠΏΠ»ΠΈΠ²Π°. ΠΠ°ΠΊ ΠΈ ΠΎΠΆΠΈΠ΄Π°Π»ΠΎΡΡ, ΠΎΠΊΠ°Π·ΡΠ²Π°Π΅ΡΡΡ, ΡΡΠΎ ΡΡΠ°Π±ΠΈΠ»ΡΠ½ΠΎΡΡΡ Π±Π°Π·ΠΎΠ²ΠΎΠ³ΠΎ ΡΠΎΠΏΠ»ΠΈΠ²Π° ΠΏΡΠ΅ΠΎΠ±Π»Π°Π΄Π°Π΅Ρ ΠΏΡΠΈ Π½ΠΈΠ·ΠΊΠΎΠΌ ΡΠΎΠ΄Π΅ΡΠΆΠ°Π½ΠΈΠΈ FAME (<10%), ΡΠΎΠ³Π΄Π° ΠΊΠ°ΠΊ ΠΏΡΠΈ Π±ΠΎΠ»Π΅Π΅ Π²ΡΡΠΎΠΊΠΎΠΌ ΡΠΎΠ΄Π΅ΡΠΆΠ°Π½ΠΈΠΈ FAME (> 10%) FAME Π΄ΠΎΠΌΠΈΠ½ΠΈΡΡΠ΅Ρ Π½Π°Π΄ Ρ Π°ΡΠ°ΠΊΡΠ΅ΡΠΈΡΡΠΈΠΊΠ°ΠΌΠΈ ΡΡΠ°Π±ΠΈΠ»ΡΠ½ΠΎΡΡΠΈ ΡΠΌΠ΅ΡΠΈ.
4.1.4. Π Π΅Π·ΡΠ»ΡΡΠ°ΡΡ PetroOxy Π΄Π»Ρ ΡΠΌΠ΅ΡΠ΅ΠΉ Π²ΡΡΠΎΠΊΠΎΡΡΠ°Π±ΠΈΠ»ΡΠ½ΡΡ ΡΠΌΠ΅ΡΠ΅ΠΉ FAME
ΠΠ° ΡΠΈΡΡΠ½ΠΊΠ΅ 4 ΠΏΠΎΠΊΠ°Π·Π°Π½Π° ΡΡΠ°Π±ΠΈΠ»ΡΠ½ΠΎΡΡΡ PetroOxy Π²ΡΡΠΎΠΊΠΎΡΡΠ°Π±ΠΈΠ»ΡΠ½ΡΡ ΡΠΌΠ΅ΡΠ΅ΠΉ FAME.
ΠΠ½ΡΠ΅ΡΠ΅ΡΠ½ΠΎ, ΡΡΠΎ Π΄ΠΎΠ±Π°Π²Π»Π΅Π½ΠΈΠ΅ 5% Π²ΡΡΠΎΠΊΠΎΡΡΠ°Π±ΠΈΠ»ΡΠ½ΠΎΠ³ΠΎ FAME ΠΏΡΠΈΠ²Π΅Π»ΠΎ ΠΊ ΡΠ»ΡΡΡΠ΅Π½ΠΈΡ ΡΡΠ°Π±ΠΈΠ»ΡΠ½ΠΎΡΡΠΈ Π΄ΠΈΠ·Π΅Π»ΡΠ½ΡΡ ΡΠΌΠ΅ΡΠ΅ΠΉ FT (ΠΏΠΎ ΡΡΠ°Π²Π½Π΅Π½ΠΈΡ Ρ ΡΠΈΡΡΡΠΌ ΡΠΎΠΏΠ»ΠΈΠ²ΠΎΠΌ. Π‘ΠΌ. ΠΠ°Π½Π½ΡΠ΅ Π² ΡΠ°Π±Π»ΠΈΡΠ΅ 11). ΠΡΠΈ Π±ΠΎΠ»Π΅Π΅ Π²ΡΡΠΎΠΊΠΈΡ ΠΊΠΎΠ½ΡΠ΅Π½ΡΡΠ°ΡΠΈΡΡ FAME Π² Π΄ΠΈΠ·Π΅Π»ΡΠ½ΡΡ ΡΠΌΠ΅ΡΡΡ FT ΡΡΠ°Π±ΠΈΠ»ΡΠ½ΠΎΡΡΡ ΡΠΌΠ΅ΡΠ΅ΠΉ, ΡΠΎΠ΄Π΅ΡΠΆΠ°ΡΠΈΡ FAME, ΡΠ½ΠΈΠΆΠ°Π΅ΡΡΡ, ΡΡΠΎ ΡΠΎΠΎΡΠ²Π΅ΡΡΡΠ²ΡΠ΅Ρ ΠΎΠΆΠΈΠ΄Π°Π½ΠΈΡΠΌ. ΠΡΠ΅Π΄ΠΏΠΎΠ»Π°Π³Π°Π΅ΡΡΡ, ΡΡΠΎ ΡΡΠΎ ΡΠ²ΡΠ·Π°Π½ΠΎ Ρ Π°Π½ΡΠΈΠΎΠΊΡΠΈΠ΄Π°Π½ΡΠΎΠΌ, ΠΏΡΠΈΡΡΡΡΡΠ²ΡΡΡΠΈΠΌ Π² FAME, ΠΊΠΎΡΠΎΡΡΠΉ ΠΏΠΎΠΊΠ°Π·ΡΠ²Π°Π΅Ρ ΡΠΈΠ½Π΅ΡΠ³Π΅ΡΠΈΡΠ΅ΡΠΊΠΈΠΉ ΡΡΡΠ΅ΠΊΡ Ρ Π΄ΠΈΠ·Π΅Π»ΡΠ½ΡΠΌ ΡΠΎΠΏΠ»ΠΈΠ²ΠΎΠΌ GTL (ΡΡΠ°Π±ΠΈΠ»ΡΠ½ΡΠΌ, Π½ΠΎ Π½Π΅ ΡΠΎΠ΄Π΅ΡΠΆΠ°ΡΠΈΠΌ Π°Π½ΡΠΈΠΎΠΊΡΠΈΠ΄Π°Π½ΡΠΎΠ²).ΠΠ½ΡΠ΅ΡΠ΅ΡΠ½ΠΎ, ΡΡΠΎ ΡΠ΅Π·ΡΠ»ΡΡΠ°ΡΡ, ΠΏΠΎ-Π²ΠΈΠ΄ΠΈΠΌΠΎΠΌΡ, ΠΌΠ΅Π½ΡΡΠ΅ ΡΡ ΠΎΠ΄ΡΡΡΡ ΠΏΡΠΈ Π±ΠΎΠ»Π΅Π΅ Π²ΡΡΠΎΠΊΠΎΠΌ ΡΠΎΠ΄Π΅ΡΠΆΠ°Π½ΠΈΠΈ FAME, ΡΠ΅ΠΌ Π² ΡΠΌΠ΅ΡΡΡ FAME Ρ Π½ΠΈΠ·ΠΊΠΎΠΉ ΡΡΠ°Π±ΠΈΠ»ΡΠ½ΠΎΡΡΡΡ.
4.1.5. ASTM D2274 Π‘ΡΠ°Π±ΠΈΠ»ΡΠ½ΠΎΡΡΡ ΡΠΌΠ΅ΡΠ΅ΠΉ FAME
Π Π΅Π·ΡΠ»ΡΡΠ°ΡΡ ASTM D2274 ΠΏΡΠ΅Π΄ΡΡΠ°Π²Π»Π΅Π½Ρ Π² ΡΠ°Π±Π»ΠΈΡΠ΅ 10. Π’Π΅ΡΡ ASTM D2274 Π±ΡΠ» ΠΌΠ΅Π½Π΅Π΅ ΡΡΠ²ΡΡΠ²ΠΈΡΠ΅Π»Π΅Π½ ΠΊ ΠΎΠ±ΡΠ°Π·ΡΠ°ΠΌ Π΄ΠΈΠ·Π΅Π»ΡΠ½ΠΎΠ³ΠΎ ΡΠΎΠΏΠ»ΠΈΠ²Π° FAME / GTL ΠΈ Π΄ΠΈΠ·Π΅Π»ΡΠ½ΠΎΠ³ΠΎ ΡΠΎΠΏΠ»ΠΈΠ²Π°, ΠΏΠΎΠ»ΡΡΠ΅Π½Π½ΠΎΠ³ΠΎ ΠΈΠ· FAME / Π½Π΅ΡΡΠΈ. ΠΡΠ΅Π΄ΠΏΠΎΠ»Π°Π³Π°Π΅ΡΡΡ, ΡΡΠΎ ΡΡΠΎ ΡΠ²ΡΠ·Π°Π½ΠΎ Ρ ΠΎΠΊΠΈΡΠ»Π΅Π½Π½ΡΠΌ FAME, ΠΊΠΎΡΠΎΡΡΠΉ Π΄Π΅ΠΉΡΡΠ²ΡΠ΅Ρ ΠΊΠ°ΠΊ ΡΡΡΠ΅ΠΊΡΠΈΠ²Π½ΡΠΉ ΡΠ°ΡΡΠ²ΠΎΡΠΈΡΠ΅Π»Ρ, ΡΠ°ΡΡΠ²ΠΎΡΡΡ ΠΎΡΠ»ΠΎΠΆΠ΅Π½ΠΈΡ.
Hartikka et al. [5] ΠΈΡΠΏΠΎΠ»ΡΠ·ΠΎΠ²Π°Π»ΠΈ Π½Π΅ΠΌΠ½ΠΎΠ³ΠΎ Π΄ΡΡΠ³ΠΎΠΉ ΡΠ΅ΡΡ (ASTM D5304) Π΄Π»Ρ ΠΎΡΠ΅Π½ΠΊΠΈ ΡΡΠ°Π±ΠΈΠ»ΡΠ½ΠΎΡΡΠΈ ΡΠΌΠ΅ΡΠ΅ΠΉ ΡΠΎΠ΅Π²ΠΎΠ³ΠΎ Π±ΠΈΠΎΠ΄ΠΈΠ·Π΅Π»Ρ / Π΄ΠΈΠ·Π΅Π»ΡΠ½ΠΎΠ³ΠΎ ΡΠΎΠΏΠ»ΠΈΠ²Π° FT.ΠΠ΄Π½Π°ΠΊΠΎ ΠΏΡΠΈΠ½ΡΠΈΠΏΡ ΡΡ ΠΎΠΆΠΈ. ΠΠΎΡΡΠΎΠΌΡ Π±ΡΠ»ΠΎ ΡΠ΄ΠΈΠ²ΠΈΡΠ΅Π»ΡΠ½ΠΎ Π²ΠΈΠ΄Π΅ΡΡ, ΡΡΠΎ ΡΠ΅Π·ΡΠ»ΡΡΠ°ΡΡ ΠΏΠ»ΠΎΡ ΠΎΠΉ ΡΡΠ°Π±ΠΈΠ»ΡΠ½ΠΎΡΡΠΈ, ΠΏΠΎΠ»ΡΡΠ΅Π½Π½ΡΠ΅ Mushrush et al. Π½Π° Π΄ΠΈΠ·Π΅Π»ΡΠ½ΡΡ ΡΠΌΠ΅ΡΡΡ FAME / FT Π½Π΅ Π½Π°Π±Π»ΡΠ΄Π°Π»ΠΈΡΡ Π½ΠΈ Π² ΠΎΠ΄Π½ΠΎΠΌ ΠΈΠ· ΠΎΠ±ΡΠ°Π·ΡΠΎΠ², ΠΎΡΠ΅Π½ΠΈΠ²Π°Π΅ΠΌΡΡ Π² Π΄Π°Π½Π½ΠΎΠΌ ΠΈΡΡΠ»Π΅Π΄ΠΎΠ²Π°Π½ΠΈΠΈ. ΠΠΎ ΠΌΠ½Π΅Π½ΠΈΡ ΠΏΡΠ΅Π΄ΡΡΠ°Π²ΠΈΡΠ΅Π»Π΅ΠΉ ΠΎΡΡΠ°ΡΠ»ΠΈ, ΡΡΠΎΡ ΡΠ΅ΡΡ, ΡΠΊΠΎΡΠ΅Π΅ Π²ΡΠ΅Π³ΠΎ, Π½Π΅ ΠΈΠΌΠ΅Π΅Ρ ΠΎΡΠ½ΠΎΡΠ΅Π½ΠΈΡ ΠΊ ΡΠΎΠΏΠ»ΠΈΠ²Π°ΠΌ, ΡΠΎΠ΄Π΅ΡΠΆΠ°ΡΠΈΠΌ FAME, ΠΈ ΡΡΠΎ Rancimat ΡΠ²Π»ΡΠ΅ΡΡΡ ΠΏΡΠ΅Π΄ΠΏΠΎΡΡΠΈΡΠ΅Π»ΡΠ½ΡΠΌ ΠΌΠ΅ΡΠΎΠ΄ΠΎΠΌ Π΄Π»Ρ ΡΠΌΠ΅ΡΠ΅ΠΉ, ΡΠΎΠ΄Π΅ΡΠΆΠ°ΡΠΈΡ Π±ΠΎΠ»Π΅Π΅ 2% FAME [22]. ΠΠ½Π°Π»ΠΈΠ·Ρ ASTM D5304 Π±ΡΠ»ΠΈ Π²ΡΠΏΠΎΠ»Π½Π΅Π½Ρ Π½Π° Π½Π΅ΡΠΊΠΎΠ»ΡΠΊΠΈΡ Π²ΡΠ±ΡΠ°Π½Π½ΡΡ Π΄ΠΈΠ·Π΅Π»ΡΠ½ΡΡ ΡΠΌΠ΅ΡΡΡ FAME / GTL ΠΈ FAME / EN590.Π Π΅Π·ΡΠ»ΡΡΠ°ΡΡ ΠΏΡΠ΅Π΄ΡΡΠ°Π²Π»Π΅Π½Ρ Π² ΡΠ°Π±Π»ΠΈΡΠ΅ 4.
| ΠΈΠΌΠ΅Π΅ΡΡΡ Π² Π½Π°Π»ΠΈΡΠΈΠΈ. |||||||||||||||||||||||||||||||||||||||||||||||||||||||||||||||||||||||||||||||||||||||||||||||||||||||||||||||||||||||||||||||||||||||||||||||||||||||||||||||||||||||||||||||||||||||||||||||||||||||||||||||||||||||||||||||||||||||||||||||||||||||||||||||||||||||||||||||||||||||
| ||||||||||||||||||||||||||||||||||||||||||||||||||||||||||||||||||||||||||||||||||||||||||||||||||||||||||||||||
| NM: Π½Π΅ ΠΈΠ·ΠΌΠ΅ΡΠ΅Π½ΠΎ. | ||||||||||||||||||||||||||||||||||||||||||||||||||||||||||||||||||||||||||||||||||||||||||||||||||||||||||||||||
| |||||||||||||||||||||||||||||||||||||||||||||||||||||||||||||||||||||||||||||||||||||||||||||||||||||||||||||||||||||||||||||||||||||||||||||||||||||||||||||||||||||||||||||||||||||||||||||||||||||||||||||||||||||||||||||||||||||||||||||||||||||||
| ||||||||||||||||||||||||||||||||||||||||||||||||||||||||||||||||||||||||||||||||||||||||||||||||||||||||||||||||||||||||||||||||||||||||||||||||||||||||||||||||||||||||||||||||||||||||||||||||||||||||||

ΠΠ³ΠΎ ΡΠ΅ΠΊΠΎΠΌΠ΅Π½Π΄ΡΠ΅ΡΡΡ ΠΈΡΠΏΠΎΠ»ΡΠ·ΠΎΠ²Π°ΡΡ ΠΏΡΠΈ ΡΠ΅ΠΌΠΏΠ΅ΡΠ°ΡΡΡΠ΅ Π²ΠΎΠ·Π΄ΡΡ
Π° Π²ΡΡΠ΅ Π½ΡΠ»Ρ ΠΏΠΎ Π¦Π΅Π»ΡΡΠΈΡ.
ΠΡΠ»ΠΈ ΠΆΠ΅ ΠΆΠΈΠ΄ΠΊΠΎΡΡΡ ΡΠ΅ΠΏΠ»Π΅Π΅ +20 β¦C, ΡΠΎ ΡΡΠΈ Π·Π½Π°ΡΠ΅Π½ΠΈΡ Π½ΡΠΆΠ½ΠΎ ΡΠ»ΠΎΠΆΠΈΡΡ.
ΠΠ½ΠΎΠ³Π΄Π° ΠΎΠ±ΠΎΠ·Π½Π°ΡΠ°Π΅ΡΡΡ ΠΊΠ°ΠΊ Π΄ΠΈΠ·Π΅Π»ΡΠ½ΠΎΠ΅ ΡΠΎΠΏΠ»ΠΈΠ²ΠΎ ΡΡΠ°Π½Π΄Π°ΡΡΠ° ΠΠ²ΡΠΎ-1.